Mechanisms of Regulation Allergic and Autoimmune Reactions by Bacterial Origin Bioregulators
- Authors: Guryanova S.V.1,2, Sigmatulin I.A.3, Gigani O.O.2, Lipkina S.A.3
-
Affiliations:
- M.M. Shemyakin and Yu.A. Ovchinnikov Institute of Bioorganic Chemistry
- RUDN University
- Lomonosov Moscow State University
- Issue: Vol 27, No 4 (2023): PHYSIOLOGY. EXPERIMENTAL PHYSIOLOGY
- Pages: 470-482
- Section: IMMUNOLOGY
- URL: https://journals.rudn.ru/medicine/article/view/37173
- DOI: https://doi.org/10.22363/2313-0245-2023-27-4-470-482
- EDN: https://elibrary.ru/IUGAPQ
- ID: 37173
Cite item
Full Text
Abstract
Relevance. The increase in allergic and autoimmune diseases observed in recent decades highlights the need for therapy and prevention, which requires detailed research into the mechanisms of their occurrence. The onset and progression of allergic and autoimmune diseases are influenced by genetic predisposition, lifestyle, environmental factors, and disruptions in the coordinated operation of the immune system, and as a consequence of immune homeostasis. Treatment of these diseases is primarily symptomatic and often accompanied by undesirable side effects. Immune system disorders in various pathologies have their own characteristics for each type of disease, and at the same time have common mechanisms. Considering the presence of a large number of various microorganisms in the human body, taking their influence into account is of paramount importance. Microorganisms are a source of biologically active molecules, the action of which can either prevent and reduce the severity of the disease or exacerbate it. The aim of this study was to analyze the cytokine profile of the effects of fragments of cell walls of Gram-negative and Gram-positive bacteria - lipopolysaccharide (LPS) and muramyl peptide (MP), as well as nisin - an antimicrobial peptide of bacterial origin on human mononuclear cells. Materials and Methods. Mononuclear cells were obtained from peripheral blood of healthy volunteers using Cell separation media Lympholyte CL 5015, and were cultured in the presence of LPS, GMDP and bacteriocin nisin. The cytokine activity of LPS, GMDP and bacteriocin nisin was examined using the multiplex cytokine analysis; the analysis of surface markers was determined flow cytometry. Results and Discussion. It was shown that bacterial cell wall fragments to a much greater extent than nisin induce the production of cytokines, chemokines, and growth factors. It was established that LPS and MP increase the expression of CD11c on dendritic cells, while bacteriocin nisin does not affect the increase of CD11c+ DCs. LPS and MP in the conducted ex vivo studies did not affect the emergence of CCR7. Conclusion. Bacterial origin bioregulators trigger a negative feedback mechanism by inducing the synthesis of anti-inflammatory factors, that can prevent the inflammatory process. Understanding the molecular mechanisms of the influence of bacterial origin bioregulators on the human body opens new approaches in the prevention and development of personalized therapy strategies.
Full Text
Introduction
Allergic and autoimmune diseases represent two main categories of immune dis-orders affecting a significant number of people worldwide. These diseases are characterized by abnormal immune responses, but differ in their mechanisms and impact on the body [1, 2]. Allergic and autoimmune diseases have reached epidemic proportions and currently affect more than one billion people [3].
Allergic diseases are characterized by the immune system’s hyperreactivity to external allergens such as pollen, dust, animals, and certain foods. The most common forms of allergic diseases are asthma, atopic dermatitis (AD), allergic rhinitis, and food allergy [4]. Currently, 10 % of children suffer from food allergy, and 20–25 % of adults have at least one allergic disease [5, 6]. According to the 2019 Global Burden of Disease study, there were 262 million cases of asthma and 171 million cases of AD worldwide in 2019; the 3416 and 2277 per 100,000 population, respectively, for asthma and AD [7–9]. A sharp increase in prevalence has been noted in developed countries over the past few decades, and an increase in incidence is expected in developing countries [6].
Autoimmune diseases occur when the immune system mistakenly attacks the body’s own cells and tissues. This includes diseases such as rheumatoid arthritis, systemic lupus erythematosus, celiac disease, and many others [10]. The prevalence of autoimmune diseases is increasing and is estimated at 10.2 % based on the study of electronic medical records of more than 22 million people [11]. The annual growth of the overall morbidity and prevalence of autoimmune diseases worldwide is 19.1 % and 12.5 % respectively [12], with 63.9 % of these diagnosed individuals being women and 36.1 % men [11]. The predominance of women with autoimmune diseases is also noted in other studies [10]. The mechanisms of autoimmune reactions are divided into two fundamental pathological processes — autoimmunity and autoinflammation, which can potentiate each other [13]. Autoimmunity is associated with the disruption of immunological tolerance to normal tissue proteins (autoantigens), is associated with the predominance of acquired (adaptive) immunity activation, and is manifested by hyperproduction of autoantibodies. Autoinflammation, in turn, is considered as a pathological process based on the genetically determined (or induced) activation of innate immunity [13–17].
