Evaluation Stance in Expository Dialogue: a Cognitive Semiotic Perspective
- Authors: Kiose M.I.1,2, Prokofieva O.N.1, Smirnova E.E.1
-
Affiliations:
- Moscow State Linguistic University
- Institute of Linguistics RAS
- Issue: Vol 16, No 4 (2025): ON THE 100TH ANNIVERSARY OF THE KYRGYZ NATIONAL UNIVERSITY NAMED AFTER JUSUP BALASAGYN
- Pages: 1205-1224
- Section: LANGUAGE THEORY
- URL: https://journals.rudn.ru/semiotics-semantics/article/view/48563
- DOI: https://doi.org/10.22363/2313-2299-2025-16-4-1205-1224
- EDN: https://elibrary.ru/NHFCEL
- ID: 48563
Cite item
Full Text
Abstract
Multiple studies are known to have focused on the category of evaluation by analysing words and expressions in context, nevertheless, the subject needs further exploration on the scale of discourse, where the latter can possess evaluation stance of the interlocutors towards a certain communicative situation. The present research elaborates a cognitive semiotic approach to evaluation stance in discourse. The research material encompasses 171 minutes of expository dialogues; therein 5883 clauses are singled out and subjected to the analysis of evaluation stance, and conclusions on its manifestation and individual variation are formulated. We hypothesise that individual variation in evaluation stance can be described within a cognitive semiotic framework of three dimensions, namely, the ontological (object and subject of evaluation), epistemic (value, degree, and intensity of evaluation), and linguistic (language level of manifestation: lexical, syntactical, and morphological). To prove the hypothesis, we adhere to the methods of experimental discourse analysis by recording and annotating spontaneous dialogues and cognitive semiotic framework by studying the representation of evaluation stance in the three dimensions mentioned above. The results show that the ontological dimension is characterized by the prevalence of the evaluation of a situation as its object without an explicit manifestation of its subject. The epistemic dimension demonstrated the predominance of negative evaluation without intensity markers and with frequent specific evaluation. The linguistic dimension reveals the ultimate majority of cases manifested in the lexical meaning. Individual variation is mostly evident when one regards the object (object/subject), value (positive), degree (general), intensity (present), and language level (syntactical) of evaluation. The results obtained serve as a background for the upcoming research of evaluation stance in natural communication and discourse of different types conducted within the cognitive semiotic framework.
Keywords
Full Text
Введение
Проблема формирования оценочных значений является одной из центральных в целом ряде научных дисциплин, что обусловлено особым статусом оценки, определяемым как характеристиками внешней среды, так и позиционированием самого человека: как указывает Н.Д. Арутюнова, «аксиологические концепты (ценности) в одно и то же время зависят от внешнего мира и независимы от него» [1. С. 57].
В лингвокогнитивных работах выделены разные типы оценок, описаны характеристики объектов, свойств и событий, подвергающихся оценке, систематизированы языковые средства оценки, иначе — реализация данной категории устанавливается в нескольких измерениях — онтологическом, эпистемологическом и семиотическом [2; 3]. При этом слабо изучены особенности реализации оценки в диалоге, где человек ориентирован на восприятие и обработку поступающих извне (от другого коммуниканта) данных, «встраивая их в собственную нишу» [4. С. 994], и где формирование оценки будет демонстрировать характеристики, определяемые позиционированием человека в дискурсивной ситуации [6–9], например, при ее совместном конструировании и варьировании эмоционального состояния [10–14]. В настоящем исследовании предпринята попытка установить закономерности в реализации оценочного позиционирования в диалоге с учетом индивидуального варьирования.
Теоретические основания исследования. Когнитивно-семиотические измерения оценки
Позиционирование как дискурсивный феномен описывает такие явления, как формирование оценки в отношении объектов ситуации, установление социальных ролей участников и особенностей репрезентации ими объектов ситуации, структурирование общей позиции участников с учетом влияния социокультурных характеристик ситуации [12. С. 139; 13]. Оценочному позиционированию при этом отведена особая роль: так, исследователи указывают на значимость разграничений субъектов и объектов оценки [11; 12], на возможность разграничения оценочных мнений, отношений и суждений [14], что предполагает использование ряда языковых средств — оценочных прилагательных, глаголов и наречий с семантикой эмоционального восприятия и эмоциональной оценки, метонимических и метафорических выражений, фразеологических выражений [15–16].
