Research on word stress in Iranian languages by Soviet and Russian scholars
- Authors: Ivanov V.B.1, Silanteva L.G.1
-
Affiliations:
- Lomonosov Moscow State University
- Issue: Vol 27, No 2 (2023)
- Pages: 392-417
- Section: Articles
- URL: https://journals.rudn.ru/linguistics/article/view/35195
- DOI: https://doi.org/10.22363/2687-0088-31015
- EDN: https://elibrary.ru/OLUYFD
- ID: 35195
Cite item
Full Text
Abstract
In recent years, considerable material has been accumulated in the field of experimental studies of Iranian languages, including the works by Soviet and Russian scholars, enabling us to make new generalizations regarding the acoustic characteristics of word stress as part of the problem of speech recognition. The study of Iranian languages has been rather uneven: most of the acoustic studies focused on Persian, and only a few covered other 11 languages described in this article. In addition, most of these studies have been published in Russian and therefore remain unknown to the wide international linguistic community. The purpose of the article is to sum up the achievements of Soviet and Russian scholars regarding the acoustic properties of the stressed syllable in Iranian languages. Different views of Soviet, Russian and foreign authors were compared. A number of positions with weak points in reasoning were screened out, and the most well-reasoned ones adopted as the most probable traits of word stress in Iranian languages. Tonal stress was found in Mazandarani, Persian and Tajik; quantitative - in Dari (Afghanistan), Sarikoli and theoretically in Rushani; multicomponental - in Abyanei, Gavruni, Gilaki, Pashto, and Wakhi. Ossetic is likely to have quantitative stress, but statistical proof hasn’t been found yet. Apparently, the overall situation reveals that tonal and quantitative stress types are typical for many Iranian languages. Dynamic stress is found in several languages, but only as a part of multicomponental one; and spectral stress is the rarest feature. The results achieved could be used in automated transcription and speech recognition services.
Full Text
Introduction
Speech research is a well-known aspect of linguistic studies worldwide, which can be applied to every language, but most of the projects are connected with the English language. Soviet and Russian scholars have done a great amount of research on experimental studies of different groups of languages, including the Iranian ones. But again, most of the works are connected exclusively to Persian, while only few remarkable investigations can be seen in other languages as well. One of the reasons for writing this article is that most of the studies conducted by Soviet and Russian scholars are completed in Russian. Owing to this fact, the achievements of Russian and Soviet linguists are unknown to those who write their articles in English and/or in Persian. Due to the considerable number of modern investigations of Persian stress and pitch accent in Iran in the section dedicated to Persian, Russian articles are compared with the Iranian publications.
If we look at the basics, we can see mainly four types of syllable prominence:
- Dynamic (expiratory) stress based on intensity. This was suggested by Russian scholars for the majority of languages including Russian, English, French, Polish, Hungarian, Arabic and many others1, mostly judging by auditory perception. But later instrumental studies showed that it is rather rare and can be found in some languages only as a component of the multicomponental stress.
- Quantitative stress based on duration can be found in Russian and many Iranian languages like Dari and Pashto.
- Tonal stress (pitch accent) based on fundamental frequency (F0) can be found in English (Roach 2002: 95) and many Iranian languages like Persian and Tajik. Typically, this kind of word stress is called pitch accent, though some linguists deliberately avoid using the term accent (Roach 2002: 100–101).
- Spectral (qualitative) stress based on the quality of the vowel. This kind of stress includes different sets of vowels in stressed and unstressed syllables. It can be found in Russian (Zinder 1979: 265) and English (Roach 2002: 95) as a secondary feature. It is very rare among the Iranian languages and is observed in Pashto (Ivanov 2001).
- Word stress can also be multicomponental, being a mixture of the features listed above. It is represented in Wakhi (Ivanov & Silanteva 2019: 527) and in the isolated language Burushaski2, where all the four prominence types are observed.
This article is written in the form of a critical review and aims to sum up the achievements of Soviet and Russian scholars regarding the acoustic properties of the stressed syllable in Iranian languages.
Materials and methods
The paper presents the analysis of previously conducted research and does not contain any crucially new empirical study. It is based on all known research literature on Iranian languages including the data on the acoustic properties of the stressed syllable (written in Russian). When writing a critical review article, traditional methods of collecting information from available sources were used with a further comparison of diverse, sometimes controversial opinions. The analyzed literature covers the time period from the middle of the last century to the present day. As the approaches of different authors were diverse and the experiments were scattered in time, the materials presented in their works looked differently. They used different formulas and argumentation. Some of the data were reformatted in order to present them in a more or less standardized form.
Thus, the goal of this article is to provide a comprehensive overview and to sum up the achievements of Soviet and Russian linguistic school on the acoustic properties of the stressed syllable in Iranian languages. It is structured according to the genealogical tree of the Iranian languages (see Figure 1) which includes only those Iranian languages that were subjected to experimental studies. The sections begin with the history of the experimental analyses of the language, description of their methods and results. If there is more than one experimental study on a language, they are compared and discussed.
We compared different points of view on the most probable traits of word stress in Iranian languages including those of foreign authors, adopted the most well-argued ones and screened out those having weak points in reasoning. We considered the presence of valid statistical processing and testing of speculative hypotheses by instrumental methods as indicators of the accuracy of the results of the studies under analysis. This mainly concerns earlier investigations which were carried out when the standard quantitative characteristics of speech flow had not been sufficiently studied.
Figure 1. Genealogical tree of the Iranian languages studied experimentally
Eastern subgroup the Iranian languages
3.1. Pashto
The instrumental study of Pashto speech began as early as 1969. At that time most of the Soviet speech scholars were under the influence of the works by academician Shcherba, who was one of the founders of the Leningrad Phonologic School. With his well-known followers and supporters Matusevich and Zinder, he developed the theory that tonal stress (they also called it musical) is characteristic of the languages of South-East Asia (like Chinese, Vietnamese etc.) (Reformatskii 2001: 197, Zinder 1979: 256). According to their theory, most of the other languages have dynamic stress, i.e., the stressed syllable is marked by higher intensity. The loudest syllable in the word was considered to be the stressed one. At that time, linguists didn’t usually take into consideration that according to psychoacoustics, prominence in loudness could be achieved not only by increasing the intensity but by the rise of pitch and lengthening of the vowel as well. This is why, according to their theory, Russian and English had dynamic stress.
In the meantime, phoneticians in Western countries were influenced by the works of Bolinger (1958) who introduced the pitch accent in English. In other words, the stressed syllable in English is marked by higher tone (pitch). After that a chain of discoveries started in parallel: Western phoneticians began discovering pitch accent in other languages, while Soviet linguists interpreted it as dynamic stress. Pashto was no exception in that respect. Its stress was analyzed at Moscow State University by Asmati, whose mother tongue was Pashto; after some experiments he reached the conclusion that word stress in Pashto was dynamic3.
In 2000–2001 a set of experiments was carried out in order to recheck her work. It turned out that no statistical proof of dynamic stress could be found in her material. The analysis of 338 tokens showed that word stress in Pashto is quantitative, i.e., the stressed syllable usually is marked by longer duration (Sig<0.001) (Ivanov 2001: 14). All the accented vowels with the exception of [u] were significantly longer than their unaccented analogues (Figure 2).
