Language of Russian textbooks: diachronic linguistic profiling
- Authors: Kupriyanov R.V.1,2, Shoeva G.N.1, Aleksandrova O.I.3
-
Affiliations:
- Kazan (Volga Region) Federal University
- Kazan National Research Technological University
- RUDN University
- Issue: Vol 22, No 4 (2024): LINGUISTIC PROFILES OF RUSSIAN TEXTS: GOING FROM FORM TO MEANING
- Pages: 615-632
- Section: Key Issues of Russian Language Research
- URL: https://journals.rudn.ru/russian-language-studies/article/view/42911
- DOI: https://doi.org/10.22363/2618-8163-2024-22-4-615-632
- EDN: https://elibrary.ru/BHOWEA
- ID: 42911
Cite item
Full Text
Abstract
The relevance of the research is conditioned by the need for a more complete understanding of the educational text as a genre with a multifunctional role in the educational process. When educational standards are revised and attention to the quality of textbooks is increased, the analysis of diachronic changes in the structure and content of Russian language textbooks becomes relevant to determine the main factors affecting the educational process. The aim of this study is to examine the linguistic specificity of text formants in Russian language textbooks and analyze the trends of their changes over time. The materials of the study include Russian language textbooks published in the Soviet Union (1935-1974) and in Russia (2012-2015). The research methods are based on the comparative analysis of linguistic parameters of formants ‘Exercises’ - ‘Tasks’ - ‘Theory’ and statistical tests to identify differences between these categories. The research showed statistically significant differences in most linguistic parameters, which confirm the thesis about the educational text heterogeneity. The most important differences among the formant categories were observed in the following parameters: Flesh-Kincaid Score, Global Noun Overlap, Type-Token Ratio, Singletons, Past Tense Verbs, Mean Sentence Length, Mean Word Length, Global Argument Overlap, and the Number of Nouns in the Genitive Case. Modern Russian language textbooks have lower lexical density and fewer nouns per 1000 tokens, higher local noun repetition, more frequent future tense verb forms, and higher global text coherence. These patterns reflect diachronic changes in the texts from Russian language textbooks. Future research should expand the range of the analyzed Russian language textbooks, particularly by including texts from textbooks for senior and elementary school, as well as a more detailed examination of the dynamics of linguistic parameter changes in Russian language textbooks during the Soviet period.
Full Text
Introduction
A textbook is a specialized type of text designed for the systematic transmission of knowledge and the development of students’ skills (Schleppegrell, 2004; Bilichenko, 2007; Gabidullina, 2009). Within the framework of didactic discourse, textbooks are considered a genre with specific structure and a multifunctional role (Sabinina, 2009), thus developing students' cognitive and communicative skills (Hyland, 2004; Paltridge, 2004).
Textbooks as a certain genre are studied from the point of view of their structure and functions (Eggins, 2004; Biber, 2006; Gatiyatullina et al., 2020; Kupriyanov, Solnyshkina, Lekhnitskaya, 2023). Scientists pay much attention to this issue. One of the first significant contributions to this field was the study of text genre structures by J. Martin, who used a social-semiotic approach to the study of genres and their role in language and learning (Martin, 2009). His works in systemic functional linguistics (SFL) consider genres as organised systems of social processes that shape culture (Martin, Rose, 2008). In the works of other scholars, SFL analysis shows that long texts, such as novels, textbooks, lectures, or scientific articles, are most often composed in several genres forming a so-called genre complex, macro-genre (Hood, 2013) or genre-formants (Red’kina, 2014).
Genre-formants are structural elements of a text that determine its genre affiliation and functional purpose (Bhatia, 1993). They are text ‘building blocks’; they contain various types of textual units such as theoretical explanations, exercises, and tasks (Red’kina, 2014; Seliutin, Redkina, Limarova, 2024) and include elements of primary speech genres (Bakhtin, 1986). These elements can undergo significant transformations while retaining their illocutionary force and adapting to the specific educational context, so it is hard to attribute them to the original primary speech genre (Mesenyashina, 2021). For instance, exercises in textbooks may include elements of dialogue to practice speaking skills, but these dialogues are adapted for educational purposes. They may retain their form and intention, but their actual pragmatic functions change.
Theory as a textbook formant is the foundation for exercises and tasks. Theoretical material is structured to facilitate information comprehension and assimilation (Swales, 1990).
Exercises in textbooks reinforce theoretical knowledge and develop practical skills. This formant consists of various types of tasks that allow learners to apply theoretical knowledge, practice new skills, and assess their level of mastery (Richards, Rodgers, 2001).
The Task formant includes specific instructions and step-by-step guides for completing exercises or solving problems related to the material being studied. The purpose of this formant is to organise students' learning activities by integrating theoretical knowledge with practical skills (Biggs, Tang, 2007).
An important feature of genre-forming formants is their interaction and complementarity. Theory, Exercises, and Tasks create a unified educational or scientific work; they interact to form a complex text structure. As a result, the theoretical material is the foundation for the exercises, which in turn prepare students for the tasks. This interaction ensures the textbook integrity and coherence, contributing to a comprehensive understanding of the material (Solnyshkina, Kisel’nikov, 2015).
