Опухолевые гибридные клетки при немелкоклеточном раке лёгкого: популяционный состав и клиническая значимость
- Авторы: Хозяинова А.А.1, Меняйло М.Е.1, Третьякова М.С.1, Бокова У.А.1, Коробейникова А.А.1, Геращенко Т.С.1, Родионов Е.О.1, Миллер С.В.1, Денисов Е.В.1
-
Учреждения:
- Томский национальный исследовательский медицинский центр
- Выпуск: Том 28, № 4 (2024): ОНКОЛОГИЯ
- Страницы: 439-451
- Раздел: ОНКОЛОГИЯ
- URL: https://journals.rudn.ru/medicine/article/view/42009
- DOI: https://doi.org/10.22363/2313-0245-2024-28-4-439-451
- EDN: https://elibrary.ru/GPDHAP
- ID: 42009
Цитировать
Полный текст
Аннотация
Актуальность. Немелкоклеточный рак легкого (НМРЛ) является одним из наиболее распространенных злокачественных новообразований. Основными причинами смертности от НМРЛ являются рецидивы и отдаленные метастазы. Принято считать, что метастазы и рецидивы формируются опухолевыми клетками, обладающими высоким инвазивным и химиорезистентным фенотипом. По последним данным, такими клетками могут быть опухолевые гибридные клетки, формирующиеся в результате слияния опухолевых клеток с широким спектром нормальных клеток: макрофагами, фибробластами, мезенхимальными, стволовыми клетками и т. д. Однако состав, фенотипическое разнообразие ОГК и их связь с клинико-патологическими параметрами и прогрессированием НМРЛ остаются плохо изученными. Цель настоящего исследования — охарактеризовать популяционный состав опухолевых гибридных клеток при НМРЛ и его связь с клинико-патологическими параметрами, метастазированием и рецидивированием. Материалы и методы. В исследование было включено 50 пациентов с НМРЛ. Использовались морфологически верифицированные свежезамороженные образцы опухолевой ткани, полученные при резекции легкого по поводу НМРЛ. Опухолевые гибридные клетки анализировали методом проточной цитофлуориметрии с использованием маркеров опухолевых клеток, опухолевых стволовых клеток, лейкоцитов, макрофагов и фибробластов. Результаты и обсуждение. Опухолевые гибридные клетки были обнаружены у всех пациентов НМРЛ. Большинство опухолевых гибридных клеток были с лейкоцитарными, макрофагальными и стволовыми признаками. Количество и частота опухолевых гибридных клеток зависели от неоадъювантной химиотерапии. Опухолевые гибридные клетки с маркерами стволовости и лейкоцитов (pan-CK+CD45+CD44+CD73+) были связаны с локорегионарными рецидивами, тогда как ОГК с маркерами стволовости и макрофагов (EpCAM+CD45+CD44+CD73+CD163+) — с гематогенными метастазами. Выводы. Впервые комплексно описан популяционный состав опухолевых гибридных клеток при НМРЛ и его ассоциация с клинико-патологическими характеристиками, неоадъювантной химиотерапией и прогнозом. Выявление прогностически значимых опухолевых гибридных клеток может быть потенциальным подходом для предсказания риска метастазирования и рецидивирования НМРЛ и основанием для подбора терапии, направленной на снижение вероятности прогрессирования данного заболевания.
Полный текст
Introduction
Lung cancer claims over a million lives around the world every year and is the leading cause of cancer-related mortality [1]. Non-small cell lung cancer (NSCLC) accounts for 85 % of all lung cancer cases [2]. The relative 5‑year survival rate for NSCLC does not exceed 35 % [3]. Among patients without signs of tumor spread the value reached 65 % [3]. While among patients with lymph nodes or distant organ metastases the value was 37 % and 9 %, respectively. Thus, predicting and preventing the risk of NSCLC progression is an urgent task for modern oncology.
The main players in metastasis are considered to be abnormally motile cells of the primary tumor that have undergone epithelial-mesenchymal transition [4, 5, 6]. Deprived of intercellular contacts, such cells are able to penetrate into surrounding tissues and blood and lymphatic vessels, thereby ensuring spreading throughout the body [5]. Considering that most metastatic “seeds” die while circulating in the bloodstream, and their successful reaching the distal organ does not guarantee further development of metastases, it becomes obvious that true metastasis-initiating cells must have a certain phenotype that allows them to successfully overcome both mechanical stress and escape from the immunological surveillance [7].
Recurrences are most likely caused by populations of tumor cells and cancer stem cells that are capable of self-renewal and regeneration and are resistant to chemotherapy and radiation therapy [8]. However, consensus on the classification criteria, origin and clinical significance of recurrence-initiating cells has not been reached.
In recent years, there has been increasing evidence that metastases and recurrences can be formed by tumor hybrid cells (THCs) [9–11]. The phenomenon of hybrid cells is widely known in normal physiological processes, for example, in wound regeneration and healing, and osteoclastogenesis. However, these cells are also found in pathological conditions, for example, in cancer [12, 13]. Tumor cells are capable of merging with both themselves and various immune cells: leukocytes (macrophages, dendritic cells, and lymphocytes), fibroblasts, mesenchymal stem, and other cells [14]. THCs acquire new properties that are not typical for parental cells, such as increased proliferation and migration, drug resistance, decreased apoptosis, and evasion of immune surveillance [15–17]. THCs are found in a variety of malignancies and are associated with poor prognosis [18].