Figure 2. Mean duration of accented and unaccented Pashto vowels in seconds
Pitch and intensity in that experiment were not significant. Besides, the stressed vowels in Pashto tend to be pronounced like diphthongs: their lower formants (F1 and F2) change gradually towards the end of the vowel. Thus, vocalic spectrum can be considered to be another correlate of word stress in Pashto (Ivanov 2001: 16). Taking into consideration all the significant properties described above, we can define word stress in Pashto as quantitative-spectral.
3.2. Ossetic
Much as in the previous case, according to auditory estimations, Ossetic word stress was at first considered to be expiratory or expiratory-musical (in other words, dynamic or dynamic-tonal) (Bagaev 1965: 56). But recent experimental studies showed that statistically the length of vowels has closer connection with the stress than their intensity. On averageб a stressed vowel is 1.2 times longer than the unstressed one, while the ratio of intensities is only 1.01 (Dzakhova 2010: 17). In further investigations it was found that the main markers of Ossetic word stress are fundamental frequency (F0) and intensity (Dzakhova 2014: 31), but they yield to the intonation of the sentence. So stressed vowels in a sentence are neither the most intensive, nor the highest (from the point of view of F0) (Dzakhova 2014: 39–40). This is crucially different from the situation in Persian where all the stressed syllables in the sentence are marked by higher pitch. In addition, it is stated that there is no qualitative reduction of vowels; in other words, word stress in Ossetic is not related to the quality of the vowels (Dzakhova 2010: 9), i.e. is not spectral. Still, all the stressed syllables in Ossetic speech are easily detected by native speakers. Therefore, Dzakhova concludes that the exact marker of Ossetic word stress has not been found yet and should be sought elsewhere (Dzakhova 2014: 40).
3.3. Pamir languages
Genetically, the Pamir languages belong to various branches of the Eastern Iranian languages. Some of the cross-lingual similarities can be explained by their common root, others are due to their direct loaning. All of them lack a written tradition, and thus have no school instruction. Many of them are rapidly yielding to Tajik which is more prestigious in the Pamir region. Pamir natives speak a special phonetic kind of Tajik that is easily recognized by the people of central Tajikistan. Some of the common features of the Pamir languages and Tajik may be the result of the Tajik influence.
The tradition of describing the Pamir languages started about a century ago. Since then, many books have been written including those by the native speakers of Pamir languages, such as Fayzov (Rushani) and Yusufbekov (Shughni). Most phonetic references are made to a rather old experimental study (Sokolova 1953). Some of the latest books repeat previous auditory data without experimental verification. Since the unwritten languages change noticeably in 2–3 generations (Ladefoged & Maddieson 1996: 314), an instrumental update of traditional descriptions should be produced.
3.3.1. Rushani
There was no special study of word stress in Rushani, but in (Sokolova 1953) we can find numerous data about the duration of vowels. She found that in some phonetic positions word stress influenced this duration. By way of preliminary observation, we can assume that word stress in Rushani has a quantitative component. This conclusion needs to be proved experimentally in the future.
3.3.2. Sarikoli
Sarikoli is a small Iranian language in Northwestern China. The speech of four native speakers was studied experimentally4. Pitch (Sig=0.422) and intensity (Sig=0.592) turned out not to be significant for marking the stressed syllable. The duration of the vowels played the main role (Sig=0.033). Word stress causes 20% vowel lengthening. Parameter F0area that is based on duration and F0 curve (Figure 3) were significant, too (Sig=0.049). On the whole, word stress in Sarikoli can be described as quantitative.
Figure 3. Representation of F0 curve and F0area parameter
3.3.3. Wakhi
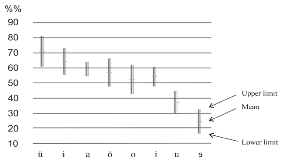
Wakhi is one of the Pamir languages spoken in border regions of Afghanistan, China, Pakistan and Tajikistan. Most of the Wakhis are multilingual. In addition to their native language, they speak: Tajik and Russian in Tajikistan; Dari and Pashto in Afghanistan; Sheena and Burushaski as well as official English and Urdu in Northern Pakistan; Sarikoli, Uighur and Chinese in China. Wakhi vowels with their variability are characterized by positional quantitative changes and inherent duration, which were widely studied by Soviet linguists (Sokolova 1953, Grünberg & Steblin-Kamenskii 1976, Pakhalina & Lashkarbekov 2000). 95%-confidence intervals of relative duration of stressed Wakhi vowels can be seen in Figure 45. Wakhi word stress was assumed to be dynamic for a long time (Pakhalina & Lashkarbekov 2000) and was not studied experimentally.
Figure 4. 95%-confidence intervals of relative duration of stressed Wakhi vowels
Figure 5. Vowel phonemes and their variants in the speech of Wakhi native speakers from Tajikistan
Recent instrumental-phonetic studies (Ivanov & Silanteva 2019) showed quite a different situation. In both experiments, the speech of four Wakhi speakers from Tajikistan (two men and two women) was recorded, segmented and analyzed using the Praat software at the Laboratory of Experimental Phonetics of the Institute of Asian and African Studies, Moscow State University. All the Wakhi vowels (see Figure 5)6 acted as syllable nuclei throughout the experiments. The phonetic environment of syllable nuclei (both voiced and unvoiced) was disregarded.
A number of main physical parameters (duration, pitch (F0), intensity) and their derivative integral parameters (F0area, Iarea (Figure 6) and Volume based on duration, F0 and intensity curves (Figure 7)) of syllable nuclei in stressed and unstressed positions were compared in absolute values and their relative derivatives.
Figure 6. Representation of Intensity (I) curve and Iarea parameter
Figure 7. Representation of F0 curve, Intensity (I) curve and Volume parameter
In the first experiment, the solely acoustic properties of 120 syllables were examined. The results indicated a highly significant connection between word stress and all the parameters mentioned above. So far, the same situation has been found in only one non-Iranian isolated language – Burushaski7. This might be because of Burushaski-Wakhi bilingualism and interaction of both languages in Northern Pakistan, due to which the Burushaski prosodic system has influenced the prosody of Tajik Wakhi. Thus, Wakhi stress was suggested to be multicomponental: dynamic, tonal and quantitative.
In the course of the second experiment, the speech of three Wakhi native speakers (two men and a woman) was recorded using electroglottograph (EGG), which had a new feature – a two-channel mode. The microphone signal was captured in the first channel, and the glottographic signal in the second one. While using a glottograph, laryngeal movements as well as the frequency of vocal cord vibrations (F0) were registered, so two more parameters of syllable nucleus were added to those in the first experiment: subsonic frequency (Sub) and vertical larynx position (VLP). In total, 88 syllable nuclei were analyzed.
Statistical analysis evidenced that pitch and duration as well as the integral parameters are significantly related to syllable stress (Sig<0.001), while intensity (I) (Sig=0.001) and Iarea (Sig=0.002) were found to be slightly less relevant. Laryngeal parameters appeared insignificant for the Wakhi prosody: Sub (Sig=0.838) and VLP (Sig=0.897). Thus, Wakhi word stress can be defined as quantitative-tonal (Ivanov & Silanteva 2019).