В когнитивно-семиотических исследованиях конструирование знания, в т.ч. оценочного, рассматривается в аспекте его системной организации. При этом акцент делается на роли телесного (воплощенного) познания и характеристик среды, которые получают выражение в семантике языковых знаков [17]. А. Дамацио отмечает, что процесс конструирования предполагает концептуализацию как собственного состояния, так и свойств внешней среды [18. C. 70], что особенно заметно в диалоге [19]. В этом смысле структура знания может быть представлена в совокупности трех измерений, описывающих 1) онтологические характеристики среды, 2) эпистемологические особенности интерпретации характеристик, 3) лингвистические особенности конструирования полученного знания. На возможность анализа конструирования в рамках данных измерений указывается в работах и многих отечественных исследователей. Так, в работах Е.С. Кубряковой разграничиваются три аспекта изучения категорий: когнитивный, описывающий концептуальные характеристики категории; семиотический, определяющий ее референтные свойства; и лингвистический, реализующийся в специфике соотношения языковой формы категории с фиксированным содержанием [2]; сходные замечания о природе конструирования находим в других работах [20–22]. Применительно к оценочному позиционированию реализация оценки в рамках трех указанных измерений нашла отражение в работах Н.Д. Арутюновой [1], где с опорой на учение Г.Х. фон Вригта разграничиваются положительная и отрицательная оценки, общая и частные оценки, разные объекты оценки, устанавливаются языковые средства ее реализации, например, общеоценочные и частнооценочные прилагательные, оценочные предикаты, синтаксические конструкции с семантикой каузальных и интерпретирующих отношений. В последующих исследованиях эти характеристики получают детализацию: например, И.М. Кобозевой установлено, что наречия общей оценки имеют больше синтаксических функций, чем наречия частной оценки [23], Е.М. Вольф показано, что оценка может быть выражена с разной степенью категоричности, или интенсивности, наиболее часто проявляясь в наименовании предметов и действий, может иметь контекстуальный характер в выражениях с модальными словами [24]. В работах Т.В. Маркеловой продемонстрировано, что оценка может относиться к самому объекту, к условиям и характеристикам коммуникации, к эмоциональному состоянию говорящего [25]. В настоящем исследовании мы рассматриваем перечисленные характеристики в рамках трех когнитивно-семиотических измерений для комплексного изучения оценочного позиционирования в диалоге (рис. 1).
Так, онтологическое измерение оценки предполагает конструирование объекта оценки, а именно собственно объектов/субъектов и ситуаций, реализующих значения процессуальности (процесса, действия и изменения состояния, состояния и отношения) [1], а также субъекта оценки (эксплицированного или имплицитного), в роли которого в диалоге могут выступать говорящий и активный слушатель. Эпистемологическое измерение оценки описывает ее характер (положительная и отрицательная), объем (общая и частная), интенсивность (оценка без и с указанием на степень ее интенсивности). Лингвистическое измерение оценки предполагает анализ особенностей репрезентации оценки в рамках лексического значения слов, контекстуально-обусловленной оценки, определяемой только в составе структуры высказывания (зд. условно – на синтаксическом уровне), и оценки, обусловленной ролью морфем с семантикой отрицания.
Рис. 1. Когнитивно-семиотическая модель оценочного позиционирования в диалоге
Источник: соcтавлено М.И. Киосе, О.Н. Прокофьевой, Е.Е. Смирновой.
Figure 1. Cognitive-semiotic model of evaluation positioning in dialogue
Source: compiled by Maria I. Kiose, Olga N. Prokofieva, Evgeniya E. Smirnova.
При том, что основная гипотеза работы заключается в том, что реализация оценочного позиционирования определяется характеристиками трех когнитивно-семиотических измерений, сформулируем и ряд частных гипотез. Как показано в ряде исследований, в экспозиторном дискурсе, в отличие от дескриптивного [26; 27], говорящие часто поясняют свою позицию с опорой на коммуникативную ситуацию, а не на характеристики объектов, что позволяет предположить, что в экспозиторном диалоге будет превалировать оценка ситуации, а не объекта/субъекта. Также в работах установлено, что отрицательная оценка демонстрирует бóльшую дифференциацию значений [24], в связи с чем мы полагаем, что она будет проявляться чаще. Бóльшая дифференциация отмечается и в отношении объема частной оценки [1], что указывает на возможное превалирование случаев частной оценки над общей.
Процедурные основания когнитивно-семиотического изучения оценки
Материалом исследования являются записи спонтанных экспозиторных диалогов взрослых носителей русского языка (20 человек: 5 мужчин и 15 женщин), отвечающих на фиксированный список вопросов по теме «Искусственный интеллект» после просмотра стимульного ролика в рамках той же тематики. Общая продолжительность всех диалогов составила 171 минуту в диапазоне от 14 минут 21 секунды до 21 минуты 19 секунд. Общее количество клауз (элементарных дискурсивных единиц, ЭДЕ) составило 5883 (от 157 до 492 ЭДЕ). ЭДЕ были далее аннотированы с участием четырех кодировщиков на предмет реализации четырех типов позиционирования (эпистемического, оценочного, позиционирования релевантности и интерсубъективности). Из их числа случаи оценочного позиционирования были обнаружены в 637 ЭДЕ; диапазон их варьирования в речи участников составляет от 11 до 67 ЭДЕ. В среднем оценка встречается в 11 % ЭДЕ от общего аннотируемого корпуса. Аннотирование проведено с применением программы ELAN1.
Представим процедуру анализа. На первом этапе речь участников транскрибировалась при помощи автоматического распознавания, редактировалась и разделялась на ЭДЕ на основе предикативных и просодических характеристик (слои EDU_L и EDU_R для левого и правого говорящего). На втором этапе все характеристики позиционирования размечались на слое Stance, также добавлялась аннотация на зависимом от него слое Ev (рис. 2).
Рис. 2. Пример аннотирования оценочного позиционирования
Источник: фотографии из архива М.И. Киосе, О.Н. Прокофьевой, Е.Е. Смирновой. Перед съемками участники подписали форму согласия
Figure 2. Example of Annotation for Evaluation Positioning
Source: photos from the archiveof Maria I. Kiose, Olga N. Prokofieva, & Evgeniya E. Smirnova. Prior to filming the participants signed the consent form.