However, the phenotypic diversity of THCs remains poorly understood. In addition, most of the data have been obtained in vitro models and are valid for THCs of macrophage origin. In this regard, this study was aimed to characterize the population composition of THCs in NSCLC and its association with clinicopathological characteristics, metastasis and recurrence.
Materials and methods
The study included 50 patients with NSCLC treated at the Cancer Research Institute of the Tomsk National Research Medical Center (Table 1). Fresh frozen samples of tumor tissue obtained during resection and morphologically verified were used to analyze types and number of THCs.
All patients gave voluntary informed consent to participate in the study and personal data processing according with the World Medical Association Declaration of Helsinki (WMA Declaration of Helsinki — Ethical Principles for Medical Research Involving Human Subjects, 2013).
Preparation of cell suspension
Cell suspension was prepared from fresh frozen tumor samples. Tumor material was washed twice with phosphate-buffered saline (PBS) and placed in Dulbecco’s Modified Eagle Medium (DMEM), serum-free culture medium, in which the tissue was minced with a scalpel into 1–2 mm fragments. Next, tumor fragments along with the medium were transferred into C-Tubes (Miltenyi Biotec, Germany) and mechanically homogenized using a gentleMACS Octo Dissociator device (Miltenyi Biotec, Germany). After homogenization, the resulting suspension was passed through a 70 μm cell filter (NEST Biotechnology, China).
The filtered cell suspension was centrifuged for 3 minutes at 300 rcf, the supernatant was removed, and the sediment was dissolved in PBS immediately before staining with an antibody cocktail.
Table 1. Clinicopathological characteristics of non-small cell lung cancer patients
Characteristics | N (%) | |
Age | 62.5 ± 9.3 | 50 (100) |
Sex | Male | 39 (78) |
Female | 11 (22) | |
Tumor size | Т1 | 7 (14) |
T2 | 20 (40) | |
Т3 | 16 (32) | |
| T4 | 7 (14) |
Lymphogenous metastasis | N0 | 23 (46) |
N1 | 14 (28) | |
N2 | 13 (26) | |
Distant metastasis | Yes | 19 (38) |
No | 31 (62) | |
Stage | 1 | 10 (20) |
2 | 12 (24) | |
3 | 26 (52) | |
4 | 2 (4) | |
Grade | G1 | 5 (10) |
G2 | 36 (72) | |
G3 | 9 (18) | |
Locoregional recurrence | Yes | 38 (76) |
No | 12 (24) | |
Histologic type | Adenocarcinoma | 25 (50) |
Squamous cell carcinoma | 25 (50) | |
Neoadjuvant chemotherapy | Yes | 20 (40) |
No | 30 (60) | |
Smoking | Yes | 40 (80) |
No | 10 (20) | |
Flow cytometry
Markers of parental cells which were used to determine the number and types of THCs are presented in Table 2.
Table 2. Markers and antibodies used to identify tumor hybrid cells
Marker | Dye | Antibody clone | Description |
Live-or-Die (Biotium, Turkey) | 405/545 | – | Viability marker |
CD45 (Beckman Coulter, USA) | APC-Alexa Fluor 700 | J33 | Leukocyte common antigen [19] |
Pan-cytokeratin (pan-CK, Miltenyi Biotec, Germany) | FITC | REA831 | Tumor cell marker [20] |
CD326 (Elabscience, China) | Elab Fluor Violet 450 | 9C4 | Tumor cell marker [21] |
S100A4 (BioLegend, USA) | PerCP Cy 5.5 | NJ‑4F3 | Fibroblast marker [22] |
FAP (eBioscience, USA) | Super Bright 600 | F11–24 | Fibroblast marker [23] |
CD44 (BD, USA) | APC H7 | C26 | Cancer stem cell marker [24] |
CD73 (Elabscience, China) | PE | AD2 | Cancer stem cell marker [25] |
CD68 (Elabscience, China) | Elab Fluor 647 | Y1/82A | Macrophage marker [26] |
CD163 (eBioscience, USA) | Super Bright 645 | GHI/61 | М2 macrophage marker [27] |
The tumor cell suspension was stained with 85 μl solution contained of “Live-or-Die” dye and PBS, vortexed and incubated for 10 minutes. Then, monoclonal antibodies against CD45, CD163, FAP, CD44, CD73, and EPCAM were added and incubated for 15 minutes in dark. The cell suspension was then washed twice to remove unbound antibodies using a 0.5 % PBS+BSA (Bovine Serum Albumin) solution for 10 minutes at 2000 rpm. The precipitate was incubated with fixation buffer from the Flow Cytometry Fixation/Permeabilization Kit (Biotium, USA) for 20 minutes. After washing twice 5 minutes at 2200 rpm with PBS and 2 % BSA, a permeabilization buffer from the Flow Cytometry Fixation/Permeabilization Kit (Biotium, USA) was added, which was mixed with antibodies to pan-cytokeratin, CD68 and S100A4. After 30 minutes of incubation in dark, the cell suspension was washed twice in 0.5 % PBS+BSA for 5 minutes at 2200 rpm. The supernatant was discarded, 100 μl of PBS was added to the cell pellet, mixed and analyzed on a CytoFLEX flow cytometer (Beckman Coulter, USA). To improve the accuracy of the results, take into account nonspecific antibody binding and adjust color compensation, FMO (Fluorescence Minus One) controls and unstained controls were used. The results were analyzed using the CytExpert program (Beckman Coulter, USA). The number of events attributed using selected markers to THCs was assessed. Data were extrapolated to 10000 cells. The gating strategy is shown in Fig. 1. Based on the forward (FSC) and side scatter (SSC) light parameters, an area with cells was selected and singlets were separated using a strategy for excluding doublets by area and height (FSC-A vs. FSC-H). Based on the fluorescence intensity of the “Live-or-Die” reagent, an area with living cells was selected, which were further gated by antibodies fluorescence intensity against markers of the target populations.