Consequently, the blending of genres and discourses in textbooks (Klerides, 2010) sunstantiates the need for an integrated approach to their analysis, which includes the consideration and comparison of different formants for a more accurate understanding of their roles and functions.
In order to gain a detailed understanding of the formant structure, it is important to analyse the distinctive patterns and linguistic characteristics in different academic disciplines (Hyland, 2008; Gaillet, Guglielmo, 2014; Lu, Deng, 2019; Sun, Crosthwaite, 2022). These parameters enable the analysis of texts in terms of their formal and functional organisation.
The aim of the study is to investigate the linguistic specificity of the formants in Russian language textbooks and to analyse their diachronic changes over time. We consider Russian language textbooks for 5th grade published between 1935 and 2015 in order to identify the features and changes in the linguistic parameters of different textbook formants. The period from 1935 to 2015 was chosen due to significant changes in educational standards and methods of teaching Russian. The textbooks of this period reflect both Soviet and post-Soviet approaches to teaching, allowing us to trace the evolution of these texts. We focused on textbooks for 5th grade because they reflect the initial stage of secondary education and lay the foundations for students’ linguistic literacy.
The main research questions are:
- What linguistic parameters distinguish the formants (macro-genre) of Russian language textbooks?
- What are the trends in the changes of the linguistic parameters of Russian language textbooks?
The relevance of this study is due to the growing attention to the role of textbooks in the modern educational process, particularly in view of evolving educational standards and teaching methods. In addition, the changes in textbooks over time reflect different political and educational paradigms, which emphasizes the need for a comprehensive analysis of their formants. By analyzing diachronic changes, this study contributes both to the theoretical understanding of the structure of Russian language textbooks and to the practical development of more impactful teaching materials.
Methods and materials
The research methods are based on the comparative analysis of linguistic parameters of the formants ‘Exercises’, ‘Tasks’, ‘Theory’. The significant differences between the formants were identified with the use of statistical tests.
The research included four stages:
At the first stage, we pre-processed the research corpus consisting of nine Russian language textbooks for 5th grade published between 19351 and 20152. We removed meta-descriptions, prefaces, authors’ introductions, illustrations, captions, figure captions, notes, footers, etc., to ensure discourse uniformity. The total size of the study corpus was 69,188 tokens. The size of formants of Russian language textbooks is presented in Table 1.
Table 1
The size of formants in Russian language textbooks
Formants | Size, tokens | Percentage | |
Textbook (2012–2015) | Exercises | 14890 | 42,3 |
Tasks | 12514 | 35,6 | |
Theory | 7777 | 22,1 | |
SUBTOTAL | 35181 | 100 | |
Textbook (1935–1974) | Exercises | 18353 | 54,0 |
Tasks | 5539 | 16,3 | |
Theory | 10115 | 29,7 | |
SUBTOTAL | 34007 | 100 | |
TOTAL | 69188 | 100 | |
At the second stage, texts of the three formants (Theory (rules), Exercises, and Tasks) were extracted from the textbooks and saved separately into .txt files.
At the third stage, all formants of each textbook were segmented into approximately equal parts of 1,000 tokens each. Then, linguistic parameters were calculated for each text fragment using the RuLingva automatic Russian text analyser (rulingva.kpfu.ru/).
At the fourth stage, we processed the RuLingva (rulingva.kpfu.ru/) data using the STATISTICA programme and assessed statistically significant differences between the three textbook formants. Differences were evaluated using the Kruskal — Wallis non-parametric H-test criterion (Kruskal, Wallis, 1952). To test the second hypothesis, linguistic parameters were calculated separately for Russian language textbooks for 5th grade published in the Soviet Union (1935–1974) and in Russia (2012–2015). The reliability of differences was assessed using the non-parametric Mann — Whitney U-test (Mann, Whitney, 1947).
Results
The analysis of Russian language textbooks of 1935–1974 and 2012–2015 revealed notable trends in the structure and composition of the formants. Both Soviet and modern textbooks follow a similar pattern, alternating between theoretical content and practical exercises. However, a significant distinction was observed in the proportion of different formants; modern textbooks demonstrate a more balanced distribution between tasks and exercises, whereas Soviet textbooks predominantly focus on exercises.
Theoretical materials which form a substantial part of Soviet textbooks (29.7%) are reduced in modern textbooks (22.1%), which indicates a shift towards more practice. This trend is further reflected in the greater emphasis on tasks in contemporary textbooks, which are designed to encourage students’ active engagement and skill development.
The results of the comparative study of linguistic parameters for the three formants are summarized in Table 2 and checked for reliability using the non-parametric Kruskal — Wallis H-test (Kruskal, Wallis, 1952). It revealed significant differences across the groups in parameters such as mean sentence length (H = 35.63, p < 0.01), mean word length (H = 45.00, p < 0.01), and lexical density (H = 14.43, p < 0.01). This indicates distinct linguistic profiles between the different types of materials. The strongest differences in textbook formants are observed for the parameters: Flesh-Kincaid score (SIS), Global noun overlap, Type-Token Ratio (TTR), Singletons, Past tense (Verb), Mean sentence length, Mean word length (in syllables), Global argument overlap and The number of nouns in genitive case (Table 2).
