Long exposure impact of antibiotics subinhibitory doses and silver nanoparticles on uropathogenic bacteria
- Authors: Mbarga M.J.1, Marouf R.1, Podoprigora I.V.1, Anyutoulou K.L.1, Chapurin Y.V.1, Sharova I.N.1
-
Affiliations:
- RUDN University
- Issue: Vol 27, No 3 (2023): PHYSIOLOGY
- Pages: 391-402
- Section: MICROBIOLOGY
- URL: https://journals.rudn.ru/medicine/article/view/36105
- DOI: https://doi.org/10.22363/2313-0245-2023-27-3-391-402
- EDN: https://elibrary.ru/PYFVNB
- ID: 36105
Cite item
Full Text
Abstract
Relevance. Although the primary purpose of using antibiotics is to treat infectious diseases, their misuse gradually leads to loss of their effectiveness. The aim of the current investigation was to explore the changes that occur in uropathogenic bacteria after long exposure to antimicrobials. Materials and Methods. We compared the effects of long-term exposure to ampicillin, cefazoline, kanamycin and silver nanoparticles (AgNPs) on susceptibility, biofilm formation and planktonic bacteria in 4 clinical uropathogenic strains namely Escherichia coli (UPEC), Staphylococcus aureus (S. aureus), Enterococcus faecalis (E. faecalis) and Streptococcus agalactiae (St. agalactiae). The minimum inhibitory concentrations (MIC) were determined using the microplate mircodilution method and bacteria were exposed to increasing concentrations of each antimicrobial (from MIC/2 to MIC) prepared in the brain heart infusion broth for 8 days. The susceptibility of bacteria to antibiotics was assessed using the Kirby Bauer disc diffusion method and the biofilm formation was assessed using crystal violet bacterial attachment assay. Results and Discussion. The data in this investigation highlight that long-term exposure to antimicrobials may induce changes in susceptibility to other antibiotics and biofilm formation in Uropathogenic strains. Indeed, exposure to ampicillin made E. faecalis resistant to ceftazidime and St agalactiae resistant to tetracycline, ceftazidime/clavulanate and ceftazidime. Following exposure to cefazolin, a significant decrease in susceptibility was observed in E. coli to ceftazidime/clavulanate and ceftazidime while S. aureus became resistant to ceftazidime/clavulanate, ceftazidime and to ceftriaxone. Similar variations were observed on St agalactiae and E. faecalis, which in addition to the 3 antibiotics above-mentioned, have become resistant to tetracycline. The most significant variations in susceptibility to antibiotics were observed following exposure to kanamycin: E. coli developed resistance to ceftazidime and a decrease in sensitivity was noted on ceftazidime/clavulanate while S. aureus, E. faecalis and St. agalactiae all 3 became resistant to ceftazidime/clavulanate and ceftazidime. In addition, except for E. coli all the bacteria in this investigation which had undergone successive passages in AgNPs developed resistance to ceftazidime/ clavulanate and ceftazidime. Bacteria exposed to ampicillin and cefazolin produced more biofilms than their respective controls. Conclusion. Long term exposure of uropathogens to antibiotics and AgNPs induces significant changes in susceptibility to other antibiotics and biofilm formation and antibiotics should therefore only be used when necessary.
Keywords
Full Text
Introduction
The use of antibiotics is essential in the treatment of infectious diseases of bacterial origin [1, 2] including urinary tract infections (UTIs). UTIs are caused by so-called uropathogenic microorganisms, most often commensal bacteria or fungi, which under certain conditions can become pathogenic [3]. 80 to 90 % of UTIs are caused by socalled Uropathogenic Escherichia coli (UPEC) while other species such as Staphylococcus saprophyticus, Pseudomonas aeruginosa, Staphylococcus aureus, Klebsiella pneumoniae, Proteus mirabilis, Acinetobacter baumannii, Streptococcus and Enterococcusus are less rarely involved [3, 4].