Statistical analysis
Statistical analysis was carried out using the SPSS Statistics v23 software (IBM, USA). The nonparametric Mann-Whitney test was used for two independent samples; data were presented as median (Me) and interquartile range (Q1–Q3). Association of overall, metastatic-free and recurrence-free survival with THCs was analyzed using the Kaplan-Meier method and the log-rank test. Association of clinicopathological characteristics and metastasis and recurrence frequency with THCs with were assessed using the Pearson’s χ2 test Differences were considered statistically significant at p < 0.05.
Figure 1. The flow cytometry algorithm for tumor hybrid cells identification
Note: A — Forward scatter (FSC) vs. side scatter (SSC) dot plot of cells; B — Singlets separation on the FSC-A/FSC-H histogram; C–Cell viability, as visualized by “Live-or-Dye” staining: positive cells are dead, negative cells are alive; D — Identification of pan-CK+, EpCAM+ and pan-CK+EpCAM+ cells; E — Identification of pan-CK+CD45+ and pan-CK+CD45– cells; F — Identification of EpCAM+CD45+ and EpCAM+CD45– cells; G — Identification of pan-CK+EpCAM+CD45+ and pan-CK+EpCAM+CD45– cells; H — Identification of pan-CK+CD45+CD68+, pan-CK+CD45+CD163+ and pan-CK+CD45+CD68+CD163+ cells; I–Identification of EpCAM+CD45+CD68+, EpCAM+CD45+CD163+ and EpCAM+CD45+CD68+CD163+ cells; J — Identification of pan-CK+EpCAM+CD45+CD68+, pan-CK+EpCAM+CD45+CD163+ and pan-CK+EpCAM+CD45+CD68+CD163+ cells; K — Identification of pan-CK+CD45–FAP+, pan-CK+CD45–S100A4+ and pan-CK+CD45–FAP+S100A4+ cells; L–Identification of EpCAM+CD45–FAP+, EpCAM+CD45–S100A4+ and EpCAM+CD45–FAP+S100A4+ cells; M–Identification of pan-CK+EpCAM+CD45–FAP+, pan-CK+EpCAM+CD45–S100A4+ and pan-CK+EpCAM+CD45–FAP+S100A4+ cells; N — Identification of pan-CK+CD45+CD44+, pan-CK+CD45+CD73+ and pan-CK+CD45+CD44+CD73+ cells; O — Identification of EpCAM+CD45+CD44+, EpCAM+CD45+CD73+ and EpCAM+CD45+CD44+CD73+ cells; P — Identification of pan-CK+EpCAM+CD45+CD44+, pan-CK+EpCAM+CD45+CD73+ and pan-CK+EpCAM+CD45+CD44+CD73+ cells.
Results and Discussion
THCs were detected in all NSCLC patients. In total, six populations and 84 subpopulations of THCs were identified. At the same time, 76 subpopulations were represented by at least one cell in one patient (Table 1, Supplement). Associations with clinicopathological characteristics, metastasis and recurrence were identified for 25 subpopulations of THCs (Table 3).
Table 3. Tumor hybrid cells populations and subpopulations associated with clinical features of NSCLC
THC populations | THC subpopulations | Abbreviations |
THCs with leukocyte features | pan-CK+CD45+ | TL1 |
EpCAM+CD45+ | TL2 | |
pan-CK+EpCAM+CD45+ | TL3 | |
THCs with macrophage features | pan-CK+CD45+CD163+ | TM1 |
EpCAM+CD45+CD163+ | TM2 | |
pan-CK+EpCAM+CD45+CD68+CD163+ | TM3 | |
pan-CK+CD45+CD68+ | TM4 | |
THCs with fibroblast features | EpCAM+CD45–S100A4+ | TF1 |
pan-CK+CD45–FAP+S100A4+ | TF3 | |
pan-CK+EpCAM+CD45–S100A4+ | TF4 | |
THCs with stem and leukocyte features | pan-CK+CD45+CD44+ | TLS1 |
EpCAM+CD45+CD44+ | TLS2 | |
pan-CK+EpCAM+CD45+CD44+ | TLS3 | |
pan-CK+CD45+CD44+CD73+ | TLS4 | |
pan-CK+CD45+CD73+ | TLS5 | |
EpCAM+CD45+CD44+CD73+ | TLS6 | |
THCs with stem and macrophage features | pan-CK+CD45+CD44+CD163+ | TMS1 |
pan-CK+EpCAM+CD45+CD44+CD68+CD163+ | TMS2 | |
EpCAM+CD45+CD44+CD73+CD163+ | TMS3 | |
pan-CK+CD45+CD73+CD68+ | TMS4 | |
pan-CK+EpCAM+CD45+CD44+CD73+CD68+CD163+ | TMS5 | |
pan-CK+CD45+CD44+CD68+ | TMS6 | |
THCs with stem and fibroblast features | pan-CK+CD45–CD44+S100A4+ | TFS1 |
pan-CK+CD45–CD44+FAP+S100A4+ | TFS2 | |
pan-CK+CD45–CD73+FAP+S100A4+ | TFS3 |
Tumor hybrid cells types, number and frequency in NSCLC
THCs with markers of leukocytes and macrophages, as well as THCs with stem, leukocyte and macrophage features were abundant (Table 4).