Allergic and autoimmune diseases are of global significance, as they affect the health of millions of people. Each category has its unique challenges in the field of management and treatment. Allergic diseases most often require symptom management and prevention of allergen exposure, while autoimmune diseases often require a more complex approach to treatment, including suppression of the immune system and identification of underlying causes. Existing management and treatment strategies significantly improve the quality of life of patients, but often do not achieve the goal of long-term remission without appropriate therapy [18]. An important aspect of managing these diseases is early diagnosis, which allows for treatment to begin at the most effective time and minimizes the risk of long-term complications [19]. In the context of allergic diseases, key strategies include avoiding allergens and using medications such as antihistamines, corticosteroids, and inhalers to control symptoms [4, 20–22]. In some cases, immunotherapy aimed at reducing sensitivity to allergens may be recommended [1, 2]. In the case of autoimmune diseases, the treatment approach often includes immunosuppressive drugs to reduce immune system activity and inflammation [2]. Individual treatment plans may include the use of nonsteroidal anti-inflammatory drugs (NSAIDs), biological agents, and immune response modifiers, which can have local and systemic side effects [2, 23]. Side effects of antihistamines can include drowsiness, blurred vision, dry mouth, constipation or difficulty urinating, headache, and fatigue. Nasal corticosteroids can include nose irritation, nosebleeds, headache, and sometimes perforation of the nasal septum with prolonged use. Long-term use of oral corticosteroids can cause side effects including weight gain, increased risk of infections, osteoporosis, increased blood pressure, and sleep disturbances. Decongestants used to relieve nasal congestion can cause insomnia, headache, increased blood pressure, and irritability. Immunotherapy (allergen-specific immunotherapy) can lead to allergic reactions, including skin reactions at the injection site, nasal congestion, throat itching, or, in rare cases, anaphylaxis. Side effects of biological drugs used to treat severe allergic diseases such as asthma can include headache, injection site reactions, increased risk of infections, renal failure, and slowed growth in children [24–28]. In severe cases, an anaphylactic reaction with serious consequences can develop [29].
Among the mechanisms and risk factors for the pathophysiology of allergic and autoimmune diseases, the presence of various and common factors is identified, including genetic, environmental factors, lifestyle, and response to the microbiome [3, 10, 30]. The microbiome is assigned a key role in the development and evolution of these diseases [3, 31]. A significant part of the human microbiome is concentrated in the gut, mostly in the colon and the proximal part of the small intestine [32, 33]. Bacteria residing in the gut are a source of biologically active substances, and they also help the host digest complex foods and synthesize necessary metabolites, such as vitamins B and K [34, 35]. Metabolites and bacterial components regulate the host’s immune response by affecting the proliferation, migration, differentiation, and effector functions of immune cells and influence the development of allergic diseases [36, 37]. Key mechanisms of action of bacterial origin bioregulators (BOBs) affect their impact on humoral and cellular factors, modulating both links of immunity — innate and adaptive. BOBs modulate the reactivity of the immune system: they can stimulate the immune system to a higher or lower than normal response to allergens. For example, lipopolysaccharide (LPS), the main component of the outer surface membrane of gram-negative bacteria [38], increases the level of inflammatory cytokines [39–41], which in turn can enhance allergic and autoimmune reactions [42, 43]. It is important to note the complex mechanism of regulation of inflammatory reactions by lipopolysaccharide: prolonged exposure to LPS induces the production of anti-inflammatory cytokines and transcription factors that limit inflammation [40, 44, 45]. Muramyl peptide (MP), a component of the cell walls of gram-positive bacteria, also has a dual effect; the primary impact of MP stimulates pro-inflammatory reactions, while with prolonged exposure MP generates anti-inflammatory factors [44]. Dysregulation of the adequate immune response to BOBs exacerbates the course of allergic and autoimmune diseases [46, 47].
Mechanisms of action of bacterial origin bioregulators can be carried out through corresponding receptors of innate immunity or directly, affecting cell membranes. For example, LPS exerts its activity through TLR4, muramyl peptides activate NLRs, while antimicrobial peptides produced by bacteria and called bacteriocins can have a nonspecific effect due to amphiphilicity and electrostatic interaction with the eukaryotic membranes [48–51]. Conflicting results of the effects of bacterial origin bioregulators require further research to accurately predict their effects and influence on the initiation and progression of allergic and autoimmune diseases. The aim of the current study was to determine the influence of LPS, MP, and bacteriocin nisin on humoral factors — cytokine production, as well as on the change in phenotype of dendritic cells, which take an active part in innate immunity and the formation of tolerance.
Materials and Methods
Isolation of mononuclear cells
Blood was collected with the written informed consent of healthy donors aged 20–22 years. The experiment protocol was approved by the University’s Ethical Commission, N 21 from 11.10.2021. Peripheral blood was collected in tubes (Vacuette, Greiner Bio-One, Austria) with anticoagulant (0.1 ml of 2.7 % EDTA solution; pH 7.2–7.4 per 1 ml of blood). Whole blood was diluted in a 1:3 ratio with phosphate-buffered saline (PBS, PanEco, Moscow, Russia), layered onto Cell separation media Lympholyte CL 5015 (Cedarlane Laboratories Limited, Ontario, Canada), and centrifuged for 40 min at 400 G. Mononuclear cells (MNCs) were washed twice (10 min; 1000 rpm) by centrifugation in excess PBS and resuspended in complete RPMI 1640 medium (Gibco, Waltham, MA, USA), containing 10 % fetal bovine serum, 100 U/ml penicillin, 100 µg/ml streptomycin, and 10 mM Hepes buffer (pH 7.2) (PanEco, Moscow, Russia). Cell viability was determined by trypan blue staining.
Cultivation of human mononuclear cells in the presence of LPS, MP, and bacteriocin nisin to determine cytokine activity
Mononuclear cells were added to the wells of a 96‑well round-bottom plate (Costar, Washington, WA, USA), at 0.2 x106 per well, and glucosaminylmuramyldipeptide (MP, GMDP) was added at a final concentration of 5 µg/ml, with lipopolysaccharide (LPS) (1 µg/ml), bacteriocin nisin (1 ng/ml), and an equal volume of medium to control wells. Concentrations were determined by preceding experiments and corresponded to the maximum plateau values [52]. The plates were incubated for 4 hours at 37 °C in a 5 % CO2 atmosphere, the supernatant was collected, and cytokines were tested.