North-Western subgroup of the Iranian languages
4.1. Abyanei
In 1974 word stress in the Abyanei language was found to be dynamic, i.e., marked by intensity, accent d’intensité (Lecoq 1974: 52). In 2009 the speech of three Abyanei middle-aged subjects (one man and two women) was recorded. The analysis was conducted in two parts. In the first one, 40 two-syllable words were processed. The main result was that the principal feature of word stress in Abyanei is duration (Sig=0.00656). The secondary feature is the maximal pitch (F0) (Sig=0.00659) (not the mean pitch of the vowel (Sig=0.0917)), i.e., the stressed syllable is marked by higher fundamental frequency. Intensity seemed to play no significant role in marking the stressed syllable (Sig=0.165). So, at this stage word stress in Abyanei is considered to be quantitative-tonal (Ivanov & Dodykhudoeva 20108; Ivanov 2011).
Table 1. Significance of the influence of intonation and stress on acoustic parameters in Abyanei
Factors/parameters | Word stress | Intonation |
Duration | 0.131 | 0.007 |
Intensity | 0.104 | 0.073 |
F0 | 0.648 | 0.05 |
Iarea | 0.043 | 0.004 |
F0area | 0.084 | 0.001 |
Volume | 0.06 | 0.001 |
The second part of the investigation contains the analysis of 107 vowels (48 stressed and 59 unstressed ones)9. The acoustic parameters were normalized using the z-score method. It turned out that in Abyanei the impact of intonation on the acoustic parameters is more significant than that of stress (Table 1). Intonation influenced all the parameters except intensity, while for word stress the integral intensity (Iarea) was significant (Sig=0.043). From this point of view Abyanei word stress can be called quantitative-dynamic. From both parts of this investigation, one can conclude that duration plays the most important role in the formation of Abyanei word stress.
4.2. Gavruni (Zoroastrian Dari)
In 2005 the speech of seven native speakers of Gavruni in Yazd and in 2007 the speech of five native speakers in Kerman was recorded10. This analysis made it possible to correct the traditional description of vowels. Prosodic analysis showed that in Kerman vernacular word stress is quantitative (marked by duration of the vowel) (Sig=0.022). The duration of vowels had an impact on their integral characteristics Iarea (Sig=0.0287) and F0area (Sig=0.0089). Those two derivative parameters can also be seen as the markers of word stress in Kermanian Gavruni.
In Yazd, vernacular word stress turned out to be multicomponental (quantitative-dynamic-tonal). The stressed vowel there is approximately 19% longer than the unstressed one (Sig=0.000366). F0 in the stressed syllable is 9% higher than in the unstressed one (Sig=0.004606). The intensity of the stressed syllable is approximately 2.5 Db (3.1%) higher than in the unstressed one (Sig=0.0000358).
There are far fewer Gavruni speakers in Kerman than in Yazd, which is why this vernacular can be considered unstable and changing under the impact of Kermani and Persian. The Yazd vernacular is more stable and therefore preserves some archaic characteristics.
4.3. Mazandarani
In 2014 some research on Mazandarani vowels and word stress was conducted. In both cases corrections to previous descriptions (Rastorgueva 1999a) were effected. Three native speakers pronounced 34 two-syllable words (68 syllables); 8 parameters of each syllable were analyzed. Previously Mazandarani word stress was described as dynamic, while it was found to be tonal11, i.e., pitch plays the main role in marking the stressed syllable (Sig<0.001). The mean rise of pitch in the stressed syllable equals 13%. Moreover, the integral parameter F0area was also significant (Sig=0.029). Mazandarani intonation affects word stress. There is an intonational construction of incompleteness that is very similar to Persian. The tone arises on the last syllable of the syntactic group of the subject before the syntactic group of the predicate. That feature lengthens this last syllable by a factor of 2 or 3, even though it is unstressed. The rise of intensity in that syllable can be neutralized by an appropriate context.
4.4. Gilaki
Previously word stress in Gilaki was described as purely dynamic (Rastorgueva et al. 2012: 19, 1971: 27, Rastorgueva 1999b: 115). In 2015 a further study was conducted on the Gilaki language. The speech of three men and one woman was recorded; 41 two-syllable words (82 syllables) with initial and final stress were analyzed. The experiment showed that word stress in Gilaki is two-componential – tonal-dynamic12. Pitch is a more reliable indicator in this process: on average it is 9.4% higher in the stressed syllable (Sig<0.001), while intensity rises only by 2.3% (Sig=0.006).
The Gilaki and Mazandarani languages are very close to each other; their native speakers communicate without any difficulty. Nevertheless, these languages have noticeable differences in the acoustic character of word stress. The author’s hypothesis is that the type of word stress is very sensitive to the areal environment. Different environments lead to different types of word stress, especially in small communities.
South-Western subgroup of the Iranian languages
5.1. Dari (Afghanistan)
The experimental study of word stress in Dari began in the 1980s. At first the acoustic properties of Dari vowels in stressed and unstressed syllables were analyzed. In an experiment, in which three native speakers from Kabul took part, 77 two-syllable words with different accented syllables were recorded. It was found that the most informative criterion for word stress is the duration of the vowels. In affirmative sentences F0 marked the stressed syllable as well, but the fall of F0 in the last non-accented syllable of a phrase could be neutralized by an interrogative intonation. Intensity played no significant role. Consequently, word stress in Dari was defined as quantitative (Ivanov 1988).
As the experiment shows, analysis alone cannot encompass all the possibilities and combinations of speech factors; their modelling can noticeably improve understanding of the phenomena. In order to recheck the quantitative status of word stress in Dari and to detect the limits of variation of the main prosodic parameters, some sets of different accentual structures were synthesized. The first set of stimuli was based on the opposition راهت rāh-at ‘your way’ ↔ راحت rāhat ‘convenient’. The first structure consists of two lexical, but one phonetic word with one word stress on the first syllable. The second structure is one morphologic and one phonetic word with word stress on the second (last) syllable. Different letters (ه and ح) in Persian and Dari are pronounced identically [h]. Since there is no phonologic sign that distinguishes the morphemic boundary between the words راه rāh ‘way’ and ـت -at ‘your’, both structures from the point of view of their segmental make-up are pronounced equally. The only difference between them deals with the position of the stress (Ivanov 2012).
Typical realizations of the words راهت rāh-at ‘your way’, راحت rāhat ‘convenient’ were analyzed and on their basis an initial stimulus was introduced. The formant structure of the basic stimulus is shown in Figure 8.
Figure 8. Formant structure of the basic stimulus for ID-test
Four Dari-speaking subjects took part in this set of experiments with synthetic speech (constructed using synthesis by rule). The temporal structure of the first and the last stimulus in the ID-test continuum are shown on (Figure 9). Between them six intermediate stimuli in equal steps were introduced. In these experiments it was found out that pitch has no significant impact on the perception of the place of the word stress in Dari (Sig=0.15)13 unlike in Tajik and Persian (vide infra).