Linguistic differences between Soviet and modern Russian language textbooks were assessed using the Mann — Whitney U-test, as presented in Table 3. Statistically significant differences include:
- Mean word length: modern textbooks (2012–2015) have slightly longer words compared to Soviet textbooks (1935–1974) (U = 310.0, p =<04).
- Pronouns: modern textbooks show significantly higher usage of pronouns (U = 183.0, p < 0.01).
Local noun overlap: differences in noun overlap between Soviet and modern textbooks were observed (U = 299.5, p =< 0.03).
These findings indicate distinct linguistic profiles between the different types of materials, which are further explored in the Discussion section.
Discussion
As shown in Table 2, the three formants of the Russian language textbook reveal statistically significant differences in most of the assessed linguistic parameters. This supports the idea of the textbook heterogeneity, which is essentially a ‘genre complex’ consisting of the genre-formants.
Table 2
Linguistic parameters of the texts of the three formants in textbooks
Parameter | Exercises (N = 30) | Tasks (N = 15) | Theory (N = 15) | Kruskal — Wallis Test H (2, N = 60) | p | |
I | II | III | IV | V | VI | VII |
1 | Mean sentence length (in tokens) | 9.07 | 7.85 | 13.91 | 35.63 | < 0.01* |
2 | Mean word length (in syllables) | 2.23 | 2.76 | 2.55 | 45.00 | < 0.01* |
4 | Nouns | 448.77 | 409.20 | 497.80 | 18.70 | < 0.01* |
5 | Verbs | 135.20 | 151.53 | 93.00 | 33.82 | < 0.01* |
6 | Adjectives | 102.70 | 107.47 | 122.60 | 4.87 | 0,087 |
7 | Adverbs | 37.60 | 29.33 | 30.93 | 4.40 | 0,11 |
8 | Pronouns | 67.57 | 104.80 | 52.27 | 20.12 | < 0.01* |
9 | Flesh — Kincaid score (SIS) | 4.13 | 6.77 | 7.71 | 45.77 | < 0.01* |
10 | Abstractness score | 2.47 | 2.55 | 2.47 | 7.31 | 0,0258 |
11 | Local noun overlap | 0.06 | 0.17 | 0.31 | 25.30 | < 0.01* |
12 | Global noun overlap | 0.01 | 0.08 | 0.09 | 45.89 | < 0.01* |
13 | Local argument overlap | 0.20 | 0.42 | 0.65 | 29.30 | < 0.01* |
14 | Global argument overlap | 0.03 | 0.21 | 0.21 | 43.93 | < 0.01* |
15 | TTR | 0.63 | 0.34 | 0.38 | 45.45 | < 0.01* |
16 | Present tense (Verb) | 38.00 | 63.73 | 62.27 | 34.57 | < 0.01* |
17 | Future tense (Verb) | 3.67 | 6.40 | 0.80 | 25.59 | < 0.01* |
18 | Past tense (Verb) | 67.70 | 32.73 | 15.40 | 45.10 | < 0.01* |
19 | “Narrativity” (Verb/Noun) | 0.31 | 0.37 | 0.19 | 29.08 | < 0.01* |
20 | “Descriptiveness” (Adjective/Noun) | 0.23 | 0.26 | 0.25 | 3.26 | 0,1955 |
21 | The number of nouns in genitive case | 0.17 | 0.29 | 0.27 | 43.50 | < 0.01* |
22 | Singletons, words used once | 0.49 | 0.19 | 0.23 | 45.43 | < 0.01* |
23 | Content words | 724.27 | 697.53 | 744.33 | 12.83 | < 0.01* |
24 | Lexical density | 0.72 | 0.70 | 0.75 | 14.43 | < 0.01* |
Note. *Gray shading indicates statistically significant differences (p < 0.05).
Source: Created by R.V. Kupriyanov using STATISTICA 12 software.
Let us examine these differences in more detail. Figure 1 displays the average sentence lengths and word lengths for each of the three formants. The longest sentences are found in the texts of the ‘Theory’ formant, while the greatest average word length is observed in the ‘Tasks’ formant.
Figure 1. Average sentence and word length in textbook formants: a — mean sentence length, words; b — mean word length, syllables
Source: Created by R.V. Kupriyanov using STATISTICA 12 software.
Theoretical texts often contain complex terminology and longer sentences to explain concepts in detail (Heineke, Neugebauer, 2018; Liu, Afzaal, 2021). This naturally leads to more words per sentence and a higher readability index (Fig. 2). Consequently, the Flesh — Kincaid readability index (SIS) differs significantly across all textbook formats. While in general all textbooks have the index within 5.68 ± 1.78 (textbook (1935–1974) — 5.61 ± 2.07; textbook (2012–2015) — 5.75 ± 1.48), the variation within sections is more significant. The lowest values are characteristic of the ‘Exercises’ formant (Fig. 2). Apparently, this is due to the fact that ‘Exercises’ in textbooks often consist of brief instructions and questions aimed at checking the learnt material. Such texts are usually simpler and shorter, which reduces the readability index. In addition, ‘Exercises’ do not require detailed explanations and complex terminology, which also reduces their complexity.