Multiplex cytokine analysis
Multiplex cytokine analysis was performed using magnetic beads with antibodies for the determination of human cytokines/chemokines using the Luminex 200, Merck (Millipore) equipment, and software (Burlington, Massachusetts, USA). For this purpose, supernatants of mononuclear cells, previously cultured with LPS, MP, nisin, and phosphate buffer as a control, were collected and analyzed according to the manufacturer’s instructions. Assays included a bead-based fluorescence MILLIPLEX® assay/Luminex fluorescence platform (LMX).
Cultivation of human blood cells in the presence of LPS, MP, and bacteriocin nisin to determine surface markers
Peripheral blood was collected in tubes (Vacuette, Greiner Bio-One, Austria) with anticoagulant (0.1 ml of 2.7 % EDTA solution; pH 7.2–7.4 per 1 ml of blood) and MP was added at a final concentration of 5 µg/ml, with LPS (1 µg/ml), bacteriocin nisin (1 ng/ml), and an equal volume of medium to control samples.
Flow cytometry
For the analysis of surface markers, blood samples were incubated with 2 µM of LPS, MP, and nisin for 1 h at +36 °C and then with specific antibodies for 1 h at +4 °C, washed, and measured on a CytoFLEX device (Beckman Coulter LS, Indianapolis, USA), data was analyzed by CytExpert software. Phenotyping was performed using markers HLA-DR PE-Cy5, CD11c APC, CD123 APC-eFluor780, CCR7 PE-Cy7 against CD3, CD20, CD56, CD14; CD80, CD83 markers. MDC populations were determined by HLADR+ CD3- CD14- CD20- CD56- CD11c+ CD123-, PDC was determined by markers HLA-DR+ CD3- CD14- CD20- CD56- CD11c + CD123+ FITC (BD Biosciences, USA).
Statistics
Statistical analysis was conducted using MS Excel software. Data are presented as the mean ± SEM of at least two independent experiments or as one representative experiment of two. For determining intergroup differences of independent samples and assessing their statistical significance with a normal distribution, an unpaired Student’s t-test was applied. Significance levels of p < 0.05 were considered statistically reliable.
Results and Discussion
The influence of LPS, MP, and bacteriocin nisin on cytokine production
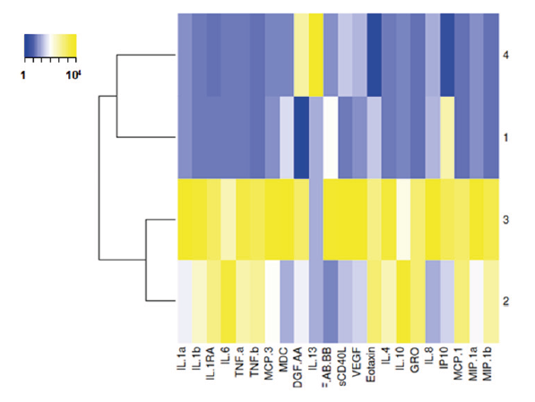
Allergic and autoimmune diseases develop as a result of an aberrant body reaction to harmless antigens or antigens of one’s own tissues with direct regulation by cytokines and chemokines. The study of the influence of LPS, MP, and bacteriocin nisin on the production of cytokines by mononuclear cells from healthy donors using a fluorescent method showed significant differences in their ability to stimulate the production of cytokines, chemokines, and growth factors. The analysis of the levels of production of cytokines, chemokines, and growth factors under the influence of bacterial origin bioregulators has established that muramylpeptide and lipopolysaccharide have the most active influence (Fig. 1).
Fig.1. The influence of LPS, MP, and bacteriocin nisin on the production of cytokines, chemokines, and growth factors; 1 — samples with nisin; 2 — samples with lipopolysaccharide; 3 — samples with muramylpeptide; 4 — control samples
LPS and MP increased almost all pro-inflammatory and anti-inflammatory cytokines, chemokines and growth factors, with the exception of IL‑13 and PDGF-AA, on which LPS had a slight effect.
Muramyl peptide increased all levels of the substances studied except for IL‑13. Interestingly, LPS, MP, and bacteriocin nisin lowered the level of IL‑13 by more than three orders of magnitude. IL‑13 plays a critical role in the regulation of allergic reactions by participating in B cell maturation and IgE production. On the other hand, IL‑13 can suppress macrophage activity, reducing inflammation and tissue damage.
Nisin showed the least pronounced activity in increasing the substances studied, PDGF-AA was decreased by half compared to the unstimulated sample. Platelet-derived growth factor (PDGF)-AA, -AB, and -BB has multiple functions including the ability to stimulate cell growth and proliferation. (PDGF)-AA, -AB, and -BB play a key role in angiogenesis and blood vessel formation, induce and differential chemotaxis of early-passage rat lung fibroblasts in vitro [53].
In the study, LPS and MP increased the production of IL‑10 by 42 and 22 times, respectively, while nisin also increased its level, but to a much lesser extent; the increase was three times compared to the control value. Our results are consistent with the data of other researchers who noted an increase in IL‑10 under the influence of nisin in experimental animal models [54, 55]. IL‑10 is an anti-inflammatory cytokine that regulates the balance of the immune response in maintaining immune homeostasis. IL‑10 reduces the expression of Th1, Th17 cytokines, and together with MHC class II antigens and costimulatory molecules on macrophages, may also suppress the activity of macrophages and dendritic cells, maintaining immune homeostasis. The experimentally discovered ability of BOBs to significantly increase the production of IL‑10 is an important confirmation of the regulatory role of BOBs on all populations of immunocompetent cells.