Figure 9. Temporal structure of extreme stimuli of the ID-test continuum; راهت rāh-at ‘your way’ above and راحت rāhat ‘convenient’ below
In order to conduct a more detailed experiment on the acoustic parameters of Dari word stress, another set of nonsense stimuli was introduced. This set was based on the property of the indefinite article -ē. This is added to the stem of a noun and is unstressed, for instance, sēb ‘the apple’ + -ē=sēb-ē ‘an apple’. Such a prosodic construction is opposed to other words with phoneme /ē/ at the end, like šanbē ‘Saturday’. In this case, the last syllable is stressed. However, it is impossible to find such minimal pairs in Dari differing only in the place of stress. This is why a set of stimuli based on a nonsense word bēbē was constructed. It contained 125 combinations of pitch, intensity and duration of vowels. Six native speakers were asked whether they heard an article (yā-ye wahdat) in the stimulus, i.e., whether they heard a non-final stress or not. The result of the experiment confirmed that the main factor determining word stress in Dari is duration (Sig<0.1)14. Intensity and pitch were not significant (Sig>0.25). But a 20% increase in pitch or a 25% increase in intensity in the unstressed syllable can neutralize the leading role of duration. Analysis of the speech of more than 20 Dari native speakers gives the evidence that word stress in Dari is quantitative, like in the other official language of Afghanistan – Pashto, while in Persian and Tajik, as will be seen later, the stress is tonal. According to the author’s hypothesis, this is due to the bilingualism of the Afghan population.
5.2. Tajik
The most prominent investigations on Tajik speech were conducted by Khaskashev (1983, 2001). In those works, despite the common trend that word stress in most languages must be dynamic (as was mentioned earlier), he came to the conclusion that word stress in Tajik is mainly tonal. It was found in his studies that the main acoustic parameters: pitch frequency, intensity and duration – are in different relations with Tajik word stress. The duration of vowels is less related to the stress formation and depends on their quality and their position in syntagmas (word collocations). The stressed syllable nuclei in Tajik in most cases are marked by pitch and intensity. The latter acts as a less stable feature of the stressed syllable and mostly corresponds to the pitch (Khaskashev 197215: 12–14). In (Khaskashev 1983), several patterns of the stressed syllables in the Tajik language are shown. His rather detailed descriptions in text form can be summed up in the following two tables. The intensity of the stressed vowel as compared to the unstressed one can be as follows (see Table 2).
Table 2. Comparison of the intensity of the stressed and unstressed syllables in Tajik
Position | Percentage of cases | Ratio |
End of internal single-component syntagma | 61.1 | 1.1–1.2 (higher) |
End of internal multi-component syntagma | 61.6 | 1.1–1.6 |
Inside the single-component syntagma | 72.2 | 1.1–1.5 for a pair of stressed–pretonic syllables 1.1–1.7 for a pair of stressed–post-tonic syllables |
Inside the multi-component syntagma | 58.3 | 1.1–1.5 |
End of final single-component syntagma | 58.3 | 1.1–1.6 |
End of final multi-component syntagma | 83.3 | 1.1–1.2 |
End of internal single-component syntagma | 9.2 | 1 (equal) |
End of internal multi-component syntagma | 11.6 | 1 |
Inside the single-component syntagma | 16.4 | 1 |
Inside the multi-component syntagma | 16.6 | 1 |
End of final syntagma | 41.6 | 1 |
End of final multi-component syntagma | 16.6 | 1 |
End of internal single-component syntagma | 29.6 | 0.7–0.9 (lower) |
End of internal multi-component syntagma | 26.6 | 0.8 |
Inside the single-component syntagma | 11.1 | 0.8–0.9 for a pair of stressed–pretonic syllables 0.4–0.9 for a pair of stressed–post-tonic syllables |
Inside the multi-component syntagma | 25 | 0.8–0.9 |
End of final syntagma | 0 (none) |
|
Cases where the intensity of the stressed syllable is lower or equal to the intensity of the unstressed one are mostly explained by the phenomenon of initial intensity, as well as by the quality of vowels and individual speech characteristics (Khaskashev 1983: 56–77). Pitch increase in the stressed syllable is observed both at the end of single- and multi-component syntagmas, regardless of whether it belongs to the ascending or descending branch (Khaskashev 1972: 15–16). The pitch of the stressed vowel as compared to the unstressed one can be as follows (see Table 3).
The presence of the unstressed postposition -ro and the ezāfe marker -i changes the pitch ratio of the stressed and unstressed vowels (Khaskashev 1983: 88–98). Thus, with a regular increase in pitch frequency in the stressed syllable at the end of the internal syntagma and inside the syntagma, in the final syllable of the sentence, regardless of its stress, a drop in pitch is observed. However, it is impossible to speak about the complete neutralization of the acoustic characteristics of the stressed syllable at the end of the sentence in Tajik, as a result of which one could freely omit the stress in this position as a phonologically insignificant phenomenon.
The data on the frequency of marking the stressed syllable by various factors (Khaskashev 1983) correlate with an earlier study (Khaskashev 1972: 12–16). In this regard, the pitch increase appears to be the most robust feature and may not be highlighted only in the final syntagma, which is then compensated by the intensity rise (Khaskashev 1972: 20, Khaskashev 1983: 114–116, 125–126). As a whole, the results of Khaskashev’s investigations are represented in somewhat unusual form, which was characteristic of the Leningrad school at that time. They did not use ANOVA analysis to prove the significance of found tendencies. The only conclusions that one can consider reliable are those concerning the tonal character of Tajik stress observed in 98%–100% cases (see Table 3).
Table 3. Comparison of the pitch of the stressed and unstressed syllables in Tajik
Position | Percentage of cases | Ratio |
End of internal single-component syntagma | 100 | 1.2–1.5 (higher) |
End of internal multi-component syntagma | 100 | 1.2–1.7 in the ascending branch 2.1 in the descending branch |
Inside the single-component syntagma | 98 | 1.2–1.5 for a pair of stressed–pretonic syllables |
Inside the single-component syntagma | 100 | 1.2–1.5 for a pair of stressed–post-tonic syllables |
Inside the multi-component syntagma | most | 1.1–1.3 |
End of final single-component syntagma | 6.7 | slightly higher |
End of final single-component syntagma | 25 | 1 (equal) |
End of final multi-component syntagma | 23.3 | 1 |
Inside the single-component syntagma | 2 | slightly lower |
End of final single-component syntagma | 75 | 0.6–0.9 |
End of final multi-component syntagma | 70 | 0.7–0.9 |
Nevertheless, it should be noted that the results of modern acoustic studies on Tajik prosody have not yet been published, either directly confirming or denying this thesis.
5.3. Persian
Chronologically speaking, in the 1940s Sokolova began to study Persian speech instrumentally and from the 1950s in Leningrad she authored and/or co-authored a set of articles on parameters of Persian speech, as well as a number of books about the phonetics of the Iranian languages published in the early 1960s (Sokolova et al. 1952). As a result of this research, she came to the conclusion that the contrast between long vowels and short vowels cannot be observed in any phonetical context. In many phonetic positions, the difference in duration between them is insignificant; or even in some cases short vowels sound lengthier than the long ones. In the meantime, in preaccented open syllables the short vowels are always shorter than the long ones. Thus, instead of the long / short contrast between the vowels she proposed a stable / unstable contrast. This kind of contrast fully depends on the place of the stress. Historically, long vowels became stable vowels, and former short vowels became unstable ones. This statement grew so popular in the Soviet Union that all the Soviet Iranianists began discovering stable / unstable vowels in other Iranian languages with an exception of Dari, because Ostrovsky (1994: 5) who described Dari vowels adhered to the traditional view and wouldn’t accept the neoteric trend easily. At the same time in Iran and in the West, as far as we know, nobody used the concept of stable / unstable vowels at all.