Figure 2. Flesh — Kincaid score (SIS)
Source: Created by R.V. Kupriyanov using STATISTICA 12 software.
The linguistic differences between in all formants in Soviet and modern textbooks are presented in Table 3. The data testify for significant changes in the lexical and grammatical composition of the textbooks over the analysed period.
Table 3
Linguistic differences between Soviet and modern Russian language textbooks
Parameter | Textbook (1935–1974) (N =30) | Textbook (2012–2015) (N = 30) | Mann — Whitney U | p-value | |||
Mean | SD | Mean | SD | ||||
I | II | III | IV | V | VI | VII | VIII |
1 | Mean sentence length (in tokens) | 10.79 | 3.43 | 9.15 | 1.98 | 321.0 | 0.06 |
2 | Mean word length (in syllables) | 2.38 | 0.25 | 2.50 | 0.25 | 310.0 | 0.04* |
4 | Nouns | 470.07 | 74.22 | 432.20 | 39.35 | 309.5 | 0.04* |
5 | Verbs | 123.83 | 29.72 | 133.63 | 24.59 | 358.0 | 0.18 |
6 | Adjectives | 106.00 | 17.96 | 111.73 | 26.03 | 400.5 | 0.47 |
7 | Adverbs | 32.87 | 9.85 | 34.87 | 14.29 | 450.0 | 0.99 |
8 | Pronouns | 57.00 | 25.02 | 89.10 | 29.89 | 183.0 | < 0.01* |
9 | Flesh — Kincaid score (SIS) | 5.62 | 2.07 | 5.75 | 1.48 | 425.5 | 0.72 |
10 | Abstractness score | 2.47 | 0.11 | 2.51 | 0.08 | 338.0 | 0.10 |
11 | Local noun overlap | 0.13 | 0.17 | 0.17 | 0.18 | 299.5 | 0.03* |
12 | Global noun overlap | 0.04 | 0.07 | 0.05 | 0.06 | 385.0 | 0.34 |
13 | Local argument overlap | 0.31 | 0.26 | 0.42 | 0.33 | 329.0 | 0.07 |
14 | Global argument overlap | 0.10 | 0.10 | 0.15 | 0.14 | 307.5 | 0.04* |
15 | TTR | 0.51 | 0.16 | 0.47 | 0.13 | 360.0 | 0.19 |
16 | Present tense (Verb) | 46.60 | 16.98 | 54.40 | 14.70 | 327.0 | 0.07 |
17 | Future tense (Verb) | 2.50 | 2.39 | 4.77 | 3.54 | 275.5 | 0.01* |
18 | Past tense (Verb) | 53.23 | 33.68 | 38.53 | 19.49 | 348.5 | 0.14 |
19 | “Narrativity” (Verb/Noun) | 0.28 | 0.10 | 0.32 | 0.08 | 344.5 | 0.12 |
20 | “Descriptiveness” (Adjective/Noun) | 0.23 | 0.06 | 0.26 | 0.05 | 331.5 | 0.08 |
21 | The number of nouns in genitive case | 0.21 | 0.06 | 0.24 | 0.07 | 371.0 | 0.25 |
22 | Singletons | 0.38 | 0.16 | 0.32 | 0.14 | 344.0 | 0.12 |
23 | Content words | 732.77 | 46.05 | 712.43 | 27.80 | 304.5 | 0.04* |
24 | Lexical density | 0.73 | 0.05 | 0.71 | 0.03 | 315.0 | 0.046* |
Note. *Gray shading indicates statistically significant differences (p < 0.05).
Source: Created by R.V. Kupriyanov using STATISTICA 12 software.
The research shows that the complexity of language constructions and the use of terminology in scientific texts change over time. Textbooks of the earlier period (1935–1974) often used complex language constructions and more intricate structure to explain theoretical concepts. This could be related to the pedagogical methods of the time which aimed at providing students with more detailed and complex explanations. According to the science education literature, there are several frameworks defining scientific explanations, with different foci and different notions (de Andrade, Freire, Baptista, 2019). Similar changes can be observed in other languages. For example, there were changes in the morphological and lexical complexity of scientific texts in English from 1821 to 1920 (Wang, Wang, Sun, 2023) and changes in the syntactic complexity of scientific articles from 1970 to 2020 (Yang, Pan, 2024).
The analysis of parts of speech in the formants reveals the following patterns (Fig. 3). The highest frequency of nouns is found in the formant ‘Theory’, whereas verbs predominate in the formant ‘Tasks’, which is related to their content. The high frequency of nouns in the ‘Theory” unveils the conceptual framework of the discipline and conveys abstract ideas. Scientific explanations play a central role in fostering students' conceptual understanding and in understanding the nature of scientific knowledge (de Andrade, Freire, Baptista, 2019; Weber, Van Bouwel, De Vreese, 2013).