The influence of LPS, MP, and bacteriocin nisin on the surface markers of DCs
A study was conducted on the influence of MP, as well as LPS, adrenaline, and noradrenaline in an ex vivo system. For this, whole blood samples from volunteers were incubated for with MP, LPS and bacteriocin nisin. The studies have established that the ex vivo introduction of MP and LPS into the peripheral blood of healthy donors does not affect the gene expression of the chemokine receptor CCR7, while LPS, MP contributed to an increase in the number of CD11c+ DCs (Fig. 2–5).
Fig. 2. Expression of dendritic cell markers in the control sample
Fig. 3. Expression of dendritic cell markers in the PBMC sample in the presence of MP
Fig.4. Expression of dendritic cell markers in the PBMC sample in the presence of LPS
Fig.5. Expression of dendritic cell markers in the PBMC sample in the presence of nisin
It is important to note that the membrane protein CD11c is the alpha subunit of integrin αXβ2, as well as the complement receptor 4 (CR4) and integrin CD11c/CD18 interacts with various ligands, including iC3b of the complement system, fibrinogen, with intercellular adhesion molecules (ICAM) or LPS, and ensures the participation of DCs in the remodeling of the extracellular matrix, phagocytosis, migration, and cell adhesion [56]. Furthermore, DCs deprived of CD11c are unable to respond to chemokines induced by inflammatory stimuli, such as MCP, MIP1, MIP3 [57]. According to the study results, MP and LPS increased the number of CD11c+ DCs by 29 %, 31 %, respectively, whereas bacteriocin nisin did not have a statistically significant effect on the studied DC markers (Table).
Change in CD11c expression under the influence of LPS, MP, and nisin, Me (Q0, 25-Q0, 75)
Control | MP | LPS | Nisin |
100 % * (91–107) | 129 % * (119–139) | 131 % * (119–142) | 105 % (95–116) |
Note: * — significance of differences compared to control values, p < 0.05.
It is known that bacterial bioregulators through interaction with epithelial cells, antigen-presenting cells (such as dendritic cells (DCs)), and through the production of signaling metabolites can induce the production of not only pro-inflammatory but also antiinflammatory cytokines. For example, exopolysaccharides from Bifidobacterium breve promote immune tolerance, reducing the production of pro-inflammatory cytokines and preventing the response of B-cells [58]. Early exposure of the immune system to certain bacterial agents may promote tolerance to allergens, preventing allergic diseases [3, 52]. MPs from Gram-positive bacteria can shift the Th1/Th2 balance, providing a therapeutic effect in allergopathologies and have prophylactic effect in prevention of seasonal diseases [59–62]. At the same time, bacterial bioregulators can affect the integrity and function of epithelial barriers, such as the intestinal and respiratory barriers. Disruptions of these barriers can in-crease the likelihood of developing allergic reactions [37]. Some bioregulators have the ability to modulate immune responses, for example, by exerting an adjuvant effect [63], or by enhancing regulatory T cells, which can suppress allergic reactions by enhancing regulatory T-cells, suppressing allergic reactions. In particular, the short-chain fatty acid (SCFA) butyrate, produced by commensal microorganisms during starch fermentation, promotes the extrathymic generation of regulatory T-cells (Treg cells) [64, 65].
Some bacteria may promote the production of anti-inflammatory cytokines such as IL‑10, which may be useful in the context of autoimmune diseases [66, 67]. Bacterial origin bioregulators can help maintain peripheral tolerance in preventing the development of allergic and auto-immune reactions against one’s own tissues, including by changing the phenotype of DCs, the mature variants of which are involved in ensuring tolerance [68].
The treatment approach often requires long-term monitoring and adjustments based on patient response. Research in the field of allergic and autoimmune diseases continues, aimed at better understanding the etiology and mechanisms of diseases. This makes it possible to develop new therapeutic approaches and improve existing treatments. For example, in the field of autoimmune diseases, new biologics and cell therapies are being explored that may offer more precise and less toxic treatments. This large-scale study highlights the increasing incidence of these diseases and their impact on public health. These studies highlight the importance of global efforts to improve the understanding, diagnosis, treatment and prevention of autoimmune diseases, highlighting their growing importance as a public health problem. Allergic and autoimmune diseases require a comprehensive approach to management and treatment using modern systems biomedicine approaches [69, 70].
Conclusion
Bacterial origin bioregulators — LPS, GMDP, and nisin modulate the response of immune cells, influencing the production of cytokines, chemokines, growth factors, and adhesion. The ability of BOBs to reduce the secretion of IL‑13 by mononuclear cells by thousands of times and increase IL‑10 by tens of times indicates the significant potential of these compounds in maintaining immune homeostasis and in the prevention and treatment of allergic and autoimmune diseases. Bacterial origin bioregulators trigger a negative feedback mechanism by inducing the synthesis of anti-inflammatory factors, that can prevent the inflammatory process.
Cytometric studies of the effect of BOBs on DC differentiation markers showed that not all bacterial origin bioregulators can change the phenotype of DCs: LPS and GMDP increase the expression of CD11c on DCs, while the bacteriocin nisin does not affect the increase in CD11c+ of DCs involved in homing and ensuring tolerance in allergic and autoimmune pathologies.
Thus, bacterial cell wall fragments, realizing their activity through innate immunity receptors, to a much greater extent than nisin, induce the production of cytokines, chemokines, and growth factors. The increase in CD11c expression on dendritic cells under the influence of MP and LPS shows their participation in ensuring the remodeling of the extracellular matrix, phagocytosis, migration, and cell adhesion of DCs. In the conducted ex vivo experiments, no influence of LPS, MP, and nisin was found on the appearance of differentiation markers CCR7.