Table 4. Top 10 tumor hybrid cells subpopulations in NSCLC
THC subpopulations | Number of cells, Me (Q1-Q3) |
TL1 | 1236 (453–2810) |
TLS1 | 843 (340–2405) |
TM1 | 285 (106–449) |
TMS1 | 221 (87–427) |
TF1 | 18 (1–38) |
TFS1 | 10 (0–27) |
TL2 | 9 (4–27) |
TLS2 | 7 (2–16) |
TL3 | 3 (0–11) |
TM2 | 3 (0–8) |
Note: Me, median.
In lung adenocarcinoma (LUAD), the number of THCs carrying markers of leukocytes (TL2 and TL3 subpopulations) and macrophages (TM2), as well as THCs with stem and leukocyte features (TLS2, TLS3) were higher than in lung squamous cell carcinoma (LUSC; p < 0.05, Table 5). In addition, THCs carrying leukocyte (TL2, TL3) and macrophage markers (TM2) and THCs with stem and leukocyte features (TLS2) were higher in NSCLC patients without neoadjuvant chemotherapy (NACT) than in therapy-naïve cases (p < 0.05, Table 5). Interestingly, THCs with leukocyte (TL2) and macrophage markers (TM2, TM1) and THCs carrying stem and leukocyte markers (TLS2) were lower in smokers than in non-smoking patients (p < 0.05, Table 5).
Table 5. Tumor hybrid cells number in NSCLC depending on clinicopathologic parameters, neoadjuvant chemotherapy, distant metastasis, and recurrence
| TL2 | TL3 | TM2 | TM1 | TLS2 | TLS3 | TFS1 |
LUAD | 16 (8–42) | 5 (2–18) | 5 (1–20) | 27 (1–112) | 12 (4–35) | 5 (0–15) | 0 (0–4) |
LUSC | 6 (2–11) | 1 (0–4) | 1 (0–3) | 61 (6–160) | 5 (2–10) | 1 (0–3) | 1 (0–4) |
p | 0.00315 | 0.0135 | 0.0018 | 0.592 | 0.0100 | 0.0349 | 0.464 |
NACT+ | 7 (2–10) | 0 (0–2) | 1 (0–3) | 56 (6–133) | 3 (1–9) | 0 (0–5) | 2 (0–9) |
NACT– | 14 (6–38) | 5 (2–17) | 5 (1–11) | 28 (1–119) | 10 (4–32) | 4 (0–16) | 0 (0–2) |
p | 0.0111 | 0.0006 | 0.0080 | 0.713 | 0.01142 | 0.0025 | 0.055 |
Smoking + | 8 (4–13) | 3 (0–9) | 1 (0–5) | 0 (0–6) | 6 (0–35) | 3 (0–9) | 1 (0–32) |
Smoking– | 20 (14–58) | 4 (0–9) | 9 (3–30) | 1 (1–4) | 13 (2–94) | 1 (0–5) | 0 (0–20) |
p | 0.008 | 0.91 | 0.0112 | 0.0167 | 0.0087 | 0.43 | 0.051 |
MTS+ | 8 (5–21) | 5 (1–17) | 0 (0–0) | 22 (6–114) | 6 (3–18) | 3 (0–92) | 2 (0–31) |
MTS– | 9 (4–27) | 2 (0–6) | 0 (0–1) | 51 (2–179) | 8 (2–15) | 1 (0–50) | 15 (0–236) |
p | 0.667 | 0.065 | 0.285 | 0.703 | 0.681 | 0.050 | 0.0217 |
Rec+ | 11 (8–27) | 0 (0–8) | 0 (0–0) | 2 (0–60) | 9 (5–11) | 0 (0–7) | 0 (0–4) |
Rec– | 8 (4–25) | 3 (0–11) | 0 (0–1) | 0 (0–9) | 6 (2–19) | 3 (0–10) | 1 (0–4) |
p | 0.433 | 0.160 | 0.380 | 0.017 | 0.785 | 0.20 | 0.490 |
Note: LUAD, lung adenocarcinoma; LUSC, lung squamous cell carcinoma; NACT, neoadjuvant chemotherapy; MTS, distant metastasis; Rec, locoregional recurrence; +/–, yes/no; p, significance level.
THC with leukocyte (TL1) and macrophage features (TM1) and THCs carrying leukocyte and macrophage and stem cell markers (TLS1 and TMS1) were frequently detected in NSCLC patients.
THC with fibroblast features (TF1) were often observed in smokers compared to non-smoking patients (84.6 % (22) versus 50.0 % (6); p = 0.024).
In NACT-treated patients, the frequency of THCs with leukocyte (TL3) and macrophage (TM3) features and THCs with stem, leukocyte and macrophage markers (TLS3, TLS4, TLS5, TMS2, TMS3) was lower than in patients without NACT (p < 0.05, Table 6). In contrast, THCs carrying markers of fibroblasts (TF3) and THCs with stem and fibroblast (TFS2) features was frequently detected in patients with NACT than in therapy-naïve cases (p < 0.05, Table 6).