Figure 3. Distribution of nouns in textbook formants: a — number of nouns; b — genitive case (nouns)
Source: Created by R.V. Kupriyanov using STATISTICA 12 software.
Additionally, all the formants show changes in the proportion of nouns in the genitive case. Case is a morphological means of expressing the syntactic or semantic relationship between the dependent and main components of a word combination (Blake, 2001). In this context, the genitive case of nouns helps clarify belonging, composition, participation, and origin of an object. The increase in the share of nouns in the genitive case may indicate a rise in the number of words specifying and clarifying the meaning of terms in the textbook (Kupriyanov, Bukach, Aleksandrova, 2023). Consequently, the frequent use of the genitive case in the ‘Tasks’ and ‘Theory’ contributes to a more comprehensive elucidation of the theoretical regularities of the Russian language and the semantic content of the tasks.
The opposite trend is observed when comparing the formants in terms of the frequency of verb usage compared to nouns (Fig. 4). The large number of verbs in the ‘Tasks’ reflects the sequence of actions required to complete the exercises, as well as specific steps and processes. The researchers note that verbs in the ‘Tasks’ are more frequently used in the imperative mood3. As a result, narrativity is the highest in the ‘Tasks’, slightly lower in the ‘Exercises’, and the lowest in the ‘Theory’.
Figure 4. Verb usage patterns in textbook formants: a — number of verbs; b — narrativity (verb/noun)
Source: Created by R.V. Kupriyanov using STATISTICA 12 software.
The distribution of tense forms in textbooks is determined by both didactic goals and the specific nature of the content being studied. As we know, the past tense is frequently found in narrative texts (Quackenbos, 1859; Nechaeva, 1974; Kibrik, 2003). Event narration is important for both written and spoken language; this explains the increased use of the past tense in the ‘Exercises’. In the ‘Theory’, the past tense is used less frequently because the focus here is on explaining grammar rules and principles which are usually illustrated with the present tense. This pattern is also evident when comparing the frequency of present tense in the ‘Tasks’ and ‘Theory’, where almost the same frequency is observed. This confirms previous findings (Fig. 5, a).
Figure 5. Distribution of verb tense forms in textbook formants: a — past tense (verb); b — present tense (verb); с — future tense (verb)
Source: Created by R.V. Kupriyanov using STATISTICA 12 software.
The third diagram (see Fig. 5, c) shows a slight increase in the use of the future tense in the ‘Exercises’ and ‘Tasks’ of modern textbooks. This may happen because modern textbooks place greater emphasis on developing forecasting and planning skills (Litnevskaya, Bagryantseva, 2006; Kuznetsova, 2021).
It is noteworthy that a similar pattern is observed in the frequency of pronouns (Fig. 6). Pronouns are used more frequently in modern textbooks; this compensates for the decrease in the number of nouns compared to Soviet textbooks (see Fig. 3, a). The increased use of pronouns may also reflect changes in the style of presentation and teaching methodology shifting from formal structures to a more practical and communicative approach. A similar trend is evident in English. Studies show an increase in the number of pronouns in academic texts, which, according to scholars, is one of the indicators that academic writing is becoming increasingly informal (Hyland, Jiang, 2017).
Figure 6. Pronouns
Source: Created by R.V. Kupriyanov using STATISTICA 12 software.
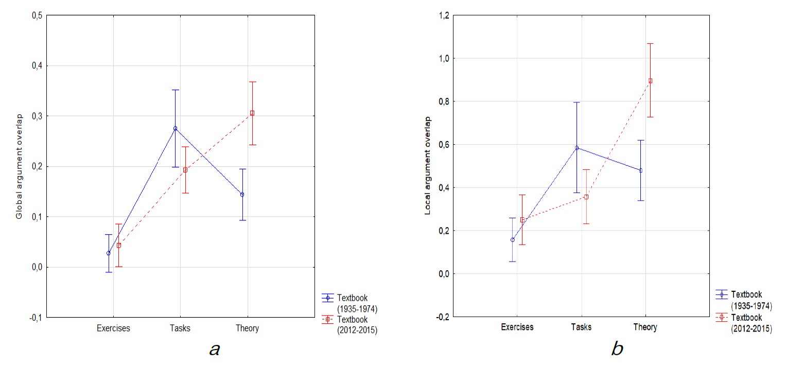
Global argument overlap measures the frequency of repeated nouns and pronouns, while local argument overlap measures how often nouns and pronouns are repeated in neighbouring sentences indicating the degree of thematic focus and textual coherence (Crossley, Kyle, McNamara, 2016). As Figure 7 shows, modern Russian language textbooks have the highest number of global and local argument repetitions in the ‘Theory’. ‘Exercises’ show a decrease compared to ‘Theory’ and ‘Task’. This may suggest that ‘Exercises’ were less related to the theoretical material and may contain a greater variety of topics and examples.