Understanding the molecular mechanisms of the influence of bioregulators of bacterial origin on the human body opens up new approaches to the regulation of immune homeostasis, the development of preventive and personalized therapy strategies.
About the authors
Svetlana V. Guryanova
M.M. Shemyakin and Yu.A. Ovchinnikov Institute of Bioorganic Chemistry; RUDN University
Author for correspondence.
Email: svgur@mail.ru
ORCID iD: 0000-0001-6186-2462
SPIN-code: 6722-8695
Moscow, Russian Federation
Ilya A. Sigmatulin
Lomonosov Moscow State University
Email: svgur@mail.ru
ORCID iD: 0009-0008-2254-6932
Moscow, Russian Federation
Olga O. Gigani
RUDN University
Email: svgur@mail.ru
ORCID iD: 0000-0002-7720-0727
SPIN-code: 6541-3241
Moscow, Russian Federation
Sofia A. Lipkina
Lomonosov Moscow State University
Email: svgur@mail.ru
Moscow, Russian Federation
References
- Soyer OU, Akdis M, Ring J, Behrendt H, Crameri R, Lauener R, Akdis, CA. Mechanisms of peripheral tolerance to allergens. Allergy. 2013;68(2):161-170. doi: 10.1111/all.12085
- Rosenblum MD, Gratz IK, Paw JS, Abbas AK. Treating human autoimmunity: current practice and future prospects. Sci Transl Med. 2012;4(125):125sr1. doi: 10.1126/scitranslmed.3003504.
- Akdis CA. Does the epithelial barrier hypothesis explain the increase in allergy, autoimmunity and other chronic conditions? Nat. Rev. Immunol. 2021;21:739-751. doi: 10.1038/s41577-021-00538-7
- Wang J, Zhou Y, Zhang H. Pathogenesis of allergic diseases and implications for therapeutic interventions. Sig Transduct Target Ther. 2023;8:138. https://doi.org/10.1038/s41392-023-01344-4
- Chafen JJ, Newberry SJ, Riedl MA, Bravata DM, Maglione M, Suttorp MJ, Sundaram V, Paige NM, Towfigh A, Hulley BJ, Shekelle PG. Diagnosing and managing common food allergies: a systematic review. JAMA. 2010;303(18):1848-56. doi: 10.1001/jama.2010.582
- Linneberg A. The increase in allergy and extended challenges. Allergy. 2011;66 Suppl 95:1-3. doi: 10.1111/j.1398-9995.2011.02619.x
- Denton E, O’Hehir RE, Hew M. The changing global prevalence of asthma and atopic dermatitis. Allergy. 2023;78(8):2079-2080. doi: 10.1111/all.15754
- GBD 2019 Diseases and Injuries Collaborators. Global burden of 369 diseases and injuries in 204 countries and territories, 1990-2019: a systematic analysis for the Global Burden of Disease Study 2019. Lancet. 2020;396(10258):1204-1222. doi: 10.1016/S0140-6736(20)30925-9
- Shin YH, Hwang J, Kwon R, Lee SW, Kim MS; GBD 2019 Allergic Disorders Collaborators; Shin JI, Yon DK. Global, regional, and national burden of allergic disorders and their risk factors in 204 countries and territories, from 1990 to 2019: A systematic analysis for the Global Burden of Disease Study 2019. Allergy. 2023;78(8):2232- 2254. doi: 10.1111/all.15807
- Frazzei G, van Vollenhoven RF, de Jong BA, Siegelaar SE and van Schaardenburg D. Preclinical Autoimmune Disease: a Comparison of Rheumatoid Arthritis, Systemic Lupus Erythematosus, Multiple Sclerosis and Type 1 Diabetes. Front. Immunol. 2022;13:899372. doi: 10.3389/fimmu.2022.899372
- Conrad N, Misra S, Verbakel JY, Verbeke G, Molenberghs G, Taylor PN, Mason J, Sattar N, McMurray JJV, McInnes IB, Khunti K, Cambridge G. Incidence, prevalence, and co-occurrence of autoimmune disorders over time and by age, sex, and socioeconomic status: a population-based cohort study of 22 million individuals in the UK. Lancet. 2023;401(10391):1878-1890. doi: 10.1016/S0140-6736(23)00457-9
- Miller FW. The increasing prevalence of autoimmunity and autoimmune diseases: an urgent call to action for improved understanding, diagnosis, treatment, and prevention. Curr Opin Immunol. 2023;80:102266. doi: 10.1016/j.coi.2022.102266
- Nasonov EL. Modern concept of autoimmunity in rheumatology. Nauchno-Prakticheskaya Revmatologia. Rheumatology Science and Practice. 2023;61(4):397-420. doi: 10.47360/1995-4484-2023-397-420. (In Russian).