Table 6. Tumor hybrid cells frequency in NSCLC depending on neoadjuvant chemotherapy
THC subpopulations | NACT+ | NACT– | p |
TL3 | 28.6 (10) | 66.7 (10) | 0.012 |
TM3 | 21.1 (4) | 51.6 (16) | 0.032 |
TLS3 | 29.4 (10) | 62.5 (10) | 0.026 |
TLS4 | 17.6 (3) | 51.5 (17) | 0.021 |
TLS5 | 8.3 (1) | 50.0 (19) | 0.01 |
TMS2 | 21.1 (4) | 51.6 (16) | 0.032 |
TMS3 | 10.0 (1) | 47.5 (19) | 0.03 |
TF3 | 65.2 (15) | 18.5 (5) | 0.01 |
TFS2 | 65.0 (13) | 23.3 (7) | 0.003 |
Note: NACT, neoadjuvant chemotherapy; p, significance level.
Tumor hybrid cells associated with NSCLC distant metastasis and recurrence
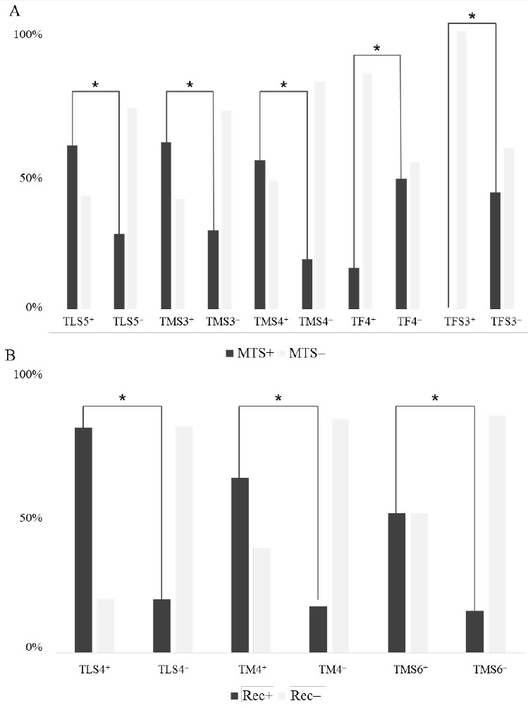
Patients with distant metastases demonstrated an increase in the number of THCs with stem and leukocyte features (TLS3) (p < 0.05, Table 5). In addition, TLS5, TMS3 and TMS4 subpopulations were most frequent in metastatic patients than in patients without metastases (p < 0.05, Fig. 2 A).
In contrast, patients without distant metastases demonstrated an increase in the number of THCs carrying stem cell and fibroblast markers (TFS1) (p < 0.05, Table 5). Non-metastatic patients also had a high frequency of TFS3 and TF4 THCs than cases with metastases (p < 0.05, Fig. 2 A).
Patients with locoregional recurrence demonstrated an increase in the number of THCs with macrophage markers (TM1; p < 0.05, Table 5). TM4, TLS4, and TMS6 subpopulations were also most frequent in recurrent patients than in cases without recurrence (p < 0.05, Fig. 2 B).
Figure 2. Frequency of distant metastasis (A) and recurrence (B) in NSCLC patients with (+) and without (–) different THC populations
Note: *, p < 0.05.
It is important to note that the TMS3 subpopulation was an independent predictor of distant metastases, whereas TLS4 — locoregional recurrence when taking into account clinicopathological parameters. At the same time, the prognostic significance of the TMS4 and TLS5 subpopulations remained only for male patients (TMS4, p = 0.041) and highly graded tumors (TLS5, p = 0.033) (data not shown).
Tumor hybrid cells associated with survival of NSCLC patients
Poor overall survival (OS) rates were associated with THCs carrying stem and macrophage markers (TMS3 and TMS5) and THCs with stem and leukocyte features (TLS6) (p < 0.05, Fig. 3).
Figure 3. Overall survival of NSCLC patients depending on the presence of different tumor hybrid cells populations
Note: TMS3, EpCAM+CD45+CD44+CD73+CD163+; TMS5, pan-CK+EpCAM+CD45+CD44+CD73+CD68+CD163+; TLS6, EpCAM+CD45+CD44+CD73+.
Considering clinicopathological characteristics, the prognostic significance of TMS3 was valid only for grade 2 (p = 0.021), TMS5 — smokers (p = 0.011), TLS6 — LUAD (p = 0.032) and TMS4 — male smokers (p = 0.042).
Despite significant advances in NSCLC diagnosis of and therapy, the prevention of metastasis and recurrence still remains an unresolved problem. Even with timely diagnosis, most patients demonstrate disease progression in the postoperative period [28–30]. In this regard, the identification of metastasis- and recurrence-initiating cells and the development of approaches for their elimination is a priority task of modern oncology. A number of studies have shown that THCs may be one of the potential players in metastasis and recurrence [17, 18, 31]. Here, we first describe population composition of THCs in NSCLC and analyze their association with clinicopathological characteristics, metastasis and recurrence.
Regardless of the histological type, the majority of THCs harbor leukocyte and macrophage features. However, the number of THCs with markers of leukocytes and macrophages and THCs with stem features is significantly higher in LUAD than in LUSC. The number and frequency of THCs depend on NACT. Hybrid cells with leukocyte and macrophage characteristics and THCs with stem, leukocyte and macrophage markers are prevalent in patients without NACT. Distant metastases and recurrence are associated with THCs. Hybrid cells carrying stem and macrophage markers (EpCAM+CD45+CD44+CD73+CD163+) are associated with distant metastases regardless of clinicopathological characteristics. Locoregional recurrence is associated with THCs with stem and leukocyte features (pan-CK+CD45+CD44+CD73+).