Figure 7. Overlap measures in textbook formants: a — global argument overlap; b — local argument overlap
Source: Created by R.V. Kupriyanov using STATISTICA 12 software.
The Type-Token Ratio (TTR) chart shows the average ratio of unique words (types) to total words (tokens) (Baayen, 2008) in different sections. The 'Theory' section in modern textbooks shows the highest number of global and local argument overlaps (see Fig. 7). This is consistent with the low TTR and the low number of singletons in the 'Theory'.
In both periods, the TTR is lower in the 'Tasks' compared to the 'Exercises' and 'Theory', which indicates greater lexical variation (Fig. 8). This could be explained by the fact that tasks in textbooks often include phrases and expressions that are repeated to practice and reinforce theoretical knowledge. This repetition leads to a decrease in lexical diversity and consequently to a lower TTR.
Figure 8. Lexical variation in textbook formants: a — TTR; b — singletons
Source: Created by R.V. Kupriyanov using STATISTICA 12 software.
Conclusion
The textbook is characterised by heterogeneity and represents a genre complex consisting of the formants ‘Exercises’, ‘Tasks’, and ‘Theory’. Each formant performs a specific function within the textbook, which is reflected in its linguistic parameters. The conducted study has revealed a general trend of changes in the linguistic parameters of Russian language textbooks and demonstrated their statistically significant differences. Further research in this area should focus on the following: 1) analysing and confirming the identified trends and patterns in Russian language textbooks for other grades, particularly for senior and primary school; 2) conducting a comparative study of the linguistic parameters of Russian language textbook formants with those of textbooks on other disciplines; and 3) undertaking a more detailed investigation into the dynamics of changes in the linguistic parameters of Soviet textbooks.
The results of this study may be valuable for linguists and experts focused on improving the quality of Russian language textbooks for Russian-speaking secondary schools.
1 Barkhudarov, S.G., & Kryuchkov, S.E. (1959). Textbook of the Russian language. Part 1. Phonetics and morphology. For 5th and 6th grades of secondary school. (6th Ed.). Moscow: Gosuchpedgiz Ministerstva Prosveshcheniya RSFSR Publ. (In Russ.). Baranov, M.T. (1974). Russian language. Textbook for 5th–6th grades. (N.M. Shanskii, Ed.). Moscow: Prosveshchenie Publ. (In Russ.). Shcherba, L.V. (1946). Grammar of the Russian language. Part 1. Phonetics and morphology. Textbook for the 5th and 6th grades of seven-year and secondary school. Moscow: Gosuchpedgiz Ministerstva Prosveshcheniya RSFSR Publ. (In Russ.). Shapirо, A.B. (1935). Grammar. Part 1. Morphology. Textbook for the 5th and 6th grades of incomplete secondary and secondary schools. (10th Ed.). Moscow: Gosuchpedgiz Publ. (In Russ.).
2 Bystrova, E.A., Kibireva, L.V., Gosteva, Yu.N., & others. (2015). Russian language: Textbook for the 5th grade of general educational institutio. In 2 parts. (4th Ed.). Moscow: Russkoe slovo Publ. (In Russ.). Ladizhenskaya, T.A., Baranov, M.T., Trostentsova, L.A., & others. (2012). Russian language. 5th grade. Textbook for general educational institutions. In 2 parts. (N.M. Shanskii, Ed.). Moscow: Prosveshchenie Publ. (In Russ.). Rybchenkova, L.M., Aleksandrova, O.M., Glazkov, A.V., & Lisitsyn, A.G. (2012). Russian language. 5th grade. Textbook for general educational institutions. In 2 parts. (2nd Ed., revised). Moscow: Prosveshchenie Publ. (In Russ.). Shmelev, A.D., Florenskaya, E.A., & Gabovich, F.E. (2015). Russian language. Part 1. Textbook for 5th grade of general educational institutions. Moscow: Ventana-Graf Publ. (In Russ.). Shmelev, A.D., Florenskaya, E.A., Gabovich, F.E., Savchuk, L.O., & Shmeleva, E.Ya. (2014). Russian language: 5th grade: Textbook for students of general educational organizations. In 2 parts. Part 2. Moscow: Ventana-Graf Publ. (In Russ.).
3 Pedagogue. “What is an Instruction Text?” Pedagogue. Retrieved August 10, 2024 from https://pedagogue.app/what-is-an-instruction-text/
About the authors
Roman V. Kupriyanov
Kazan (Volga Region) Federal University; Kazan National Research Technological University
Author for correspondence.