Ivanov16 rechecked the data obtained by Sokolova using quite diverse equipment with different native speakers. Still, her figures were found very accurate, with the new values being slightly different (by a few percent). In Ivanov’s investigation it was declared that the old long / short contrast in vowels (not stable / unstable ones) is more logical for the description of the Iranian languages. And after that many Russian Iranianists returned to the old style of description.
The well-known Iranian linguist Natel Khanlari (1958) carried out the very first and still very important instrumental investigation on Persian word stress. He conducted his experimental study of Persian word stress in a phonetic laboratory in Paris (France). It was found that the stressed syllable is characterized by an increase in pitch frequency (F0) by about 3.9 semitones or approximately 22.6%. In his research published in Persian he was the first to discover that the correlate of Persian stress was pitch (F0). In other words, Persian stress was qualified as tonal. Natel Khanlari does not belong to the Russian or Soviet school, but his results are mentioned here because further studies showed more or less similar data. Later the question of the characteristics of word stress in Persian became very popular in Iranian experimental studies, which is why the Russian studies are compared with the achievements of the Iranian school.
However, fourteen years later Mamedova17, aware of Natel Khanlari’s opinion, came, to a different conclusion that the main feature of the stressed syllable in Persian is its intensity. Four years later, in 1976, Ivanov18 rechecked both works and saw that Natel Khanlari was right: pitch is the most important feature of Persian stress.
All the levels of Persian phonetics from segments to phrases were studied instrumentally by Polyakov, with the results published in his work “Persian phonetics” (Polyakov 1988). He found that spectrum (qualitative reduction) is irrelevant for marking the stressed syllable (ibid: 55). Three other parameters (F0, duration and intensity) can contribute to emphasizing the stressed syllable, sometimes compensating each other. Intensity is the weakest indicator of stress. In many instances, the stressed syllable had equal intensity to the unstressed one. Duration was a stronger indicator of stress, because three short vowels [a, e, o] undergo quantitative reduction in open unstressed syllables by approximately 20%. But the leading feature in marking the stressed syllable is pitch (F0). It increases by 1.5–2.5 semitones (8.7%–14.5%) in it. In that respect, Polyakov (1988: 191) agreed with Ivanov (1972).
In (Ivanov 1972, 1996) a similar increase in pitch (F0) by 3.1 semitones or 18% in the stressed syllable was found. The synthetic stimuli shown on Figure 8 and Figure 9 were used in experiments concerning Persian word stress (Ivanov 1996, Part 2, Chapter 3)19. Eight Iranian subjects took part in the experimentation. A 20 Hz increase of F0 (i.e., 13.3%) in a syllable was sufficient to move the place of the stress to this syllable (Sig<0.002). The use of more modern research methods, ANOVA and speech synthesis also made it possible to define Persian word stress as tonal.
In 2011 Sadeghi returned to the question of the correlate of Persian stress. He did not study pitch as Natel Khanlari did 53 years before, but compared duration, intensity and spectrum of the stressed and unstressed syllables and, in contrast to (Natel Khanlari 1958, Ivanov 1972, Mamedova 1972, Polyakov 1988), came to the conclusion that duration proved to be the most reliable correlate of Persian stress (Sadeghi 2011)20.
However, the experimental study by Abolhasanizadeh et al. (2012) found that pitch (F0) is a significant marker of Persian stress, with extremely small differences in duration, intensity and spectrum between stressed and unstressed syllables. These small differences in duration and spectrum practically certify that Persian vowels do not suffer any qualitative and quantitative reduction in unstressed position. The same issue was also confirmed in a later experiment (Silanteva 2022, vide infra). Based on the research data in (Abolhasanizadeh et al.2012, Sadat-Tehrani 2011), it is assumed that the tonal accent is equal to (L)+H*21, with the H-tone being taken over by the last syllable of the lexical stem and L-tone being explicitly expressed in a polysyllabic word.
In 2021 a glottographic examination of Persian word stress was conducted at the Laboratory of Experimental Phonetics of the Institute of Asian and African Studies of Moscow State University22 in order to determine the relevance between marking the stressed syllable and laryngeal movements in Persian. In the experiment, the speech of four native speakers (two men and two women) was recorded with the use of a Kay Pentax Real-Time EGG glottograph via two different channels so that microphone and glottographic signals were registered simultaneously and separately (see Figure 10) and then both analyzed with Praat speech analysis software.
Figure 10. Persian word xubi ‘benefit’ presented in a two-channel mode: intonogramme (above) and glottogramme (below)
Persian vowels were segmented and analyzed as syllable nuclei in terms of several parameters such as pitch (F0), duration, laryngeal subsonic frequency (Sub) and vertical larynx position (VLP). Speakers’ gender, stress and vowel openness were treated as independent variables. The data were processed through the SPSS package; three models of multivariate analysis were tested: the first worked with solely one independent variable – subsonic frequency (Sub), the second – with two independent variables (Sub and vowel openness), the third – with three independent variables (Sub, vowel openness and speakers’ gender). For Persian, vowel openness assessment codes based on scaling from the widest to the narrowest were applied: [ā] – [a] – [e] – [o] – [i] – [u].
The examination showed a highly significant connection between pitch (F0) and subsonic frequency of the larynx fluctuations (Sub) on the one hand and word stress on the other. The syllable nucleus duration and vertical larynx position (VLP) proved to be insignificant. In the stressed syllable F0 increased by 4.6% (Sig=0.019) which is consistent with previous studies on word stress in Persian carried out by other authors. According to the statistical analysis, 95%-confidence intervals for pitch (F0) and subsonic frequency (Sub) in stressed and unstressed syllables overlap (Figure 11), i.e., syllable nuclei which fall into the intersection area can be perceived as both stressed and unstressed.
Significance analysis of the three-factor model, where the stress, the openness of the syllable and the gender of the speaker act as a source of variation, revealed that the dependent factors of pitch (F0), absolute and relative subsonic frequency (Sub) have a highly significant connection with the speaker's gender, while duration appears insignificant. Pitch (F0) and absolute subsonic frequency (SubHz) correlate with stress, while relative frequency (Sub) and duration are insignificant. Duration, pitch and Sub are significantly or highly significantly connected with vowel openness, while SubHz parameter on the contrary turned out to be insignificant (Sig=0.311). Only one interaction of factors (Stress × Vowel openness) caused significant effects (Sig: F0<0.001; Sub=0.006; Duration<0.001; SubHz=0.013). This can be interpreted in such a way that stress affects all these syllable parameters, but in different vowels it manifests itself differently (see Figure 12). The rest of the factor’s interactions are all statistically insignificant.
Figure 11. 95%-confidence intervals for the mean values of pitch (F0) and subsonic frequency (Sub) in the stressed and unstressed syllables
Figure 12. Relative values of pitch (F0) and subsonic frequency (Sub) for the stressed and unstressed Persian vowels in %%
This study revealed the laryngeal correlate of word stress in the Persian language. Marking the stressed syllable in Persian already begins at the entrance of the articulatory apparatus. In addition to the well-known fact that in the stressed syllable the pitch increases by 3.44% or 0.59 semitones (Sig=0.019), the subsonic frequency is reduced by 3.47% or 2.65 semitones (Sig=0.015). Somewhat unexpected was the contradictory change in frequencies: the pitch increases while the subsonic frequency decreases. This explains why the values of the subsonic frequency in the stressed syllable are lower than those in the unstressed one (Figure 11). This might be due to the fact that more tense larynx muscles offer greater resistance to the air flow from the lungs and consequently slow down its movement. At the same time vertical tension of larynx muscles does not suppress frequency of the horizontal vocal cords’ vibrations (pitch).