В дальнейшем оценочное позиционирование подвергалось анализу на предмет характера оценки (слой Ev1), интенсивности оценки (Ev2) и типа частной оценки (Ev3). На третьем этапе каждая ЭДЕ была подвергнута анализу в рамках (а) онтологического измерения (выделен субъект и объект оценки), (б) эпистемологического (положительная/отрицательная, общая/ частная, интенсивность выражена/не выражена), (в) лингвистического (языковой уровень реализации оценки) измерения. Полученные количественные данные были подвергнуты статистической обработке с учетом общего количества ЭДЕ с оценкой (637 ЭДЕ).
Результаты исследования
Характеристики когнитивно-семиотических измерений оценки
Как показал предварительный анализ материала, онтологическая характеристика субъекта оценки может быть не выражена, как в проще обвинить искусственный интеллект, или выражена с помощью маркеров первого или второго лица, например, в то буду виновата. Эпистемологические характеристики объема оценки также определяются на основании маркеров, как в что напрямую все же не уничтожат, где оценка определяется как общая, или в а наоборот злиться на условного судью, где оценка частная (эмоциональная). Интенсивность оценки обнаруживается в присутствии маркеров типа полностью, немножко, очень, никогда, совсем и др., а также в семантике слов, демонстрирующих крайне высокую и крайне низкую степень проявления оценки типа ненавижу, паранойя. Лингвистические характеристики проявляются в реализации оценочного значения как сигнификативного или коннотативного у слова, например, в халатность, дружить, винить, насилие, ошибки, нравится и др.; как значения, устанавливающегося в синтаксическом контексте ситуации, как в кто дал машине слишком большую ответственность или как-то смогут его до этого довести; как морфологического значения отрицания в частицах и приставках не(-), например, в особо никого не волнует, ну это же...это же несовершенный механизм. При этом установление двух характеристик — объекта оценки и характера оценки — потребовало разработки методики, учитывающей их особые проявления в устном экспозиторном диалоге.
Так, как указывает Н.Д. Арутюнова, оценка может осуществляться как применительно к некоторому «потребительскому классу» объектов [1. С. 55], так и к «компаративному классу объектов» [1], например, «обладание (приобретение), времяпровождение, виды занятий (профессиональных и «свободных»), режимы жизни, удовлетворение естественных потребностей и желаний, жизненные цели и др.» [1. С. 56]. Во втором случае оценка производится в отношении не единичных объектов/субъектов, а ситуаций или событий, в которые «предмет входит в своем «миропорождающем» (ситуативном) аспекте» [1. С. 56]. Соответственно, оценка может определяться как в отношении некоторого класса или категории, характеристики объекта, означенного отдельным словом в ЭДЕ, как в человек злится, которые несовершенны, как делать промпт правильно, так и в отношении ситуации, выраженной целой ЭДЕ или ее фрагментом, как в и все пойдет через одно место, или не учел какие-то условия, в которых что-то могло пойти не так. Объектом оценки в первом случае становятся характеристики предметов, действий, отношений, а во втором — вся ситуация, которая описывает функционирование предмета или его изменение. В этом смысле особый интерес представляют примеры, в которых присутствуют маркеры оценки разного характера, что создает потенциальный «конфликт оценок», или коммуникативную ситуацию, в которой формирование оценочного позиционирования может определяться разнонаправленными оценками. Для решения вопроса о характере ведущей оценки — положительной или отрицательной — представляется возможным опираться на коммуникативную роль оценочного слова или выражения. Так, в ЭДЕ вот это развитие технологий подавляет творческий потенциал человека присутствуют оценки двух типов — положительная в потенциал и отрицательная в рамках ситуации. В связи с тем, что коммуникативный и акцентный фокус высказывания определяется в слове подавляет, ведущей оценкой является отрицательная.
Как мы указали выше, в качестве объектов оценки рассматриваются объекты/субъекты и ситуации. Если речь идет о случаях использования 1) существительных с прилагательными, не демонстрирующими семантику предикативности, в группе подлежащего, где группа сказуемого выражена предикатом с семантикой локализации или обладания, как в а там есть скользкая вещь, 2) прилагательных вне или в составе номинативной группы, которые используются в группе сказуемого с предикатом с семантикой локализации или обладания, как в может они просто ленивые, у меня такая тупая колонка, то оценка в большей степени распространяется только на сам объект/субъект. На то, что оценка скорее ограничивается объектом, указывает ее нахождение 1) в группе подлежащего, выраженного именем существительным с прилагательным, как в прошел экзистенциальный кризис какой-то, 2) в косвенном дополнении, как в говорила про нашу любимую группу, 3) в составе составного именного сказуемого в существительном, не демонстрирующем семантику предикативности, как в человек тот еще паразит, 4) в составе составного именного сказуемого, выраженного группой существительного с прилагательным, как в мы как вид очень на самом деле гадкая вещь. Если речь идет о ситуации, где оценка выражена 1) в самом глагольном предикате, как в что ИИ уничтожает человечество в если там ты врежешься или в там что-то недорассчитать, 2) в номинативном предложении с существительным с семантикой предикативности, например, в ментальная деградация, 3) в группе сказуемого, выраженной глаголом с обстоятельством образа действия, как в прикольно думать, все равно... более правильно сказать, или 4) в составе устойчивого идиоматического выражения, как в поедет крыша, то оценка скорее распространяется на всю ситуацию.