Email: kroman1@mail.ru
ORCID iD: 0000-0001-9794-9607
SPIN-code: 1953-8559
Candidate of Psychology, Chief Researcher, “Multidisciplinary Text Studies” Research Laboratory, Institute of Philology and Intercultural Communication, Kazan (Volga Region) Federal University; Associate Professor, Department of Social Work, Pedagogy and Psychology, Kazan National Research Technological University
18 Kremlevskaya St, Kazan, 420008, Russian Federation; 68 Karl Marx St, Kazan, 420015, Russian FederationGulnoza N. Shoeva
Kazan (Volga Region) Federal University
Email: gnshoeva@yandex.ru
ORCID iD: 0009-0005-0438-0404
Postgraduate student of the Department of Theory and Practice of Teaching Foreign Languages, “Multidisciplinary Text Studies” Research Laboratory, Institute of Philology and Intercultural Communication
18 Kremlevskaya St, Kazan, 420008, Russian FederationOksana I. Aleksandrova
RUDN University
Email: alexandrova-oi@rudn.ru
ORCID iD: 0000-0002-7246-4109
SPIN-code: 1858-5107
Candidate of Philology, Associate Professor of the General and Russian Linguistics Department, Faculty of Philology
6 Miklukho-Maklaya St, Moscow, 117198, Russian FederationReferences
- Baayen, R.H. (2008). Analyzing linguistic data: a practical introduction to statistics. Cambridge University Press.
- Bakhtin, M.M. (1986). The problem of speech genres. In C. Emerson & M. Holquist (Eds.), Speech genres and other late essays (pp. 60-102). Austin: University of Texas Press.
- Bhatia, V.K. (1993). Analysing genre: language use in professional settings. London: Longman.
- Biber, D. (2006). University language: a corpus-based study of spoken and written registers. Amsterdam: John Benjamins Publ. https://doi.org/10.1075/scl.23
- Bilichenko, N. (2007). Educational text and its varieties. Pandia. (In Russ.). Retrieved August 10, 2024 from https://pandia.ru/text/77/304/32260.php
- Biggs, J., & Tang, C. (2007). Teaching for quality learning at university. 3rd ed. Open University Press/McGraw Hill.
- Blake, B. (2001). Case. 2nd ed., Cambridge Textbooks in Linguistics. Cambridge: Cambridge University Press. https://doi.org/10.1017/CBO9781139164894
- Crossley, S.A., Kyle, K., & McNamara, D.S. (2016). The tool for the automatic analysis of text cohesion (TAACO): Automatic assessment of local, global, and text cohesion. Behavior Research Methods, 48(4), 1227-1237. https://doi.org/10.3758/s13428-015-0651-7
- de Andrade, V., Freire, S., & Baptista, M. (2019). Constructing scientific explanations: A system of analysis for students’ explanations. Research in Science Education, 49(3), 787-807. https://doi.org/10.1007/s11165-017-9648-9
- Eggins, S. (2004). Introduction to Systemic Functional Linguistics. Bloomsbury Publ.
- Gaillet, L.L., & Guglielmo, L. (2014). Understanding academic genres. In Scholarly Publication in a Changing Academic Landscape: Models for Success (pp. 35-48). Palgrave Macmillan. https://doi.org/10.1057/9781137410764_3
- Gabidullina, A.R. (2009). Educational-pedagogical discourse. Gorlovka: GGPIIYa Publ. (In Russ.).
- Gatiyatullina, G., Solnyshkina, M., Solovyev, V., Danilov, A., Martynova, E., & Yarmakeev, I. (2020). Computing Russian morphological distribution patterns using RusAC Online Server. In Proceedings of the International Conference on Developments in eSystems Engineering (DeSE 2020) (pp. 393-398). https://doi.org/10.1109/DeSE.2020.9450753
- Heineke, A.J., & Neugebauer, S.R. (2018). The complexity of language and learning: Deconstructing teachers' conceptions of academic language. Issues in Teacher Education, 27(3), 73-89.
- Hood, S. (2013). Systemic Functional Linguistics. Genre Across Borders Retrieved September 9, 2024 from. https://genreacrossborders.org/research/systemic-functional-linguistics
- Hyland, K. (2004). Disciplinary discourses: social interactions in academic Writing. Michigan: University of Michigan Press. https://doi.org/10.3998/mpub.6719
- Hyland, K. (2008). Genre and academic writing in the disciplines. Language Teaching. 41(4), 543-562. https://doi.org/10.1017/S0261444808005235
- Hyland, K., & Jiang, F. (2017). Is academic writing becoming more informal? English for Specific Purposes, 45, 40-51. https://doi.org/10.1016/j.esp.2016.09.001
- Kibrik, A.A. (2003). Discourse analysis in cognitive perspective. (Doctoral dissertation, Moscow). (In Russ.).
- Klerides, E. (2010). Imagining the textbook: Textbooks as discourse and genre. Journal of Educational Media, Memory, and Society, 2(1), 31-54. https://doi.org/10.3167/jemms.2010.020103
- Kruskal, W.H., & Wallis, W.A. (1952). Use of ranks in one-criterion variance analysis. Journal of the American Statistical Association, 47, 583-621.
- Kupriyanov, R.V., Bukach, O.V., & Aleksandrova, O.I. (2023). Cognitive complexity measures for educational texts: Empirical validation of linguistic parameters. Russian Journal of Linguistics, 27(3), 641-662. https://doi.org/10.22363/2687-0088-35817
- Kupriyanov, R.V., Solnyshkina, M.I., & Lekhnitskaya, P.A. (2023). Parametric taxonomy of educational texts. Vestnik of Volgograd State University. Series 2: Linguistics, 22(6), 80-94. (In Russ.). https://doi.org/10.15688/jvolsu2.2023.6.6
- Kuznetsova, N.M. (2021). Functional literacy. Conceptual basis and possibilities for formation: A methodological guide. Lipetsk: GAUDPO LO “IRO” Publ. (In Russ.).