- Szekanecz Z, McInnes IB, Schett G, Szamosi S, Benkő S, Szűcs G. Autoinflammation and autoimmunity across rheumatic and musculoskeletal diseases. Nat Rev Rheumatol. 2021;17(10):585-595. doi: 10.1038/s41584-021-00652-9
- Hedrich CM, Tsokos GC. Bridging the gap between autoinflammation and autoimmunity. Clin Immunol. 2013;147(3):151- 154. doi: 10.1016/j.clim.2013.03.006
- Theofilopoulos AN, Kono DH, Baccala R. The multiple pathways to autoimmunity. Nat Immunol. 2017;18(7):716-724. doi: 10.1038/ni.3731
- Hedrich CM. Shaping the spectrum - From autoinflammation to autoimmunity. Clin Immunol. 2016;165:21-28. doi: 10.1016/j.clim.2016.03.002
- Sharkey P, Thomas R. Immune tolerance therapies for autoimmune diseases: Shifting the goalpost to cure. Curr Opin Pharmacol. 2022;65:102242. doi: 10.1016/j.coph.2022.102242
- Lis K, Ukleja-Sokołowska N, Karwowska K, Wernik J, Pawłowska M, Bartuzi Z. The Two-Sided Experimental Model of ImmunoCAP Inhibition Test as a Useful Tool for the Examination of Allergens Cross-Reactivity on the Example of α-Gal and Mammalian Meat Sensitization - A Preliminary Study. Curr. Issues Mol. Biol. 2023;45:1168-1182. https://doi.org/10.3390/cimb45020077
- Kaiser SV, Huynh T, Bacharier LB, Rosenthal JL, Bakel LA, Parkin PC, Cabana MD. Preventing Exacerbations in Preschoolers With Recurrent Wheeze: A Meta-Analysis. Pediatrics 2016; 137: e20154496.
- Pałgan K, Żbikowska-Götz M, Lis K, Chrzaniecka E, Bartuzi Z. Omalizumab improves forced expiratory volume in 1 second in patients with severe asthma. Postepy Dermatol Alergol. 2018;35(5):495-497. doi: 10.5114/ada.2018.77241
- Suissa S, Ernst P. Inhaled Corticosteroids: Impact on Asthma Morbidity and Mortality. J. Allergy Clin. Immunol. 2001;107:937-944.
- Hossny E, Rosario N, Lee BW, Singh M, El-Ghoneimy D, Soh J, Le Souef P. The Use of Inhaled Corticosteroids in Pediatric Asthma: Update. World Allergy Organ. J. 2016;9:26.
- Axelsson, I.; Naumburg, E.; Prietsch, S.O.; Zhang, L. Inhaled Corticosteroids in Children with Persistent Asthma: Effects of Different Drugs and Delivery Devices on Growth. Cochrane Database Syst. Rev. 2019;6: CD010126.
- van Boven JFM, de Jong-van den Berg LTW, Vegter S. Inhaled Corticosteroids and the Occurrence of Oral Candidiasis: A Prescription Sequence Symmetry Analysis. Drug Saf. 2013;36:231-236.
- Wolfgram PM, Allen DB. Effects of Inhaled Corticosteroids on Growth, Bone Metabolism, and Adrenal Function. Adv. Pediatr. 2017;64:331-345.
- Gidaris DK, Stabouli S, Bush A. Beware the Inhaled Steroids or Corticophobia? Swiss Med. Wkly. 2021, 151, w20450. doi: 10.4414/smw.2021.20450
- Bush A. Inhaled Corticosteroid and Children’s Growth. Arch. Dis. Child. 2014;99:191-192. doi: 10.1136/archdischild-2012-303105
- McLendon K, Sternard BT. Anaphylaxis. In: StatPearls. Treasure Island (FL): StatPearls Publishing; 2023. Available from: https://www.ncbi.nlm.nih.gov/books/NBK482124/
- Sestan M, Kifer N, Arsov T, Cook M, Ellyard J, Vinuesa CG, Jelusic M. The Role of Genetic Risk Factors in Pathogenesis of Childhood-Onset Systemic Lupus Erythematosus. Curr Issues Mol Biol. 2023;45(7):5981-6002. doi: 10.3390/cimb45070378
- Lv H, Wang Y, Gao Z, Liu P, Qin D, Hua Q, Xu Y. Knowledge mapping of the links between the microbiota and allergic diseases: A bibliometric analysis (2002-2021). Front Immunol. 2022;13:1045795. doi: 10.3389/fimmu.2022.1045795
- Postler TS, Ghosh S. Understanding the Holobiont: How Microbial Metabolites Affect Human Health and Shape the Immune System. Cell Metab. 2017;26(1):110-130. doi: 10.1016/j.cmet.2017.05.008
- Donaldson GP, Lee SM, Mazmanian SK. Gut biogeography of the bacterial microbiota. Nat Rev Microbiol. 2016;14(1):20-32. doi: 10.1038/nrmicro3552
- Cummings JH, Macfarlane GT. Role of intestinal bacteria in nutrient metabolism. JPEN J Parenter Enteral Nutr. 1997;21:357-365. doi: 10.1177/0148607197021006357
- Cummings JH, Pomare EW, Branch WJ, Naylor CP, Macfarlane GT. Short chain fatty acids in human large intestine, portal, hepatic and venous blood. Gut. 1987;28:1221-1227.
- Hirata SI, Kunisawa J. Gut microbiome, metabolome, and allergic diseases. Allergol Int. 2017;66(4):523-528. doi: 10.1016/j. alit.2017.06.008
- Brestoff JR, Artis D. Commensal bacteria at the interface of host metabolism and the immune system. Nat Immunol. 2013;14(7):676-84. doi: 10.1038/ni.2640
- Gorshkova RP, Isakov VV, Nazarenko EL, Ovodov YS, Guryanova SV, Dmitriev BA. Structure of the O-specific polysaccharide of the lipopolysaccharide from Yersinia kristensenii O:25.35. Carbohydr. Res. 1993;241:201-208. doi: 10.1016/0008-6215(93)80106-o
- Liu X, Yin S, Chen Y, Wu Y, Zheng W, Dong H, Bai Y, Qin Y, Li J, Feng S, Zhao P. LPS-induced proinflammatory cytokine expression in human airway epithelial cells and macrophages via NF-κB, STAT3 or AP-1 activation. Mol Med Rep. 2018;17(4):5484-5491. doi: 10.3892/mmr.2018.8542
- Sangaran PG, Ibrahim ZA, Chik Z, Mohamed Z, Ahmadiani A. Lipopolysaccharide Pre-conditioning Attenuates Pro-inflammatory Responses and Promotes Cytoprotective Effect in Differentiated PC12 Cell Lines via Pre-activation of Toll-Like Receptor-4 Signaling Pathway Leading to the Inhibition of Caspase-3/ Nuclear Factor-κappa B Pathway. Front Cell Neurosci. 2021;14:598453. doi: 10.3389/fncel.2020.598453
- DeForge LE, Remick DG. Kinetics of TNF, IL-6, and IL-8 gene expression in LPS-stimulated human whole blood. Biochem Biophys Res Commun. 1991;174(1):18-24. doi: 10.1016/0006-291x(91)90478-p.