Все остальные случаи можно рассматривать как «промежуточные», где оценка объекта может с большей или меньшей вероятностью переходить на ситуацию. На это указывают такие проявления, как ее нахождение 1) в группе подлежащего, демонстрирующего семантику предикативности, как в что вина за такое...ну за такие ситуации или что какая-то угроза все-таки есть, 2) в прямом или непрямом дополнении при предикате с семантикой процесса, действия, состояния, отношения, как в что они создали несовершенную машину, материал дали неправильный, 3) в составе составного именного сказуемого в существительном или прилагательном, демонстрирующем семантику предикативности, как в что это основная преграда или кто будет самым виноватым. При этом отметим возможность реализации нескольких случаев оценки в составе ЭДЕ, как в пугающая рука бьет меня по голове, где объектом оценки является как сам объект в пугающая рука, так и ситуация в бьет меня по голове. Таким образом, представляется возможным разграничить по меньшей мере четыре объекта оценки: 1) только объект/субъект, 2) только ситуация, 3) объект/субъект или ситуация, 4) одновременная реализация оценки в отношении объекта/субъекта и ситуации.
Распределение характеристик когнитивно-семиотических измерений оценки
В рамках онтологического измерения анализу подвергались объект и субъект оценки. Так, в материале обнаружено 103 (16,2 %) случая оценки объекта/субъекта, как в это вот просто например...вот максимально тупая аналогия, дура, в плане цифр техника наверно лучше. В качестве объекта/субъекта могут выступать не только предмет и человек/существо, но и некоторая предметная сущность, демонстрирующая атрибутивные характеристики (аналогия); в некоторых случаях невозможно однозначно установить тип объекта оценки, как в что это полезно или что все нехорошо — это может относиться как к объекту/субъекту, так и к ситуации. Случаи оценки ситуации более частотные, их количество составило 279 (43,8 %). К числу примеров отнесены, например, такие, как что там...когда-нибудь уничтожится, будет бум, ты правильно сказала. Среди них — большое количество примеров с оценкой в самом предикате типа уничтожить, обвинять, пострадал, помогает, поработят, разрушилось, отрубилось, понравился, оскорбят и др. Как видно, речь в них идет, в основном, о реализации отрицательной оценки. Во многих случаях оценочное значение передается обстоятельством образа действия, как в он не может ничего решить хорошенько, ну если ты наобум делаешь, что он как-то злобно встает. Количество случаев оценки объекта / субъекта или ситуации (смешанный тип объекта оценки) составило 226 (35,5 %). Среди них частотны примеры реализации оценочного значения в именном компоненте, демонстрирующем семантику предикативности, как в здесь снова что есть ошибка на самом деле, это когда у тебя есть любая подпорка, с точки зрения вымирания как вида биологического, что какая-то угроза все-таки есть. В ходе анализа обнаружены 29 случаев (4,6 %) одновременной оценки объекта / субъекта и ситуации, как в и как раз-таки это может привести к каким-то психическим нарушениям, где оценка реализуется как в отношении объекта (свойство сознания) и ситуации (появление этого свойства). В отношении субъекта оценки установлено, что чаще маркеры указания на него отсутствуют в ЭДЕ (519 случаев, 81,5 %); маркеры оценки перспективы говорящего обнаружены в 85 случаях (13,3 %), маркеры указания на слушающего обнаружены в 27 случаях (4,2 %). Однако, безусловно, отсутствие маркеров указания на субъект не может свидетельствовать о том, что в ЭДЕ не представлена перспектива говорящего, так как присутствие оценки уже само по себе является показателем субъективности.
В рамках эпистемологического измерения отрицательная оценка (печально, будет бум, я не сильно обижусь, это же страшно) оказалась в среднем в 3,5 раза более частотной, чем положительная (победила дружба, крутые вещи, мне нравится): в 471 (74 %) ЭДЕ обнаружены ее эксплицитно выраженные маркеры. Не менее однозначные показатели продемонстрировали интенсивность и объем оценки: 418 (66 %) ЭДЕ с эксплицитно выраженной оценкой были преимущественно лишены маркера интенсивности (учитываются маркеры высокой, средней и низкой интенсивности проявления признака, как в ну это совсем уже, лучше и я не сильно обижусь соответственно), 456 (72 %) случаев содержали частный вид оценки, психологическую — пугающая рука, видос интересный, этическую — что такое хорошо, утилитарную — это человечество уничтожило человечество, нормативную — ты какое-то конкретное лицо-то не можешь обвинить, телеологическую — ты справился, эстетическую — ИИ например может слепить там картину. Полученные результаты могут являться показателем значительной дифференциации частной оценки [24]. Общая оценка в 181 ЭДЕ представлена маркерами, которые невозможно по контексту ЭДЕ однозначно соотнести с одной из сфер выше, как например в тут наверно больше про ошибку людей, где ошибка может соотноситься как с утилитарной, этической, так и нормативной сферой, или в потому что он хороший, где есть положительная оценка, но отсутствует маркер вида и сферы оценки. Несмотря на различия в проявлениях характера, интенсивности и объема оценки, распределение последних двух типов в рамках положительной и отрицательной оценок сравнительно равномерно. Они в 71—72 % случаев носили более частный характер с выраженной сферой оценки (338 и 118 ЭДЕ соответственно). Сопоставимо и распределение примеров с маркером интенсивности, где для ЭДЕ с положительной оценкой выражение интенсивности лишь ненамного более характерно (41 % от всех «положительных» случаев), чем для отрицательной (32 % от всех «отрицательных» случаев). Так, чаще встречены такие примеры, как вот именно человеческая мысль лучше сработала (зд. средняя степень интенсивности + положительная оценка), не пошло все по наклонной (зд. высокая степень + положительная) среди «положительных» (152), чем уничтожить человечество полностью (зд. высокая степень + отрицательная) или приведет к более печальным последствиям (зд. средняя степень + отрицательная) среди «отрицательных» (67), хотя последних в целом по корпусу больше. Таким образом, показатель общей/частной оценки не связан с характером оценки, в то время как показатель интенсивности в большей степени тяготеет к положительной оценке. Характер оценки более негативный, чем позитивный, что согласуется с высказанной гипотезой и результатами исследований [24], при этом оценка чаще не сопровождается интенсификацией.