Previous study showed that NSCLC patients have giant KRT8/18/19+ or EpCAM+ and CD14+CD45+ hybrid cells of macrophage origin in the bloodstream, which are associated with shorter overall and disease-free survival [32]. Another study demonstrated that merging of mesenchymal stem cells and lung cancer cells leads to the formation of THCs with stem and epithelial-mesenchymal transition features and increased motility [33]. It has been also shown that cancer cells fuse with M2 macrophages, and such cells demonstrate stem-like characteristics (CD44+CD24–) and contribute to breast cancer metastasis [34].
However, the main limitation of this study is the use of a limited set of markers, which does not allow the phenotypic diversity of THCs to be fully characterized. Accordingly, future research should be based on the use of high-throughput methods, for example, single-cell sequencing, as shown previously in other cancers [35, 36], which will allow not only to assess the diversity of THCs in detail, but also to understand the mechanisms of their formation and interaction with other tumor, immune and stromal cells.
Conclusion
Taken together, this study provides a detailed characterization of THC population composition in NSCLC that depends on neoadjuvant chemotherapy and is associated with locoregional recurrence and distant metastases.
Об авторах
А. А. Хозяинова
Томский национальный исследовательский медицинский центр
Email: max89me@yandex.ru
ORCID iD: 0000-0002-5475-5981
SPIN-код: 4201-0611
г. Томск, Российская Федерация
М. Е. Меняйло
Томский национальный исследовательский медицинский центр
Автор, ответственный за переписку.
Email: max89me@yandex.ru
ORCID iD: 0000-0003-4630-4934
SPIN-код: 6929-4298
г. Томск, Российская Федерация
М. С. Третьякова
Томский национальный исследовательский медицинский центр
Email: max89me@yandex.ru
ORCID iD: 0000-0002-5040-931X
SPIN-код: 5207-8330
г. Томск, Российская Федерация
У. А. Бокова
Томский национальный исследовательский медицинский центр
Email: max89me@yandex.ru
ORCID iD: 0000-0003-2179-5685
SPIN-код: 3546-0527
г. Томск, Российская Федерация
А. А. Коробейникова
Томский национальный исследовательский медицинский центр
Email: max89me@yandex.ru
ORCID iD: 0000-0002-2633-9884
SPIN-код: 5523-8156
г. Томск, Российская Федерация
Т. С. Геращенко
Томский национальный исследовательский медицинский центр
Email: max89me@yandex.ru
ORCID iD: 0000-0002-7283-0092
SPIN-код: 7900-9700
г. Томск, Российская Федерация
Е. О. Родионов
Томский национальный исследовательский медицинский центр
Email: max89me@yandex.ru
ORCID iD: 0000-0003-4980-8986
SPIN-код: 7650-2129
г. Томск, Российская Федерация
С. В. Миллер
Томский национальный исследовательский медицинский центр
Email: max89me@yandex.ru
ORCID iD: 0000-0002-5365-9840
SPIN-код: 6510-9849
г. Томск, Российская Федерация
Е. В. Денисов
Томский национальный исследовательский медицинский центр
Email: max89me@yandex.ru
ORCID iD: 0000-0003-2923-9755
SPIN-код: 9498-5797
г. Томск, Российская Федерация
Список литературы
- Sung H, Ferlay J, Siegel RL, Laversanne M, Soerjomataram I, Jemal A, Bray F. Global Cancer Statistics 2020: GLOBOCAN Estimates of Incidence and Mortality Worldwide for 36 Cancers in 185 Countries. CA: A Cancer Journal for Clinicians. 2021;71(3):209–249. doi: https://doi.org/10.3322/caac.21660
- Herbst RS, Morgensztern D, Boshoff C. The biology and management of non-small cell lung cancer. Nature. 2018;553(7689):446–454. doi: 10.1038/nature25183
- Howlader N, Forjaz G, Mooradian MJ, Meza R, Kong CY, Cronin KA, Mariotto AB, Lowy DR, Feuer EJ. The Effect of Advances in Lung-Cancer Treatment on Population Mortality. N Engl J Med. 2020;383(7):640–649. doi: 10.1056/NEJMoa1916623
- Mittal V. Epithelial Mesenchymal Transition in Tumor Metastasis. Annual Review of Pathology: Mechanisms of Disease. 2018;13(1):395–412. doi: 10.1146/annurev-pathol-020117-043854
- Huang Z, Zhang Z, Zhou C, Liu L, Huang C. Epithelial–mesenchymal transition: The history, regulatory mechanism, and cancer therapeutic opportunities. MedComm. 2022;3(2): e144. doi: https://doi.org/10.1002/mco2.144
- Кондратюк Р.Б., Греков И.С., Селезнёв Е.А. Влияние микроокружения на развитие эпителиально-мезенхимальной трансформации в раке легкого // Вестник Российского университета дружбы народов. Серия: Медицина. 2022. Т. 26. № 3. С. 325–337. doi: 10.22363/2313-0245-2022-26-3-325-337.