UTIs are usually treated by antibiotics such as trimethoprim-sulfamethoxazole (TMP-SMX), nitrofurantoin or Fosfomycin for acute uncomplicated urinary tract infections [5]. Since resistance to TMP-SMX and ciprofloxacin preclude their use as empiric treatment for UTIs in patients who were previously exposed to them or who are at risk to be infected with extended-spectrum β-lactamases (ESBLs)-producing bacteria [6], other antibiotics are sometimes used in second line and generally include oral cephalosporins (fluoroquinolones, cefixime) and β-lactams (amoxicillin-clavulanate) [6]. Notwithstanding this multitude of choices in terms of antibiotics, due to attitudes of self-medication, taking antibiotics without prior antibiogram and all negligent behavior related to the misuse of antibiotics, the resistance of bacteria to antibiotics has grown meteorically worldwide [7, 8]. Although this problem is progressively leading to the general mobilization for the research of new antimicrobial compounds and alternative ways of fighting bacterial infections, the mechanisms of this resistance are better and better elucidated but the direct implication of the consumption of antibiotic has not yet been totally established.
While previous investigations have focused on the consequences of long-term exposure to commonly used biocides such as polyhexamethylene biguanide (PHMB), triclosan, benzalkonium chloride (BAC) on the antimicrobial susceptibility of many clinical isolates including uropathogens [9–11], there are currently not enough investigations into the multiple phenotypic consequences that can occur due to long-term exposure to antibiotics and silver nanoparticles. Therefore, the present study aimed to assess the effects of long-term exposure to ampicillin, kanamycin, cefazoline and AgNPs in four Uropathogenic clinical isolates namely E. coli (UPEC), S. aureus, E faecalis and St. agalactiae. The variations induced on the susceptibility to other antibiotics was evaluated as well as the biofilm formation and planktonic bacteria.
Materials and methods
Bacterial strains and culture conditions
This investigation included 4 previously isolated Uropathogenic strains namely E. coli, S. aureus, E. faecalis and St. agalactiae, all provided by the laboratory of microbiology and virology of the RUDN University. Bacteria were cultured on BHIB (Brain Heart Infusion Broth) (HIMEDIA®, Ref 173–500G) and Muller Hinton Agar (MHA) (HIMEDIA®, Ref 173–500G) and incubated aerobically at 37 °C for 18–24h.
Stocks solution of antibiotics and AgNPs
Stock solutions of each antimicrobial were prepared at a concentration of 1024 µg/ml and dilutions were made as needed. Ampicillin, cefazolin, and kanamycin were prepared in physiological water (NaCl 0,9 %) and 2 nm silver nanoparticles (Nanoserebro Argitos, OOO NPP Sintek Nano, Russia) were prepared in distilled water. All the solutions were sterilized by microfiltration (0.45 μm) prior to use.
Susceptibility of bacteria to antibiotics
The modified Kirby-Bauer’s disc method described in our previous study [12] was used to assess the susceptibility to antibiotics of uropathogenic strains used. Briefly, after bringing the bacteria to room temperature, they were cultured at 37 °C for 24 hours in sterile BHIB. 1.5 ml of each overnight culture was centrifuged (Eppendorf Centrifuge 5415 R) for 10 minutes at 3000 RCF and the centrifugate was collected, washed 3 times with Phosphate buffer saline (PBS) and resuspended in 5ml of physiological water to obtain a concentration equivalent to 0.5 McFarland. 100µL of the culture was plated on Muller Hinton Agar (MHA) (HIMEDIA®, Ref 173–500G) and the antibiotic discs were placed aseptically using a dispenser. After 18–24 hours of incubation, the inhibition diameters were measured and interpreted referred to the Clinical & Laboratory Standards Institute [13]. The petri dishes were again incubated for 48 hours at 37 °C and the bacteria of the second growth in the inhibition zones were isolated and subjected to a second antibiogram as described above. The 8 antibiotics used were: tetracyclin (TE), 30 μg/disc, cefazolin/ clavulanic acid (CAC), 30/10 per disc; ceftazidime (CAZ), 30 µg/disc; ceftriaxone (CTR), 30 μg/disc; ciprofloxacin (CIP), 30 μg/disc; imipenem (IMP), 10 μg/disc; nitrofurantoin (NIT), 200 μg/disc and trimethoprim (TR), 30 μg/disc.