Что касается лингвистического измерения, рассмотрены проявления сигнификативного или коннотативного значения знаменательного слова (ненависть, плохо, интересный, молодец) и контекстуально обусловленного значения выражения (против чего он будет там восставать, у тебя холодеют пальцы, потому что он так насамообучался на твитах). Отдельно мы также отмечали наличие морфологических значений в частицах и приставках со значением отрицания (несовершенный, неидеальный, недосмотрели, никакой перспективы, никого не волнует). При сопоставлении показателей лексического и контекстуально обусловленного значений было обнаружено, что первый случай более частотный (350 ЭДЕ), однако разница не такая существенная (287 ЭДЕ во втором случае) и составляет в процентном выражении 9,9 % (54,95 и 45,05 % соответственно). Тем не менее, результат свидетельствует о том, что участники диалога предпочитают использовать слова и выражения, имеющие выраженное положительное или отрицательное значение. Приставки и частицы со значением отрицания присутствуют лишь в 56 ЭДЕ из 637, то есть в 8,79 % случаев, что может свидетельствовать о том, что говорящие в диалогической речи используют маркеры оценки, выраженные в рамках лексического значения слов, а не в рамках морфологического.
Проявления индивидуального варьирования в оценочном позиционировании
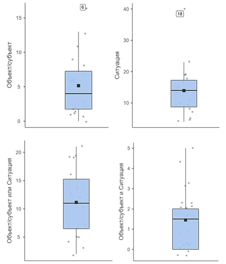
Вначале рассмотрим особенности индивидуального варьирования, проявляющиеся в онтологическом измерении оценки. На рис. 3 покажем распределение проявлений четырех типов объекта оценки.
Как показывают результаты, значительного варьирования в выборе типов объекта оценки не обнаруживается. При средних значениях для «объект/субъект» равному 5,15, для «ситуация» равному 13,9, для «объект/субъект или ситуация» равному 11,2, для «объект/субъект и ситуация» равному 1,45, можно констатировать, что для анализируемого диалогического дискурса пояснения характерно превалирование оценки ситуации. Однако отмечаем, что в оценке объекта/субъекта обнаружено различие между средним и медианным показанием (5,15 и 4), что свидетельствует о большем проявлении варьирования (рис. 4).
Рис. 3. Индивидуальные показатели распределения типов объекта оценки
Источник: соcтавлено М.И. Киосе, О.Н. Прокофьевой, Е.Е. Смирновой.
Figure 3. Individual indicators of the distribution of types of evaluation objects
Source: compiled by Maria I. Kiose, Olga N. Prokofieva, Evgeniya E. Smirnova.
Рис. 4. Средние и медианные показатели индивидуального варьирования в типе объекта оценки
Источник: соcтавлено М.И. Киосе, О.Н. Прокофьевой, Е.Е. Смирновой.
Figure 4. Average and median values of individual variation in the type of object of evaluation
Source: compiled by Maria I. Kiose, Olga N. Prokofieva, Evgeniya E. Smirnova.
Представляется интересным установить общие закономерности реализации объекта оценки. Для этого с применением кластерной процедуры определены два кластера участников, в первый из которых вошли 12 участников, во второй — 8 (рис. 5).
Рис. 5. Кластерное решение, описывающее выбор типа объекта оценки говорящими
Источник: соcтавлено М.И. Киосе, О.Н. Прокофьевой, Е.Е. Смирновой.
Figure 5. A cluster solution describing the selection of the evaluation object type by speakers
Source: compiled by Maria I. Kiose, Olga N. Prokofieva, Evgeniya E. Smirnova.
На рис. 6а и 6б показаны особенности выбора объекта оценки в каждом кластере. Как видно из результатов, участники первого кластера характеризуются бóльшим количеством только случаев оценки ситуации, а участники второго кластера — бóльшим количеством случаев оценки объекта/субъекта или ситуации. Можно предположить, что если оценка объекта/ситуации скорее характерна для описательного дискурса [26; 27], то именно степень проявления описания в дискурсе пояснения будет определять варьирование в выборе объекта оценки в индивидуальной речи. Важно отметить, что хотя наша гипотеза о превалировании оценки ситуации в целом подтвердилась, наличие высокого индивидуального варьирования в проявлении оценки объекта/события указывает на гибридный характер описательного дискурса и дискурса пояснения, степень гибридности которого может быть установлена с опорой именно на проявления объекта оценки. В отношении выбора субъекта оценки укажем, что индивидуального варьирования отмечено не было (рис. 7).