- Menyailo ME, Tretyakova MS, Denisov EV. Heterogeneity of Circulating Tumor Cells in Breast Cancer: Identifying Metastatic Seeds. Int J Mol Sci. 2020;21(5):1696. doi: 10.3390/ijms21051696
- Aramini B, Masciale V, Grisendi G, Bertolini F, Maur M, Guaitoli G, Chrystel I, Morandi U, Stella F, Dominici M, Haider KH. Dissecting Tumor Growth: The Role of Cancer Stem Cells in Drug Resistance and Recurrence. Cancers (Basel). 2022;14(4):976. doi: 10.3390/cancers14040976
- Ye X, Huang X, Fu X, Zhang X, Lin R, Zhang W, Zhang J, Lu Y. Myeloid-like tumor hybrid cells in bone marrow promote progression of prostate cancer bone metastasis. Journal of Hematology & Oncology. 2023;16(1):46. doi: 10.1186/s13045-023-01442-4
- Montalbán-Hernández K, Cantero-Cid R, Casalvilla-Dueñas JC, Avendaño-Ortiz J, Marín E, Lozano-Rodríguez R, Terrón-Arcos V, Vicario-Bravo M, Marcano C, Saavedra-Ambrosy J, Prado- J, Valentín J, Pérez de Diego R, Córdoba L, Pulido E, del Fresno C, Dueñas M, López-Collazo E. Colorectal Cancer Stem Cells Fuse with Monocytes to Form Tumour Hybrid Cells with the Ability to Migrate and Evade the Immune System. Cancers. 2022;14(14):3445. doi: 10.3390/cancers14143445
- Scemama A, Lunetto S, Tailor A, Di Cio S, Ambler L, Coetzee A, Cottom H, Khurram SA, Gautrot J, Biddle A. Hybrid cancer stem cells utilise vascular tracks for collective streaming invasion in a metastasis-on-a-chip device. bioRxiv. 2024;2024.01.02.573897. doi: 10.1101/2024.01.02.573897
- Dörnen J, Sieler M, Weiler J, Keil S, Dittmar T. Cell Fusion-Mediated Tissue Regeneration as an Inducer of Polyploidy and Aneuploidy. Int J Mol Sci. 2020;21(5):1811. doi: 10.3390/ijms21051811
- Sutton TL, Walker BS, Wong MH. Circulating Hybrid Cells Join the Fray of Circulating Cellular Biomarkers. Cellular and Molecular Gastroenterology and Hepatology. 2019;8(4):595–607. doi: https://doi.org/10.1016/j.jcmgh.2019.07.002
- Tretyakova MS, Subbalakshmi AR, Menyailo ME, Jolly MK, Denisov EV. Tumor Hybrid Cells: Nature and Biological Significance. Frontiers in Cell and Developmental Biology. 2022;10:814714. doi: 10.3389/fcell.2022.814714
- Zhang LN, Huang YH, Zhao L. Fusion of macrophages promotes breast cancer cell proliferation, migration and invasion through activating epithelial-mesenchymal transition and Wnt/β-catenin signaling pathway. Arch Biochem Biophys. 2019;676:108137. doi: 10.1016/j.abb.2019.108137
- Lartigue L, Merle C, Lagarde P, Delespaul L, Lesluyes T, Le Guellec S, Pérot G, Leroy L, Coindre JM, Chibon F. Genome remodeling upon mesenchymal tumor cell fusion contributes to tumor progression and metastatic spread. Oncogene. 2020; 39(21):4198–4211. doi: 10.1038/s41388-020-1276-6
- Gast CE, Silk AD, Zarour L, Riegler L, Burkhart JG, Gustafson KT, Parappilly MS, Roh-Johnson M, Goodman JR, Olson B, Schmidt M, Swain JR, Davies PS, Shasthri V, Iizuka S, Flynn P, Watson S, Korkola J, Courtneidge SA, Fischer JM, Jaboin J, Billingsley KG, Lopez CD, Burchard J, Gray J, Coussens LM, BC, Wong MH. Cell fusion potentiates tumor heterogeneity and reveals circulating hybrid cells that correlate with stage and survival. Sci Adv. 2018;4(9): eaat7828. doi: 10.1126/sciadv.aat7828
- Aguirre LA, Montalbán-Hernández K, Avendaño-Ortiz J, Marín E, Lozano R, Toledano V, Sánchez-Maroto L, Terrón V, Valentín J, Pulido E, Casalvilla JC, Rubio C, Diekhorst L, Laso-García F, Del Fresno C, Collazo-Lorduy A, Jiménez-Munarriz B, Gómez-Campelo P, Llanos-González E, Fernández-Velasco M, Rodríguez-Antolín C, Pérez de Diego R, Cantero-Cid R, Hernádez-Jimenez E, Álvarez E. Rosas R, Dies López-Ayllón B, de Castro J, Wculek SK, Cubillos-Zapata C, Ibáñez de Cáceres I, Díaz-Agero P, Gutiérrez Fernández M, Paz de Miguel M, Sancho D, Schulte L, Perona R, Belda-Iniesta C, Boscá L, López-Collazo E. Tumor stem cells fuse with monocytes to form highly invasive tumor-hybrid cells. Oncoimmunology. 2020;9(1):1773204. doi: 10.1080/2162402x.2020.1773204
- Ye N, Cai J, Dong Y, Chen H, Bo Z, Zhao X, Xia M, Han M. A multi-omic approach reveals utility of CD45 expression in prognosis and novel target discovery. Frontiers in Genetics. 2022;13: 928328. doi: 10.3389/fgene.2022.928328
- Chen Y, Cui T, Yang L, Mireskandari M, Knoesel T, Zhang Q, Pacyna-Gengelbach M, Petersen I. The diagnostic value of cytokeratin 5/6, 14, 17, and 18 expression in human non-small cell lung cancer. Oncology. 2011;80(5–6):333–40. doi: 10.1159/000329098
- Kim Y, Kim HS, Cui ZY, Lee HS, Ahn JS, Park CK, Park K, Ahn MJ. Clinicopathological implications of EpCAM expression in adenocarcinoma of the lung. Anticancer Res. 2009;29(5):1817–22.