The pilot experiment on vertical larynx movement showed the irrelevance of the VLP parameter (Sig=0.667) for marking the stressed syllable in Persian. In contrast to the pitch correlate (F0), the laryngeal correlate (Sub) is more robust. The pitch correlate in male and female speech could be found only when the relative values of the pitch parameter are used, since the pitch strongly depends on the individual characteristics of the speaker, in particular, on gender. Therefore, absolute pitch values were irrelevant for determining the stressed syllable (Sig=0.446). At the same time, the absolute values of the laryngeal correlate are suitable for detecting the stressed syllable without conversion to relative values (Sig=0.016). This suggests that subsonic frequency can be used to recognize stressed syllables in a speech stream in real time. The only inconvenience is that in order to measure the subsonic frequency a special device and a second channel for recording are required.
Results and discussion
As can be seen from the description above, speech research on different Iranian languages is quite uneven: most of the studies and very comprehensive ones focused on Persian. The others cover eleven other languages: Abyanei, Dari (Afghanistan), Gavruni (Zoroastrian Dari), Gilaki, Mazandarani, Ossetic, Pashto, Rushani, Sarikoli, Tajik, and Wakhi.
So far, the Iranian languages examined typologically can be divided into several groups according to the prominence of the type of stressed syllable nucleus:
- Tonal stress (pitch accent, based on F0) can be found in Mazandarani (Ivanov 2014), Persian (Ivanov 1972, 1996, Polyakov 1988, Silanteva 2022), and Tajik (Khaskashev 1972, 1983).
- Quantitative stress (based on duration) can be found in Dari (Ivanov 1988, 1996), Pashto (Ivanov 2001), Sarikoli (Ivanov 2008), and hypothetically, based on the data obtained by (Sokolova 1953), in Rushani.
- Dynamic stress (based on intensity) can be found in Abyanei (Ivanov 2022), Gavruni (Ivanov 2009), Gilaki (Ivanov 2015), Pashto (Asmati 1969), and Wakhi (Ivanov & Silanteva 2019) as one of the parameters of multicomponental stress.
- Spectral stress (based on vowel quality) is very rare among Iranian languages and is observed in Pashto (Ivanov 2001) as one of the components of quantitative-spectral stress.
- Multicomponental stress (a mixture of different acoustic parameters with equally high significance) is found in Abyanei (quantitative-tonal; Ivanov & Dodykhudoeva 2010, Ivanov 2011), Gavruni (quantitative-dynamic-tonal; Ivanov 2009), Gilaki (tonal-dynamic; Ivanov 2015), Pashto (quantitative-dynamic-spectral), and Wakhi (quantitative-tonal; Ivanov & Silanteva 2019).
There are different points of view on the type of Ossetic word stress; this is likely to be quantitative, but the statistical proof of it has not been found yet, so the exact stress marker has to be researched further (Bagaev 1965, Dzakhova 2010, 2014).
Persian speech of dozens of native speakers was recorded and studied. Thousands of tokens were acoustically and statistically analyzed by many researchers from different countries. Most of them agree that the main correlate of the stressed vowel is pitch (F0). The opinion of (Mamedova 1972)23 that the main feature of word stress is intensity is not proved statistically. Her results were rechecked by Ivanov24 who did not find sufficient ground for that conclusion. Her material could be interpreted in favor of tonal and quantitative stress as well. The other objection to the tonal property of Persian stress can be found in (Sadeghi 2011)25, where duration is suggested as the most reliable feature of word stress. But in this investigation, the role of duration and pitch was not compared. As the experiment with synthetic speech described in (Ivanov 1996: 46)26 shows, the 20% increase in pitch (F0) in a vowel overwhelms the quantitative factor and moves the stress to it from the syllable with any duration. Thus, pitch appears to be the most powerful criterion for marking the stressed syllable, whereas duration can be seen as a secondary feature. The results of the studies suggesting the priority of pitch seem to be well proven. Besides, new correlate of Persian word stress – subsonic frequency of the larynx fluctuations – was discovered.
In each of the other eleven languages: Abyanei, Dari (Afghanistan), Gavruni (Zoroastrian Dari), Gilaki, Mazandarani, Ossetic, Pashto, Rushani, Sarikoli, Tajik, Wakhi – the number of the native speakers that took part in the experiments and the number of analyzed tokens is much smaller. Some of the studies were carried out using minimal material or without standard statistical processing and therefore can be seen as pilot experiments. In the future, the speech of more native speakers should be recorded and analyzed, and more powerful statistical criterion like z-score should be used to recheck and prove the discovered tendencies.
Conclusion
There is a widespread opinion on the Internet27 that there are 87 Iranian languages and dialects. At the same time, the dictionary (Kalbasi 2009: 10) contains samples of texts from 155 different Iranian languages and dialects, existing in Iran only. In this article, only 12 of them were described from the point of view of experimental studies of word stress. Most Iranian languages and dialects are still to be studied.
The analysis shows that all the main stress types are present in the Iranian languages. It is worth mentioning that some genealogically related languages are characterized by different acoustic parameters. A question may arise: why genealogically close languages have different kinds of word stress? Our suggestion is that people in different areas had different kinds of bilingualism. For instance, Persian, Tajik and Dari in Afghanistan are very close to each other. Still Persian and Tajik have tonal word stress, while Dari's stress is quantitative. The explanation can be as follows: Iranians’ and Tajiks’ second mother tongue is usually one of the Turkic languages, while the majority of the Afghans are notable for Dari-Pashto bilingualism (stress in Pashto is quantitative-spectral). But this idea also requires further investigation on a greater number of languages. Despite some limitations, the results could be used in automated transcription and speech recognition services.
1 BSE (Bol'shaya Sovetskaya Entsiklopedia) [Great Soviet Encyclopedia]. Moscow: Sovetskaya Entsiklopedia. Retrieved from https://slovar.cc/enc/bse/2051261.html
2 The results were presented at Lomonosovskie Chteniya Conference 2013. See Ivanov, Vladimir B. 2013. Glasnye i mnogokomponentnoe udarenie yazyka burushaski [Vowels and multicomponental word stress in Burushaski]. Lomonosovskie Chteniya. Vostokovedenie: Tezisy Dokladov Nauchnoi Konferentsii. Moscow: Klyuch-C. 76–78.
3 For more detail see Asmati, Sharifa. 1969. Slovesnoe Udarenie v Yazyke Pashto [Word Stress in Pashto]. Ph.D. thesis. Moscow State University, Institute of Asian and African Studies. 102–105.
4 The results were presented at Lomonosovskie Chteniya Conference 2008. See Ivanov, Vladimir B. 2008. Kvantitativnoe udarenie v sarykol'skom yazyke [Quantitative word stress in Sarikoli]. Lomonosovskie Chteniya. Vostokovedenie: Nauchnaya Konferentsiya. Tezisy Dokladov. Moscow: IAAS MSU, Gumanitarii. 205–207.