Как можно видеть, в речевом поведении участников значительно превалируют случаи выражения оценки без указания ее субъекта, меньшая частотность проявляется в указании на собственную позицию, еще реже обнаруживаются указания на позицию слушающего.
Рис. 6а. Выбор объекта оценки в первом кластере
Источник: соcтавлено М.И. Киосе, О.Н. Прокофьевой, Е.Е. Смирновой.
Figure 6a. Selection of the evaluation object in the first cluster.
Source: compiled by Maria I. Kiose, Olga N. Prokofieva, Evgeniya E. Smirnova.
Рис. 6б. Выбор объекта оценки во втором кластере
Источник: соcтавлено М.И. Киосе, О.Н. Прокофьевой, Е.Е. Смирновой.
Figure 6b. Selection of the evaluation object in the second cluster
Source: compiled by Maria I. Kiose, Olga N. Prokofieva, Evgeniya E. Smirnova.
Рис. 7. Индивидуальные показатели выбора субъекта оценки
Источник: соcтавлено М.И. Киосе, О.Н. Прокофьевой, Е.Е. Смирновой
Figure 7. Individual indicators of the subject selection
Source: compiled by Maria I. Kiose, Olga N. Prokofieva, Evgeniya E. Smirnova.
Рис. 8. Индивидуальные показатели выбора характера оценки
Источник: соcтавлено М.И. Киосе, О.Н. Прокофьевой, Е.Е. Смирновой.
Figure 8. Individual character selection indicators
Source: compiled by Maria I. Kiose, Olga N. Prokofieva, Evgeniya E. Smirnova.
Рассмотрим проявления индивидуального варьирования в эпистемологическом измерении. В целом, в речи участников отмечено предпочтение частной оценки (см. рис. 8). Однако в отношении общей доли ЭДЕ с оценкой и характера оценки обнаружена значительная вариативность. Так, в первую очередь обращаем внимание на различие в доле ЭДЕ с оценкой в записанном корпусе (31,9±14,6; 11–67; коэффициент вариации 46 %). Наименее стабильными характеристиками выступают общая оценка со средним значением 9,6±6,24 (65 %) и диапазоном от 2 до 24 ЭДЕ в речи одного участника эксперимента и интенсивность, сопровождающая оценку, в среднем в 10,9±7,03 ЭДЕ (64,4 %) и диапазоном от 2 до 28 ЭДЕ. Положительный характер встречается в среднем в 8,3±5,32 ЭДЕ (2–21; 64 %) в записанном корпусе. Наиболее стабильными характеристиками выступают объем оценки (частная) – в 22,3±11,7 ЭДЕ (7–44; 52,5 %) и характер оценки (отрицательная), представленная в среднем в 23,6±10,6 ЭДЕ (6–46; 44,9 %). Сравнительно стабильный характер частной, а особенно отрицательной оценки, подтверждается в процентном содержании отрицательных ЭДЕ от общего количества ЭДЕ с оценкой: 69±14,4 % (45,5–95 %; коэффициент вариации 20,9 %) и 74±10,4 % (50–86,7 %; 14,1 %) соответственно. Таким образом, распределение эпистемологических характеристик оценки носит индивидуальный характер, однако наблюдается устойчивая тенденция отдавать предпочтение отрицательной оценке, а также несколько менее устойчивая тенденция к использованию частной оценки.
Для проверки гипотезы о возможной зависимости между характером оценки и субъектом оценки был проведен ряд тестов, которые выявили наличие положительной корреляции между показателем частной положительной/отрицательной оценки и эксплицитно выраженным субъектом в рамках одной ЭДЕ (r = 0,114, p < 0,01) и речи каждого говорящего в целом (для первого лица: r = 0,662, p < 0,001; для участника: r = 0,693, p < 0,001). Возможно, чем более личным становится дискурс говорящего, чем эксплицитнее выражен субъект событий, тем более частный характер начинает приобретать оценка говорящего, «погружая» собеседника в детали событий. Анализ зависимости между объектом оценки и типом оценки выявил следующие закономерности: 1) интенсивность, сопровождающая оценку, чаще обнаруживается при оценке ситуаций, чем объектов/субъектов (r = 0,89, p = 0,015 vs. 0,55, p < 0,001); 2) частная оценка также чаще используется при оценке ситуаций, чем объектов/субъектов (r = 0,847, p = 0,002 vs. 0,574, p < 0,001); 3) общая оценка значительно чаще используется для оценки объектов/субъектов, чем ситуаций (r = 0,652, p = 0,002 vs. 0,574, p = 0,01).