- Khan, A.W.; Farooq, M.; Hwang, M.-J.; Haseeb, M.; Choi, S. Autoimmune Neuroinflammatory Diseases: Role of Interleukins. Int. J. Mol. Sci. 2023;24:7960. https://doi.org/10.3390/ijms24097960
- Hartman DA, Ochalski SJ, Carlson RP. The effects of antiinflammatory and antiallergic drugs on cytokine release after stimulation of human whole blood by lipopolysaccharide and zymosan A. Inflamm Res. 1995l;44(7):269-74. doi: 10.1007/BF02032567
- Guryanova SV, Gigani OB, Gudima GO, Kataeva AM Kolesnikova NV. Dual Effect of Low-Molecular-Weight Bioregulators of Bacterial Origin in Experimental Model of Asthma. Life. 2022;12:192. https://doi.org/10.3390/life12020192
- Meng CY, Gong XL, Zhao R, Lu Q, Dong XY. [Effect of maternal exposure to lipopolysaccharide during pregnancy on allergic asthma in offspring in mice]. Zhonghua Er Ke Za Zhi. 2022;60(4):302- 306. Chinese. doi: 10.3760/cma.j.cn112140-20220130-00100
- Chovanova L, Vlcek M, Krskova K, Penesova A, Radikova Z, Rovensky J, Cholujova D, Sedlak J, Imrich R. Increased production of IL-6 and IL-17 in lipopolysaccharide-stimulated peripheral mononuclears from patients with rheumatoid arthritis. Gen Physiol Biophys. 2013;32(3):395-404. doi: 10.4149/gpb_2013043
- Li Y, Chi L, Stechschulte DJ, Dileepan KN. Histamine-induced production of interleukin-6 and interleukin-8 by human coronary artery endothelial cells is enhanced by endotoxin and tumor necrosis factor-alpha. Microvasc Res. 2001;61(3):253-62. doi: 10.1006/mvre.2001.2304
- Medzhitov, R. Toll-like receptors and innate immunity. Nat. Rev. Immunol. 2001;1:135-145. doi: 10.1038/35100529
- Girardin SE, Boneca IG, Viala J, Chamaillard M, Labigne A, Thomas G, Philpott DJ, Sansonetti PJ. Nod2 is a general sensor of peptidoglycan through muramyl dipeptide (MDP) detection. J. Biol. Chem. 2003;278:8869-8872. doi: 10.1074/jbc.C200651200
- Inohara N, Ogura Y, Fontalba A, Gutierrez O, Pons F, Crespo J, Fukase K, Inamura S, Kusumoto S, Hashimoto M, Foster SJ, Moran AP, Fernandez-Luna JL, Nuñez G. Host recognition of bacterial muramyl dipeptide mediated through NOD2. Implications for Crohn’s disease. J Biol Chem. 2003;278(8):5509-12. doi: 10.1074/jbc.C200673200
- Guryanova SV. Immunomodulation, Bioavailability and Safety of Bacteriocins. Life. 2023;13:1521. https://doi.org/10.3390/life13071521
- Guryanova SV, Kataeva A. Inflammation Regulation by Bacterial Molecular Patterns. Biomedicines. 2023;11:183. https://doi.org/10.3390/biomedicines11010183
- Osornio-Vargas AR, Goodell AL, Hernández-Rodríguez NA, Brody AR, Coin PG, Badgett A, Bonner JC. Platelet-derived growth factor (PDGF)-AA, -AB, and -BB induce differential chemotaxis of early-passage rat lung fibroblasts in vitro. Am J Respir Cell Mol Biol. 1995;12(1):33-40. doi: 10.1165/ajrcmb.12.1.7811469
- Ke F, Xie P, Yang Y, Yan L, Guo A, Yang J, Zhang J, Liu L, Wang Q and Gao X. Effects of Nisin, Cecropin, and Penthorum chinense Pursh on the Intestinal Microbiome of Common Carp (Cyprinus carpio). Front. Nutr. 2021;8:729437. doi: 10.3389/fnut.2021.729437
- Brand AM, Smith C, Dicks LMT. The Effects of Continuous In Vivo Administration of Nisin on Staphylococcus aureus Infection and Immune Response in Mice. Probiotics and Antimicrob. Prot. 2013;5:279-286. https://doi.org/10.1007/s12602-013-9141-3
- Lukácsi S, Gerecsei T, Balázs K, Francz B, Szabó B, Erdei A, Bajtay Z. The differential role of CR3 (CD11b/CD18) and CR4 (CD11c/ CD18) in the adherence, migration and podosome formation of human macrophages and dendritic cells under inflammatory conditions. PLoS One. 2020 May 4;15(5): e0232432. doi: 10.1371/journal.pone.0232432
- Caux C, Ait-Yahia S, Chemin K, de Bouteiller O, Dieu- Nosjean MC, Homey B, Massacrier C, Vanbervliet B, Zlotnik A, Vicari A. Dendritic cell biology and regulation of dendritic cell trafficking by chemokines. Springer Semin Immunopathol. 2000;22(4):345-69. doi: 10.1007/s002810000053
- Fanning S, Hall LJ, Cronin M, Zomer A, MacSharry J, Goulding D, Motherway MO, Shanahan F, Nally K, Dougan G, van Sinderen D. Bifidobacterial surface-exopolysaccharide facilitates commensal-host interaction through immune modulation and pathogen protection. Proc Natl Acad Sci U S A. 2012;109(6):2108-13. doi: 10.1073/pnas.1115621109
- Guryanova SV, Kozlov IG, Meshcheryakova EA, Alekseeva LG, Andronova TM. Investigation into the influence of glucosaminylmuramyl dipeptide on the normalization of Th1/ TH2 balance in patients with atopic bronchial asthma. Immunol. 2009;30:305-309. (In Russian)
- Guryanova SV, Khaitov RM. Glucosaminylmuramyldipeptide - GMDP: effect on mucosal immunity (on the issue of immunotherapy and immunoprophylaxis). Immunologiya. 2020;41(2):174-83. (in Russian). doi: 10.33029/0206-4952-2020-41-2-174-183.