Determination of minimal inhibitory concentration (MIC) and minimal bactericidal concentration (MBC)
MICs of antibiotics and AgNPs on the 4 bacteria tested were determined by microbroth dilution method as previously described [14]. Briefly, all the stock solutions above-mentioned were submitted to serial twofold dilutions in BHI broth sterile U-bottom 96‑well microplates. 100 μL of broth were added in all the wells of the plates and 100µL silver nanoparticles or antibiotics (1024mg/mL) were added in the first line. 100 µL of sterile distilled water was added in column 11 and 12. Then serial dilutions were performed by passing 100 μL of wells of the line A to the wells of line B and so forth. In each test hole 10 μL of the respective inoculum was added (with turbidity equivalent to a 0.5 McFarland scale). In the column 11, 10 μL of saline solution was added (0.9 %) and served as positive control while column 12, where 10µL of inoculum was added served as the negative control. Finally, plates were covered and incubated at 37 °C for 24 h. After incubation, MIC was considered as the lowest concentration that inhibited the visible growth of bacteria. Further, MBCs were determined by subculturing the wells without visible growth (with concentrations ≥ MIC) on MHA plates. Inoculated agar plates were incubated at 37 °C for 24 h. MBC was considered as the lowest concentration that did not give any bacterial growth on agar.
Long-term exposure of bacteria to antibiotics and silver nanoparticles
Bacteria were exposed to increasing concentrations of ampicillin, cefazolin, kanamycin and AgNPs using U-bottom 96‑well microplates. 8 concentrations of each antimicrobial were prepared in sterile BHIB then the mixture was sterilized by microfiltration prior to use. The concentrations varied from MIC/2 to MIC with an increment of MIC/16. For each antimicrobial, 200 µL of the preparation of MIC/2 concentration was introduced into line 1 of the microplate, then MIC/2 + 2MIC/16 in line 2, MIC/2 + 3MIC/16 in line 3 … and MIC in line 8. 15 µL of overnight culture of each bacterium prepared at a concentration equivalent to 0.5 of McFarland was inoculated in the first line and after 24H of incubation at 37 °C, the wells of line 1 were homogenized and 15 µL was transferred to line 2 of the corresponding columns and the same operation was repeated for the following lines until the 8th day. Bacteria passaged 8 times on antimicrobial-free medium were also included and were considered as the controls. During incubation, the microplates were placed in a container containing distilled water to limit water loss by evaporation. After successive passages, the bacteria were kept at –80 °C in cryovials (Cryoinstant; Deltalab, Spain) for subsequent testing. The antibiotic sensitivity of the bacteria obtained was evaluated exactly as described above.
Evaluation of biofilm formation by crystal violet bacterial attachment assay
The biofilm formation of original strains and exposed strains was assessed in sterile 96‑well microtiter plate [15]. 200 µL of sterile BHIB was introduced in each well and was inoculated by the corresponding overnight culture (18 to 24 h at 37 °C and 100 rpm) centrifugated and resuspended in physiological water to obtain a turbidity equivalent to 0.5 of McFarland as described above. Sterile controls were also included. The plates were incubated statically for 48 h at 37 °C. 100 µL of the medium was transferred in the corresponding well in another microtiter plate for planktonic measurement. The remaining medium was removed from the wells and replaced with 200µl of 1 % (w/v) crystal violet solution during 90 s. The wells were rinsed three times with distilled water prior to drying at 37 °C. The biofilm-bound crystal violet was solubilized in 200 µl of 100 % ethanol and the A450 was determined and compared with the negative controls. Each test was repeated 4 t = imes and each repeat was read 3 times.
Planktonic measurement
Free bacteria were assessed simultaneously with the biofilm assay. The 100 μl of medium transferred to another microtiter plate during the biofilm formation test were diluted with 100 μL of physiological water. Free bacteria were evaluated by determining A450 and compared with the negative controls [16].
Statistical analysis
All experiments were carried out at least in triplicate. The statistical significance was set at p≤0,05. T-test, principal component analysis (PCA) and Ascending Hierarchical Classification (AHC) were carried out using the statistical software XLSTAT 2020 (Addinsof Inc., New York, USA). All the other graphs were plotted by Excel software or SigmaPlot 12.5 (Systat Software, San Jose, CA, USA)
Results and discussion
Bacteria resulting from the second growth in the inhibition zone after antibiogram are more resistant to certain antibiotics than the parent strains.