Варьирование в лингвистическом измерении в использовании лексического значения слов и контекстуально обусловленного значения выражений с отрицательной и положительной оценкой довольно существенно — от 7 до 32 ЭДЕ с лексическим значением и от 0 до 35 ЭДЕ с контекстуальным значением у разных говорящих (коэффициент вариации составил 44,78 и 64,44 % соответственно). При этом в отношении проявления маркеров отрицательной оценки варьирование также значительно — от 9 до 60 ЭДЕ (45,28 %). При невысоком количестве проявлений варьирование наблюдается и в проявлении морфологических маркеров отрицания в выражениях — от 0 до 7 ЭДЕ (77,38 %). Учитывая обозначенные выше показатели, можно сделать вывод о том, что в рамках лингвистического измерения оценки наблюдается наиболее значительное варьирование в реализации контекстуальной оценки на уровне семантики всего высказывания.
Заключительные замечания
Проведенное исследование, нацеленное на разработку алгоритма когнитивно-семиотического анализа оценочного позиционирования в спонтанной устной диалогической речи применительно к экспозиторному дискурсу, позволило установить ряд закономерностей в реализации оценки. При том, что индивидуальное варьирование в оценочном позиционировании действительно определяется характеристиками трех когнитивно-семиотических измерений — онтологического, эпистемологического, лингвистического — определены и частные особенности проявлений оценки. Так, результаты показали, что в онтологическом измерении превалирует реализация оценки ситуации без эксплицитно выраженного субъекта оценки, однако обнаружено высокое индивидуальное варьирование в выборе объекта/субъекта; при этом говорящие сходным образом реализуют субъект оценки. В эпистемологическом измерении чаще проявляется отрицательная оценка, маркеры интенсивности используются нечасто, при этом превалирует частная оценка, а индивидуальное варьирование особенно заметно в выборе общей, положительной оценки и использовании интенсивности. В лингвистическом измерении существенно преобладает оценка, выраженная на лексическом уровне, а варьирование связано с выбором контекстуально обусловленных значений выражений. Полученные результаты отражают специфику оценочного позиционирования в спонтанном экспозиторном диалоге, а также определяют перспективы использования метода когнитивно-семиотического моделирования для изучения оценочного позиционирования в иных дискурсах и разных типах коммуникации.
1 ELAN (Version 6.9) [Computer software]. 2024. Nijmegen: Max Planck Institute for Psycholinguistics, The Language Archive. Режим доступа: https://archive.mpi.nl/tla/elan (дата обращения: 25.05.2025).
About the authors
Maria I. Kiose
Moscow State Linguistic University; Institute of Linguistics RAS
Author for correspondence.
Email: maria_kiose@mail.ru
ORCID iD: 0000-0001-7215-0604
SPIN-code: 4419-0090
Scopus Author ID: 56642747500
ResearcherId: AAB-7989-2019
Dr.Sc. (Philology) (Advanced Doctorate), Associate Professor, Chief Researcher of the Centre for Socio-Cognitive Discourse Studies of Moscow State Linguistic University; Leading Researcher; Laboratory for Multichannel Communication, Institute of Linguistics, RAS
38 Ostozhenka str., Moscow, Russian Federation, 119034; 1 B. Kislovsky ln., Moscow, Russian Federation, 125009Olga N. Prokofieva
Moscow State Linguistic University
Email: oliviaprok@gmail.com
ORCID iD: 0009-0007-7177-255X
SPIN-code: 5986-8027
Scopus Author ID: 57221805598
ResearcherId: ISU-7020-2023
PhD in Philology, Senior Researcher of the Centre for Socio-Cognitive Discourse Studies, Associate Professor of the Department of English Stylistics at the Faculty of English
38 Ostozhenka str., Moscow, Russian Federation, 119034Evgeniya E. Smirnova
Moscow State Linguistic University
Email: e.smirnova@linguanet.ru
ORCID iD: 0009-0000-4217-2298
SPIN-code: 3782-7854
Scopus Author ID: 58164327300
ResearcherId: LSJ-0153-2024
Junior Researcher at Centre for Socio-Cognitive Discourse Studies
38 Ostozhenka str., Moscow, Russian Federation, 119034References
- Arutyunova, N.D. (1988). Types of language meanings. Evaluation. Event. Fact. Moscow: Nauka. (In Russ.). EDN: YKBSRJ
- Kubryakova, E.S. (2004). On the way to achieving knowledge about language: Parts of speech from a cognitive view. Language and Cognition. (pp. 29–304). Moscow: Languages of Slavic Culture. (In Russ.).
- Iriskhanova, O.K. (2009). On the concept of creativity and its role in the meta-language of linguistic descriptions. Cognitive Studies of Language, 5, 157–171. (In Russ.). EDN: PVERTD
- Pishchalnikova, V.A., & Kardanova-Biryukova, K.S. (2023). Recursiveness as the Dominant Feature of Communicative Behavior in Day-to-Day Interaction. RUDN Journal of Language Studies, Semiotics and Semantics, 14(4), 994–1012. (In Russ.). https://doi.org/10.22363/2313-2299-2023-14-4-994-1012 EDN: FJZYDS
- Berman, R.A. (2004). Introduction: developing discourse stance in different text types and languages. Journal of Pragmatics, 37, 105–124. https://doi.org/10.1016/S0378-2166(04)00189-4
- Biber, D. (2006). Stance in spoken and written university registers. Journal of English for Academic Purposes, 5, 97—116. https://doi.org/10.1016/j.jeap.2006.05.001
- Khrisonopulo, E.Y. (2017). Discourse Motivations of Mental Construal and the Expression of Stance in Speech: A Case Study of English. Russian Journal of Linguistics, 21(1), 91–104. https://doi.org/10.22363/2312-9182-2017-21-1-91-104 EDN: XWEXVL
- Freeman, V. (2019). Prosodic features of stances in conversation. Laboratory Phonology, 10(1), 19. https://doi.org/10.5334/labphon.163
- Haddington, P. (2004) Stance taking in news interviews. SKY Journal of Linguistics, 17, 101–142.