5 The results were presented at Lomonosovskie Chteniya Conference 2019. See Ivanov, Vladimir B. 2019. Glasnye v rechi vakhantsev Pakistana, Tadzhikistana i Kitaya [Vowels in the speech of Wakhis in Pakistan, Tajikistan and China]. Lomonosovskie Chteniya. Vostokovedenie i Afrikanistika: Tezisy Dokladov Nauchnoi Konferentsii. Moscow: Klyuch-C. 108–110.
6 For more details see footnote 5.
7 For more detail see footnote 2.
8 The results were presented at The First International Conference on Iran’s Desert Area Dialects. See Ivanov, Vladimir B. & Leyli R. Dodykhudoeva. 2010. Prosody of the Abyānei language. The First International Conference on Iran’s Desert Area Dialects. December 1-2, 2010. Semnan University Press. 28–29.
9 Some of the results were presented at Lomonosovskie Chteniya Conference 2022. See Ivanov, Vladimir B. 2022. Prosodiya v yazyke abianei (Iran) [Prosody in Abyanei (Iran)]. Lomonosovskie Chteniya. Vostokovedenie i Afrikanistika: Materialy Nauchnoi Konferentsii. Moscow: ISAA MSU. 242–244.
10 The results were presented at the III International Conference on Field Linguistics. See Ivanov, Vladimir B. 2009. Izuchenie udareniya v yazyke gyavruni [The study of Gyavruni stress].
III Mezhdunarodnaya konferentsiya po polevoi lingvistike. Moscow: Institute of Linguistics RAS, Tezaurus. 76–81.
11 The results were presented at Lomonosovskie Chteniya Conference 2014. See Ivanov,
Vladimir B. 2014. Mazanderanskaya prosodiya [Mazandarani prosody]. Lomonosovskie Chteniya. Vostokovedenie: Tezisy Dokladov Nauchnoi Konferentsii. Moscow: Klyuch-C. 103–105.
12 The results of the study were presented at Lomonosovskie Chteniya Conference 2015. See Ivanov, Vladimir B. 2015. Gilyakskaya prosodiya [Gilyaki prosody]. Lomonosovskie Chteniya. Vostokovedenie: Tezisy Dokladov Nauchnoi Konferentsii. Moscow: Moscow University
Press. 86–87.
13 For more detail see Ivanov, Vladimir B. 1996. Vokalizm i Prosodika v Persidskom Yazyke i Dari [Vocalism and prosody in Persian and Dari]. Abstract of PhD thesis. Moscow: Institute of Linguistics RAS. P. 220.
14 See footnote 13.
15 For more detail see Khaskashev, Talbak N. 1972. Foneticheskaya Priroda Slovesnogo Udareniya v Sovremennom Tadzhikskom Literaturnom Yazyke (Eksperimental'no-foneticheskoe Issledovanie) [Phonetic Nature of Word Stress in Modern Tajik Literary Language (The Experimental Phonetic Study)]. Abstract of Ph.D. thesis. Leninrgad: LSU.
16 See footnote 13.
17 For more detail see Mamedova, Asmat B. 1972. Foneticheskaya Priroda i Mesto Slovesnogo Udareniya v Sovremennom Persidskom Yazyke (V Svete Eksperimental'nykh Dannykh) [Phonetic Nature and Place of Word Stress in Modern Persian (In the Light of Experimental Data)]. Baku: AzSU.
18 Ivanov, Vladimir B. 1976. Akusticheskie Kharakteristiki Persidskogo Slovesnogo Udareniya [Acoustic Characteristics of Persian Word Stress]. Moscow: MGIMO. 1–24.
19 See footnote 13.
20 Sadeghi, Vahid. 2011. Acoustic correlates of lexical stress in Persian. ICPhS. Hong Kong. 1738–1741.
21 Hereinafter ToBI notation is applied to the intonation: L stands for Low, i.e., low tone, H – High, i.e., high tone.
22 The results were presented at Lomonosovskie Chteniya Conference 2022. See Silanteva, Liubov G. 2022. Rezul'taty akustiko-glottograficheskogo issledovaniya persidskoi prosodii [The results of acoustic-glottographic analysis of Persian prosody]. Lomonosovskie Chteniya. Vostokovedenie i Afrikanistika: Materialy Nauchnoi Konferentsii. Moscow: ISAA MSU. 255–258.
23 See footnote 17, ibid.
24 See Ivanov, Vladimir B. 1976. Akusticheskie Kharakteristiki Persidskogo Slovesnogo Udareniya [Acoustic Characteristics of Persian Word Stress]. Abstract of PhD thesis. Moscow: MGIMO.
25 See footnote 20.
26 See footnote 13.
27 Zabān-hā-ye irāni [Iranian languages]. Wikipedia. Retrieved from https://fa.wikipedia.org/wiki/زبان%E2%80%8Cهای_ایرانی
About the authors
Vladimir B. Ivanov
Lomonosov Moscow State University
Email: iranorus@mail.ru
ORCID iD: 0000-0002-2572-9581
Doctor Habil. of Philology, Professor, Head of the Department of Iranian Philology at the Institute of Asian and African Studies of Lomonosov Moscow State University. His publications include numerous articles, authored and edited monographs, papers in conference proceedings on a wide range of issues related to Iranian languages in the field of experimental phonetics, syntax, morphology, phraseology, etc.
Moscow, RussiaLiubov G. Silanteva
Lomonosov Moscow State University
Author for correspondence.
Email: lyubovsilantieva@yandex.ru
ORCID iD: 0000-0002-5689-2058
postgraduate student and Assistant Professor of the Department of Iranian Philology at the Institute of Asian and African Studies of Lomonosov Moscow State University. Her research interests embrace Iranian languages, experimental phonetics (especially prosody, stress and accent with the use of electroglottograph), sociolinguistics, language contacts, as well as theory and practice of teaching foreign languages
Moscow, RussiaReferences
- Abolhasanizadeh, Vahideh, Mahmood Bijankhan & Carlos Gussenhoven. 2012. The Persian pitch accent and its retention after the focus. Lingua 122 (13). 1380-1394. https://doi.org/10.1016/j.lingua.2012.06.002
- Bagaev, Nikolay K. 1965. Sovremennyi Osetinskii Yazyk. Chast' I (fonetika i morfologiya) [Modern Ossetian. Part I (Phonetics and Morphology)]. Ordzhonikidze: Severo-osetinskoe knizhnoe izdatel'stvo. (In Russ.).
- Bolinger, Dwight L. 1958. A theory of pitch accent in English. Word 14, 2-3. 109-149. https://doi.org/10.1080/00437956.1958.11659660
- Dzakhova, Veronika T. 2010. Ob osetinskom udarenii [About Ossetian stress]. Vestnik RGGU. Literaturovedenie. Yazykoznanie. Kul'turologiya 9 (52)/12. 9-26. (In Russ.).
- Dzakhova, Veronika T. 2014. Realizatsiya slovesnogo udareniya vo fraze (na materiale analiza prostykh povestvovatel'nykh predlozhenii osetinskogo yazyka) [Implementation of word stress in a phrase (based on the analysis of simple declarative sentences in the Ossetian language)]. Vestnik KalmGU 4 (24). 31-40. (In Russ.).