The antibiogram is a test to assess the susceptibility of bacteria to antibiotics and should always be done before any prescription for antibiotics [17]. It often happens that some bacteria, although sensitive to antibiotics, present a second growth zone, which could be explained on the one hand by the loss of the bacteriostatic effect of the antimicrobial considered and on the other hand, by the acquisition of resistance of the bacteria tested after long exposure to the antibiotic. During this investigation, we carried out an antibiogram of 4 uropathogenic strains and after 24 hours of incubation, the diameters of inhibition were measured then the petri dishes were again incubated for 48 hours and the colonies which grew inside the inhibition zones were recovered. These colonies were grown and a second antibiogram was performed. The results presented on Table 1 show the antibiotic sensitivity of the uropathogens used and their analogues and the variations rates of inhibition diameters relative to the parent strains. No colony was observed in the inhibition zone of St agalactiae whereas this was the case with S. aureus, E. coli and E. faecalis. Except for EC–CTR (E. coli isolated from the inhibition zone of Ceftriaxone), the greatest variations were observed in bacteria isolated from inhibition zone of ceftriaxone, ceftazidime and ceftazidime/clavulanate. The SA-CTR 1 strain became resistant to ceftriaxone, ceftazidime / clavulanate and even more resistant to ceftazidime (Table 1). Similar variations were observed in SA-CAZ and EF-TR, but EF-TR did not become resistant to ceftriaxone. Numerous recent investigations have highlighted that changes in sensitivity such as those observed in this study were mainly due to the very strong adaptability of bacteria in stressful environments [18–23]. Alarmingly, the results of this study and those of similar other recent investigations show that changes can be induced in bacteria over a very short period of exposure to antibiotics and highlight the importance of taking antibiotics only when necessary, under prescription and after an antibiogram.
Table 1. Sensitivity to antibiotics of uropathogens and their analogues isolated from the second growth in the inhibition zone
Strain | Parameter | TE | CAZ | CTR | CAC | TR | CIP | NIT | IMP | |
S. aureus | S. aureus | - | 12R | 12R | 25S | 16I | 6R | 26S | 21S | 29S |
SA-CAC 1 | CAC | 12R | 13R | 21S | 12R | 6R | 22S | 18S | 23S | |
SA-CAC 2 | CAC | 12R | 14R | 20I | 12R | 6R | 23S | 19S | 24S | |
SA-CTR 1 | CTR | 13R | 6R | 6R | 6R | 6R | 23S | 18S | 22S | |
SA-CTR 2 | CTR | 12R | 12R | 23S | 12R | 6R | 23S | 24S | 24S | |
SA-CAZ | CAZ | 13R | 6R | 6R | 6R | 6R | 26S | 21S | 26S | |
SA-TE | TE | 12R | 13R | 20I | 13R | 6R | 23S | 20S | 24S | |
E. coli | E. coli | - | 8R | 23S | 25S | 22S | 6R | 24S | 22S | 27S |
EC-TR | TR | 6R | 21S | 26S | 23S | 6R | 26S | 21S | 23S | |
E. faecalis | E. faecalis | - | 15I | 17I | 22S | 17I | 29S | 32S | 23S | 31S |
EF-CTR 1 | CTR | 12R | 13R | 19I | 17I | 6R | 21S | 19S | 23S | |
EF-CTR 2 | CTR | 13R | 6R | 6R | 6R | 33S | 27S | 22S | 28S | |
EF-TR | TR | 12R | 8R | 22S | 8R | 6R | 29S | 20S | 29S | |
EF-CAC 1 | CAC | 11R | 11R | 20I | 12R | 30S | 26S | 19S | 26S | |
EF-CAC 2 | CAC | 12R | 6R | 18I | 6R | 29S | 26S | 21S | 26S | |
EF-CAZ | CAZ | 13R | 13R | 21S | 12R | 26S | 25S | 21S | 26S | |
Note: The results show the mean of 3 trials rounded to the unit. The standard deviation varied between 0.0 and 1.7. R = Resistant, I = Intermediate, S = sensible, TE = tetracycline, CAZ = ceftazidime, CTR = ceftriaxone, CAC = ceftazidime/clavulanate TR = trimethoprim, CIP = ciprofloxacin, NIT = nitrofurantoin and IMP = imipenem.