- Guryanova S V, Kudryashova NA, Kataeva AA, Orozbekova BT, Kolesnikova NV, Chuchalin AG. Novel approaches to increase resistance to acute respiratory infections. RUDN Journal of Medicine.2021;25(3):181-195. doi: 10.22363/2313-0245-2021-25-3-1 81-195
- Korzhenevsky AA, Korzhenevskaya NP. Immunotherapy at the modern stage: types and tactics of application. RUDN Journal of Medicine. 2022;26(4):404-421. doi: 10.22363/2313-0245-2022-26-4- 404-421.
- Rechkina EA, Denisova GF, Masalova OV, Lideman LF, Denisov DA, Lesnova EI, Ataullakhanov RI, Gur’ianova SV, Kushch AA. [Epitope mapping of antigenic determinants of hepatitis C virus proteins by phage display]. Mol Biol (Mosk). 2006;40(2):357-68. (In Russian). PMID: 16637277.
- Arpaia N, Campbell C, Fan X, Dikiy S, van der Veeken J, deRoos P, Liu H, Cross JR, Pfeffer K, Coffer PJ, Rudensky AY. Metabolites produced by commensal bacteria promote peripheral regulatory T-cell generation. Nature. 2013;504(7480):451-5. doi: 10.1038/nature12726
- Furusawa Y, Obata Y, Fukuda S, Endo TA, Nakato G, Takahashi D, Nakanishi Y, Uetake C, Kato K, Kato T, Takahashi M, Fukuda NN, Murakami S, Miyauchi E, Hino S, Atarashi K, Onawa S, Fujimura Y, Lockett T, Clarke JM, Topping DL, Tomita M, Hori S, Ohara O, Morita T, Koseki H, Kikuchi J, Honda K, Hase K, Ohno H. Commensal microbe-derived butyrate induces the differentiation of colonic regulatory T cells. Nature. 2013;504(7480):446-50. doi: 10.1038/nature12721
- Miller ZA, Rankin KP, Graff-Radford NR, Takada LT, Sturm VE, Cleveland CM, Criswell LA, Jaeger PA, Stan T, Heggeli KA, Hsu SC, Karydas A, Khan BK, Grinberg LT, Gorno-Tempini ML, Boxer AL, Rosen HJ, Kramer JH, Coppola G, Geschwind DH, Rademakers R, Seeley WW, Wyss-Coray T, Miller BL. TDP-43 frontotemporal lobar degeneration and autoimmune disease. J Neurol Neurosurg Psychiatry. 2013;84(9):956-62. doi: 10.1136/jnnp-2012-304644
- Marietta EV, Murray JA, Luckey DH, Jeraldo PR, Lamba A, Patel R, Luthra HS, Mangalam A, Taneja V. Suppression of Inflammatory Arthritis by Human Gut-Derived Prevotella histicola in Humanized Mice. Arthritis Rheumatol. 2016;68(12):2878-2888. doi: 10.1002/art.39785
- Li H, Zhang GX, Chen Y, Xu H, Fitzgerald DC, Zhao Z, Rostami A. CD11c+CD11b+ dendritic cells play an important role in intravenous tolerance and the suppression of experimental autoimmune encephalomyelitis. J Immunol. 2008;181(4):2483-93. doi: 10.4049/jimmunol.181.4.2483
- Guryanova S, Guryanova A. sbv IMPROVER: Modern approach to systems biology. Methods Mol. Biol. 2017;1613:21-29. doi: 10.1007/978-1-4939-7027-8_2
- Hoeng J, Boue S, Fields B, Park J, Peitsch MC, Schlage WK, Talikka M, Performers, TCB, Binenbaum I, Bondarenko V, Bulgakov OV, Cherkasova V, Diaz-Diaz N, Fedorova L, Guryanova S, Guzova J, Igorevna Koroleva G, Kozhemyakina E, Kumar R, Lavid N, Lu Q, Menon S, Ouliel Y, Peterson SC, Prokhorov A, Sanders E, Schrier S, Schwaitzer Neta G, Shvydchenko I, Tallam A, Villa-Fombuena G, Wu J, Yudkevich I, Zelikman M. Enhancement of COPD biological networks using a web-based collaboration interface. F1000Research 2015, 4. https://doi.org/10.12688/f1000research.5984.2
Supplementary files