- Kärkkäinen, E. (2006). Stance Taking in Conversation: From Subjectivity to Intersubjectivity. Text and Talk, 26, 699–731.
- Du Bois, J.W. (2011). Co-opting intersubjectivity: Dialogic rhetoric of the self. The Rhetorical Emergence of Culture, 4, 52–83.
- Du Bois, J.W. (2007). The stance triangle. In: R. Englebretson (ed.) Stancetaking in discourse: Subjectivity, evaluation, interaction (pp. 139–182). Amsterdam: John Benjamins.
- Simaki, V., Paradis, C., Skeppstedt, M., Sahlgren, M., Kucher, K. & Kerren, A. (2020). Annotating Speaker Stance in Discourse: The Brexit Blog Corpus. Corpus Linguistics and Linguistic Theory, 16(2), 215–248.
- Hunston, S. (2010). Corpus approaches to evaluation: Phraseology and evaluative language. London: Routledge. https://doi.org/10.4324/9780203841686
- Belyakov, M.V. (2016). The Analysis of News Messages of the RF Ministry of Foreign Affairs Web-Site by the Sentiment Analysis (Article 2). RUDN Journal of Language Studies, Semiotics and Semantics, 4, 115–124. EDN: WZZKRZ
- Baymurzina, D., Kuznetsov, D., & Burtsev, M. (2019). Language Model Embeddings Improve Sentiment Analysis in Russian. In; Computational Linguistics and Intellectual Technologies, (Iss. 18 (25), pp. 53–63). Moscow.
- Clark, A. (2008). Supersizing the Mind: Embodiment, Action, and Cognitive Extension. Oxford: Oxford University Press. https://doi.org/10.1093/acprof:oso/9780195333213.001.0001
- Damasio, A. (2010). Self Comes to Mind: Constructing the Conscious Brain. New York: Pantheon.
- Zlatev, J., Racine, T. P., Sinha, C., & Itkonen, E. (2008). The shared mind: Perspectives on intersubjectivity. Amsterdam: John Benjamins Publ.
- Iriskhanova, O.K. (2009). On the concept of creativity and its role in the meta-language of linguistic descriptions. Cognitive Studies of Language, 5, 157–171. (In Russ.). EDN: PVERTD
- Boldyrev, N.N. (2018). Language and the system of knowledge. Cognitive theory of language. Moscow: YaSK. (In Russ.). EDN: YYCNWP
- Kiose, M.I. (2014). Naming in text: Direct and indirect. Moscow: Ontoprint. (In Russ.). EDN: ZERCXZ
- Kobozeva, I.M. (2022). Adverbs of Evaluation: Correlation of Semantic and Syntactic Properties (The Case of General and Hedonistic Evaluation). Critique and Semiotics, 1, 90–109. (In Russ.). https://doi.org/10.25205/2307-1737-2022-1-90-109 EDN: XHVDPU
- Volf, Е.М. (2024). Functional semantics of assessment (featuring the Portuguese language). Moscow: URSS. (In Russ.)
- Markelova, T.V. (2013). Pragmatics and semantics of assessment in Russian. Moscow: I. Fedorov Moscow State University of Press. publ. (In Russ.)
- Iriskhanova, O.K., Kiose, M.I., Leonteva, A.V., & Agafonova, O.V. (2022). Multimodal spatial deixis in speech and gestures: frames of reference in explanatory discourse. Voprosy Kognitivnoy Lingvistiki, 4, 17–31 (In Russ.). https://doi.org/10.20916/1812-3228-2022-4-17-31 EDN: GCMSRK
- Prokofieva, О.N., Iriskhanova, O.K., & Kiose, M.I. (2021). Speech and gesture in descriptive discourse. In: Multimodal dimensions of discourse (pp. 63–109). Moscow: YaSK, EDN: IIAQAM
Supplementary files
Source: photos from the archiveof Maria I. Kiose, Olga N. Prokofieva, & Evgeniya E. Smirnova. Prior to filming the participants signed the consent form.
Source: compiled by Maria I. Kiose, Olga N. Prokofieva, Evgeniya E. Smirnova.
Source: compiled by Maria I. Kiose, Olga N. Prokofieva, Evgeniya E. Smirnova.
Source: compiled by Maria I. Kiose, Olga N. Prokofieva, Evgeniya E. Smirnova.
Source: compiled by Maria I. Kiose, Olga N. Prokofieva, Evgeniya E. Smirnova.
Source: compiled by Maria I. Kiose, Olga N. Prokofieva, Evgeniya E. Smirnova.
Source: compiled by Maria I. Kiose, Olga N. Prokofieva, Evgeniya E. Smirnova
Source: compiled by Maria I. Kiose, Olga N. Prokofieva, Evgeniya E. Smirnova.
