Minimum inhibitory concentration (MIC) and minimum bactericidal concentration (MBC)
The sensitivity of the tested strains to the antimicrobials they were subsequently exposed to was investigated to determine the exact proportions to which these bacteria could be subjected without however killing them. Thus, MICs and MBCs of ampicillin, kanamycin, cefazolin, and silver nanoparticles (AgNPs) were determined (Table 2). The results presented in this table suggest that cefazolin, considering the relatively low MIC and MBC (compared to other antimicrobials) for all the uropathogens used, can be an interesting remedy in the fight against antibiotic resistance. Indeed, broad-spectrum antimicrobials that have not lost their effectiveness despite the increase in the growth of antibiotic resistance can be used as the last line to limit the damage this phenomenon has on the health of patients and particularly on the prolongation of hospitalizations, an increased medical expenses and mortality. Moreover, specifically for AgNPs, the low MIC (8µg/mL) and MBC (16µg /mL in E. coli suggests that infections caused by this pathogen can easily be treated by AgNPs. These results are in accordance with those observed in previously reported studies [24, 25] but further investigation is needed to confirm such a hypothesis.
Each of the antimicrobials whose MIC and MBC are presented in Table 2 was prepared specifically for each strain at 8 different concentrations varying from MIC/2 to MIC with an increment of MIC/ 16 for recurrent exposure of Uropathogenic bacteria for 8 days.
Table 2. Minimum inhibitory concentration (MIC) and minimum bactericidal concentration (MBC) of uropathogens to antibiotics and silver nanoparticles to which they have been further exposed
Strain | MIC (µg/mL) | MBC (µg/mL) | ||||||
Ampicillin | Kanamycin | Cefazolin | AgNPs | Ampicillin | Kanamycin | Cefazolin | AgNPs | |
E. coli | 1024 | 32 | 32 | 8 | ND | 128 | 64 | 16 |
S. aureus | 64 | 8 | 32 | 256 | 128 | 16 | 128 | 512 |
E. faecalis | 32 | 128 | 64 | 256 | 64 | 128 | 64 | 256 |
St. agalactiae | 32 | 16 | 16 | 256 | 128 | 64 | 32 | 256 |
Bacteria long-exposed to antimicrobials do not present the same susceptibility to antibiotics as parent strains.
The use of antibiotics is almost unavoidable in medicine and in other sectors such as agriculture and animal husbandry. However, in recent years concerns have been raised that exposure to antimicrobials (here mainly antibiotics and nanoparticles) can induce cross resistance to other antibiotics [9, 10]. In the present study, the changes in the susceptibility to antibiotics were assessed by inhibition diameters as well as the variation rate referring to the original strains and the results were classified as resistant (R), Intermediate (I) or sensitive (S) as defined by the Clinical & Laboratory Standards Institute [13]. As shown in Table 3, antibiotic sensitivity was determined for 4 Uropathogenic strains before and after exposure to ampicillin, kanamycin, cefazolin and silver nanoparticles (AgNPs). For all strains, long exposure to at least one antimicrobial induced acquisition of resistance with a high variation rate in inhibition diameter. Exposure to ampicillin made E. faecalis resistant to ceftazidime and St agalactiae resistant to tetracycline, ceftazidime/clavulanate and ceftazidime. In addition, following exposure to cefazolin, a significant decrease in susceptibility of E. coli to ceftazidime/clavulanate and ceftazidime was observed while S. aureus became resistant to ceftazidime/clavulanate, ceftazidime and to ceftriaxone. Similar variations were observed on St agalactiae and E. faecalis, which in addition to the 3 antibiotics above-mentioned, have become resistant to tetracycline. Moreover, the most significant variations in susceptibility to antibiotics were observed following exposure to kanamycin: On the one hand, E. coli developed resistance to ceftazidime and a decrease in sensitivity was noted on