- Grünberg, Alexander L. & Ivan M. Steblin-Kamenskii. 1976. Vakhanskii yazyk. Teksty. Slovar'. Grammaticheskii ocherk [The Wakhi language. Texts. Vocabulary. Grammar essay]. Moscow: Glavnaya redaktsiya vostochnoi literatury. (In Russ.).
- Ivanov, Vladimir B. 1972. O persidskom slovesnom udarenii (Opyt eksperimental'nogo issledovaniya) [About Persian word stress (Experimental research experience)]. Vestnik Moskovskogo universiteta. Seriya 13. Vostokovedenie 2. 83-91. (In Russ.).
- Ivanov, Vladimir B. 1988. Udarenie v dari (etap analiza) [Dari stress (analysis stage)]. Aktual'nye problemy stroya iranskikh yazykov. Moscow: MSU. 27-41. (In Russ.).
- Ivanov, Vladimir B. 2001. Prosodic reduction of vowels in Pashto. Issledovaniya po iranskoi filologii 3. Moscow: Moscow State University, Department of Iranian Philology. 5-17. (In Russ.).
- Ivanov, Vladimir B. 2011. Udarenie v yazyke seleniya Abiane [Stress in the language of Abyane village]. Leksika. Etimologiya. Yazykovye Kontakty. K Yubileyu Doktora Filologicheskikh Nauk, Professora Dzhoi Iosifovny Edel'man. Moscow: Institute of Linguistics RAS, Thesaurus. 176-182. (In Russ.).
- Ivanov, Vladimir B. 2012. Sintez prosodicheskikh modelei v yazyke dari [Synthesis of Prosodic Models in Dari]. Rechevye tekhnologii. Moscow: Narodnoe obrazovanie. 29-45. (In Russ.).
- Ivanov, Vladimir B. & Liubov G. Silanteva. 2019. Akustiko-glottograficheskii analiz vakhanskogo udareniya [Acoustic-glottographic analysis of Wakhi stress]. Mir Nauki, Kul'tury, Obrazovaniya 6 (79). Gorno-Altaisk. 525-527. https://doi.org/10.24411/1991-5497-2019-10224 (In Russ.).
- Kalbasi, Iran. 2009. A Descriptive Dictionary of Linguistic Varieties in Iran. Tehran, Institute for Humanities and cultural studies. 1-893.
- Khaskashev, Talbak N. 1983. Foneticheskaya Priroda Slovesnogo Udareniya v Sovremennom Tadzhikskom Literaturnom Yazyke [Phonetic Nature of Word Stress in Modern Tajik Literary Language]. Dushanbe, Donish. (In Russ.).
- Khaskashev, Talbak N. 2001. Stanovlenie i razvitie normy tadzhikskogo literaturnogo proiznoshenia [Formation and development of Tajik literary pronunciation]. Dushanbe, Irfon. 1-407. (In Russ.).
- Ladefoged, Peter & Ian Maddieson. 1996. The Sounds of the World's Languages. Oxford & Cambridge, MA: Blackwell Publishers Inc.
- Lecoq, Pierre. 1974. Le dialecte d'Abyāne [Abyanei dialect]. Studia Iranica 3. Paris: Association pour l’avancement des études iraniennes. 51-63. (In Fr.).
- Natel Khanlari, Parviz. 1958. [The Metrics of Persian Poetry]. Tehran. دكتر پرويز ناتل خانلری. وزن شعر فارسی. چاپخانه دانشگاه، تهران، ١٣٣٧ (In Pers.)
- Ostrovski, Boris Y. 1994. Uchebnik yazyka dari. Chast' I [Manual of Dari language. Part I]. Moscow, Nauka. 1-372. (In Russ.).
- Pakhalina, Tatyana N. & Bogsho B. Lashkarbekov. 2000. Vakhanskii yazyk [The Wakhi language]. Yazyki Mira: Iranskie Yazyki. 3. Vostochnoiranskie Yazyki. Moscow: Indrik. 174-186. (In Russ.).
- Polyakov, Konstantin I. 1988. Persidskaya Fonetika. Opyt Sistemnogo Issledovaniya [Persian Phonetics. System Research Experience]. Moscow: Nauka, Glavnaya redaktsiya vostochnoy literatury. (In Russ.).
- Rastorgueva, Vera S. 1999a. Mazanderanskii yazyk [The Mazandarani language]. Yazyki Mira: Iranskie Yazyki. 2. Severo-zapadnye Iranskie Yazyki. Moscow: Indrik. 125-135. (In Russ.).
- Rastorgueva, Vera S. 1999b. Gilyanskii yazyk [The Gilaki language]. Yazyki Mira: Iranskie Yazyki. 2. Severo-zapadnye Iranskie Yazyki. Moscow: Indrik. 112-125. (In Russ.).
- Rastorgueva, Vera S., Aza A. Kerimova, Ahmed K. Mamedzade, Lija A. Pireiko & Dzhoi I. Edel’man. 1971. Gilyanskii Yazyk. [The Gilaki Language]. Moscow: Nauka. 1-321. (In Russ.).
- Rastorgueva, Vera S., Aza A. Kerimova, Ahmed K. Mamedzade, Lija A. Pireiko & Dzhoi I. Edel’man. 2012. The Gilaki Language. English translation editing and expanded content by Ronald M. Lockwood. Uppsala: Acta Universitatis Upsaliensis. ISBN 978-91-554-8419-4.
- Reformatskii, Aleksandr A. 2001. Vvedenie v yazykovedenie [Introduction to linguistics]. Moscow: Aspect Press. 1-536. (In Russ.).
- Roach, Peter. 2002. English Phonetics and Phonology. A Practical Course. Cambridge University Press. 1-283.
- Sadat-Tehrani, Nima. 2011. The intonation patterns of interrogatives in Persian. Linguistic Discovery 9 (1). 105-136. https://doi.org/10.1349/PS1.1537-0852.A.389
- Sokolova, Valentina S. 1953. Ocherki po Fonetike Iranskikh Yazykov: Osetinskii, Yagnobskii, Pamirskie Yazyki [Essays on Phonetics of the Iranian Languages: Ossetian, Yaghnobi, Pamir Languages]. Moscow, Leningrad. (In Russ.).
- Sokolova, Valentina S., Rozaliya L. Nemenova, Yuliya I. Bogorad, Vladimir A. Livshits & A. I. Farkhadyan. 1952. Novye svedeniya po fonetike iranskikh yazykov [New Data on Phonetics of the Iranian Languages]. Trudy Instituta yazykoznaniya 1. Moscow. (In Russ.).
- Zinder, Lev R. 1979. Obshchaya Fonetika [General Phonetics]. Moscow, Vysshaya shkola. (In Russ.).
- BSE (Bol'shaya Sovetskaya Entsiklopedia) [Great Soviet Encyclopedia]. Moscow: Sovetskaya Entsiklopedia. Retrieved from https://slovar.cc/enc/bse/2051261.html
- Zabān-hā-ye irāni [Iranian languages]. Wikipedia. Retrieved from https://fa.wikipedia.org/wiki/زبان%E2%80%8Cهای_ایرانی
Supplementary files






