- Liu, K., & Afzaal, M. (2021). Syntactic complexity in translated and non-translated texts: A corpus-based study of simplification. PLOS ONE, 16(6), e0253454. https://doi.org/10.1371/journal.pone.0253454
- Litnevskaya, E.I., & Bagryantseva, V.A. (2006). Methodology of teaching the Russian language in secondary school: A textbook for university students. Moscow: Akademicheskiy proekt Publ. (In Russ.).
- Lu, X., & Deng, J. (2019). With the rapid development: A contrastive analysis of lexical bundles in dissertation abstracts by Chinese and L1 English doctoral students. Journal of English for Academic Purposes, 39, 21-36. https://doi.org/10.1016/j.jeap.2019.03.008
- Mann, H.B., & Whitney, D.R. (1947). On a test of whether one of two random variables is stochastically larger than the other. Annals of Mathematical Statistics, 18, 50-60.
- Martin, J.R. (2009). Genre and language learning: A social semiotic perspective. Linguistics and Education, 20(1), 10-21. https://doi.org/10.1016/j.linged.2009.01.003
- Martin, J.R., & Rose, D. (2008). Genre Relations: Mapping Culture. London: Equinox.
- Mesenyashina, L. (2021). M.M. Bakhtin’s genre theory as a key to teaching linguistic text analysis. In E.V. Toropova & others (Eds.). European Proceedings of Social and Behavioural Sciences, 101, 227-236. https://doi.org/10.15405/epsbs.2021.05.02.28
- Nechaeva, O.A. (1974). Functional and semantic types of speech (description, narration, argumentation). Ulan-Ude: Buryat book publ. (In Russ.).
- Paltridge, B. (2004). Genre and Second-Language Academic Writing. University of Michigan Press.
- Quackenbos, G.P. (1859). Advanced Course of Composition and Rhetoric. D. Appleton.
- Red'kina, O.Y. (2014). Genre-forming formants in educational texts. Vestnik of Chelyabinsk State University, (16), 108-111. (In Russ.).
- Richards, J.C., & Rodgers, T.S. (2001). Approaches and Methods in Language Teaching. 2nd ed. Cambridge University Press.
- Sabinina, A.A. (2009). Educational text: Structure and pragmatics. Proceedings of the Herzen State Pedagogical University of Russia, (97), 222-225. (In Russ.).
- Schleppegrell, M.J. (2004). The Language of Schooling: A Functional Linguistics Perspective. Lawrence Erlbaum Associates Publ.
- Seliutin, O., Redkina, E., & Limarova, E. (2024). Universal and unique textual genres of the linguodidactic discourse aimed at a multicultural audience. In EDULEARN24 Proceedings (pp. 6895-6900). https://doi.org/10.21125/edulearn.2024.1634
- Solnyshkina, M.I., & Kisel’nikov, A.S. (2015). Text complexity: Stages of study in domestic applied linguistics. Vestnik Tomskogo gosudarstvennogo universiteta. Filologiya, (6), 154-167. (In Russ.).
- Sun, S.A., & Crosthwaite, P. (2022). The findings might not be generalizable: Investigating negation in the limitations sections of PhD theses across disciplines. Journal of English for Academic Purposes, 59, 101-155. https://doi.org/10.1016/j.jeap.2022.101155
- Swales, J.M. (1990). Genre analysis: English in academic and research settings. Cambridge University Press.
- Wang, G., Wang, H., & Sun, X. (2023). Linguistic complexity in scientific writing: A large-scale diachronic study from 1821 to 1920. Scientometrics, 128(3), 441-460. https://doi.org/10.1007/s11192-022-04550-z
- Weber, E., Van Bouwel, J., & De Vreese, L. (2013). Theories of scientific explanation. In Scientific explanation (pp. 1-23). Springer, Dordrecht. https://doi.org/10.1007/978-94-007-6446-0_1
- Yang, Y., & Pan, F. (2024). Diachronic changes in syntactic complexity of science research articles: A comparative study of medicine and mechanical engineering. Scientometrics, 129(6), 1663-1686. https://doi.org/10.1007/s11192-023-04891-3
Supplementary files
Source: Created by R.V. Kupriyanov using STATISTICA 12 software.
Source: Created by R.V. Kupriyanov using STATISTICA 12 software.
Source: Created by R.V. Kupriyanov using STATISTICA 12 software.
Source: Created by R.V. Kupriyanov using STATISTICA 12 software.
Source: Created by R.V. Kupriyanov using STATISTICA 12 software.
Source: Created by R.V. Kupriyanov using STATISTICA 12 software.
Source: Created by R.V. Kupriyanov using STATISTICA 12 software.


