- Han C, Liu T, Yin R. Biomarkers for cancer-associated fibroblasts. Biomarker Research. 2020;8(1):64. doi: 10.1186/s40364-020-00245-w
- Kahounová Z, Kurfürstová D, Bouchal J, Kharaishvili G, Navrátil J, Remšík J, Šimečková Š, Študent V, Kozubík A, Souček K. The fibroblast surface markers FAP, anti-fibroblast, and FSP are expressed by cells of epithelial origin and may be altered during epithelial-to-mesenchymal transition. Cytometry A. 2018;93(9):941–951. doi: 10.1002/cyto.a.23101
- Walcher L, Kistenmacher AK, Suo H, Kitte R, Dluczek S, Strauß A, Blaudszun AR, Yevsa T, Fricke S, Kossatz-Boehlert U. Cancer Stem Cells — Origins and Biomarkers: Perspectives for Targeted Personalized Therapies. Frontiers in Immunology. 2020;11:1280. doi: 10.3389/fimmu.2020.01280
- Ma XL, Hu B, Tang WG, Xie SH, Ren N, Guo L, Lu RQ. CD73 sustained cancer-stem-cell traits by promoting SOX9 expression and stability in hepatocellular carcinoma. Journal of Hematology & Oncology. 2020;13(1):1–16. doi: 10.1186/s13045-020-0845-z
- Rakaee M, Busund LR, Jamaly S, Paulsen EE, Richardsen E, Andersen S, Al-Saad S, Bremnes RM, Donnem T, Kilvaer TK. Prognostic Value of Macrophage Phenotypes in Resectable Non-Small Cell Lung Cancer Assessed by Multiplex Immunohistochemistry. Neoplasia. 2019;21(3):282–293. doi: 10.1016/j.neo.2019.01.005
- Shabo I, Midtbö K, Andersson H, Åkerlund E, Olsson H, Wegman P, Gunnarsson C, Lindström A. Macrophage traits in cancer cells are induced by macrophage-cancer cell fusion and cannot be explained by cellular interaction. BMC Cancer. 2015;15(1):922. doi: 10.1186/s12885-015-1935-0
- Pfannschmidt J. Editorial on “Long-term survival outcome after postoperative recurrence of non-small cell lung cancer: who is ‘cured’ from postoperative recurrence?”. J Thorac Dis. 2018;10(2):610–613. doi: 10.21037/jtd.2018.01.02
- Sekihara K, Hishida T, Yoshida J, Oki T, Omori T, Katsumata S, Ueda T, Miyoshi T, Goto M, Nakasone S, Ichikawa T, Matsuzawa R, Aokage K, Goto K, Tsuboi M. Long-term survival outcome after postoperative recurrence of non-small-cell lung cancer: who is ‘cured’ from postoperative recurrence? Eur J Cardiothorac Surg. 2017;52(3):522–528. doi: 10.1093/ejcts/ezx127
- Lou F, Huang J, Sima CS, Dycoco J, Rusch V, Bach PB. Patterns of recurrence and second primary lung cancer in early-stage lung cancer survivors followed with routine computed tomography surveillance. J Thorac Cardiovasc Surg. 2013;145(1):75–81. doi: 10.1016/j.jtcvs.2012.09.030
- Chitwood CA, Dietzsch C, Jacobs G, McArdle T, Freeman BT, Banga A, Noubissi FK, Ogle BM. Breast tumor cell hybrids form spontaneously in vivo and contribute to breast tumor metastases. APL Bioeng. 2018;2(3):031907. doi: 10.1063/1.5024744
- Manjunath Y, Mitchem JB, Suvilesh KN, Avella DM, Kimchi ET, Staveley-O’Carroll KF, Deroche CB, Pantel K, Li G, KaifiJT. Circulating Giant Tumor-Macrophage Fusion Cells Are Independent Prognosticators in Patients With NSCLC. Journal of Thoracic Oncology. 2020;15(9):1460–1471. doi: https://doi.org/10.1016/j.jtho.2020.04.034
- Xu MH, Gao X, Luo D, Zhou XD, Xiong W, Liu GX. EMT and acquisition of stem cell-like properties are involved in spontaneous formation of tumorigenic hybrids between lung cancer and bone marrow-derived mesenchymal stem cells. PLoS One. 2014;9(2): e87893. doi: 10.1371/journal.pone.0087893
- Ding J, Jin W, Chen C, Shao Z, Wu J. Tumor associated macrophage× cancer cell hybrids may acquire cancer stem cell properties in breast cancer. PloS one. 2012;7(7): e41942. 10.1371/journal.pone.0041942
- Menyailo ME, Zainullina VR, Khozyainova AA, Tashireva LA, Zolotareva SY, Gerashchenko TS, Alivanov VV, Savelieva OE, Grigoryeva ES, Tarabanovskaya NA, Popova NO, Choinzonov EL, Cherdyntseva NV, Perelmuter VM, Denisov EV. Heterogeneity of Circulating Epithelial Cells in Breast Cancer at Single-Cell Resolution: Identifying Tumor and Hybrid Cells. Advanced Biology. 2023;7(2):2200206. doi: 10.1002/adbi.202200206
- Anderson AN, Conley P, Klocke CD, Sengupta SK, Robinson TL, Fan Y, Jones JA, Gibbs SL, Skalet AH, Wu G, Wong MH. Analysis of uveal melanoma scRNA sequencing data identifies neoplastic-immune hybrid cells that exhibit metastatic potential. bioRxiv. 2023;10. doi: 10.1101/2023.10.24.563815
Дополнительные файлы