ceftazidime / clavulanate and on the other hand S. aureus, E. faecalis and St agalactiae all 3 became resistant to ceftazidime/clavulanate and ceftazidime. Finally, except for E. coli all the bacteria in this investigation which had undergone successive passages in AgNPs developed resistance to ceftazidime/clavulanate and ceftazidime as observed with exposure to other antimicrobials. Surprisingly, the E. coli strain that was initially resistant to tetracycline has become sensitive. However, and more globally, the data in this research highlight that long-term exposure to antibiotics and silver nanoparticles may influence susceptibility to other antibiotics in Uropathogenic bacteria. These results are similar to those observed in other studies which consisted in prolonged passage of uropathogens in biocidal agents [9, 26, 27]. It is well known that the sensitivity of bacteria to antibiotics depends mainly on the mode of action of the antimicrobial, the conditions of use and the characteristics of the bacteria tested [28]. However, exposure to low doses of antibiotics can induce significant changes in bacteria which may be phenotypic and/ or genotypic. Phenotypically, the potential causes of the changes in susceptibility observed in this study may be structural variations in the bacterial cell [9] which modify bacteria-antimicrobial interactions, inducing changes in membrane permeability and changes in the activity of efflux pumps that allow bacteria to expel antimicrobials out of the cell [29, 30]. Nevertheless, Henly et al. [9] suggested that the exact mechanisms governing a specific adaptation depend largely on the antimicrobial and the bacterium itself. In our study, the reversibility of the acquisition of resistance and the observed variations in susceptibility to antibiotics was not evaluated, but many previous studies on the issue provide contradictories findings. Indeed, while some authors have indicated that the observed changes result from a reversible phenotypic adaptation induced by the expression of variations in gene expression in responses to stress [11], others have noted that these changes after long exposure to antimicrobials are the result of the selection of antimicrobial-resistant mutants with a stable phenotypic that cannot experience any reversibility [9, 31]. Notwithstanding this divergence of views, it is important to highlight that numerous investigations carried out in both humans and animals show an increase in resistance to antibiotics worldwide [12, 29, 32–34]. Therefore, in addition to further investigations to shed light on the exact mechanism of these changes, further efforts must be made to research new antimicrobials and reposition of existing drug to explore their potential antimicrobial properties.
Table 3. Antibiotic susceptibility of uropathogens before and after successive passages in antibiotics and AgNPs
Strain | Substance | Inhibition zone in mm (variation rate in %)Sensitivity (R, I, S) | |||||||
E. coli | Exposure | CAC | CIP | TE | CTR | IPM | CAZ | NIT | TR |
Initial | 22S | 24S | 8R | 25S | 27 | 23S | 22S | 6R | |
Unexposed | 22 (0)S | 21 (–13)S | 10 (25)R | 22 (–12)S | 27 (0)S | 25 (9)S | 21 (–5)S | 6 (0)R | |
Ampicillin | 19 (–14)S | 23 (–4)S | 8 (0)R | 25 (0)S | 26 (–4)S | 18 (–22)S | 20 (–9)S | 6 (0)R | |
Cefazolin | 16 (–27)I | 21 (–13)S | 9 (13)R | 25 (0)S | 24 (–11)S | 16 (–30)I | 20 (–9)S | 6 (0)R | |
Kanamycin | 17 (–23)I | 25 (4)S | 9 (13)R | 26 (4)S | 26 (–4)S | 12 (–48)R | 21 (–5)S | 6 (0)R | |
AgNPs | 20 (–9)S | 23 (–4)S | 24 (200)S | 27 (8)S | 25 (–7)S | 19 (–17)S | 19 (–14)S | 6 (0)R | |
S. aureus | Initial | 16I | 26S | 12R | 25S | 29S | 12R | 21S | 6R |
Unexposed | 17 (6)I | 23 (–12)S | 14 (17)R | 21 (–16)S | 26 (–10)S | 14 (17)R | 20 (–5)S | 6 (0)R | |
Ampicillin | 16 (0)I | 29 (12)S | 18 (50)I | 24 (–4)S | 28 (–3)S | 13 (8)R | 23 (10)S | 6 (0)R | |
Cefazolin | 6 (–63)R | 25 (–4)S | 15 (25)I | 6 (–76)R | 29 (0)S | 6 (–50)R | 22 (5)S | 6 (0)R | |
Kanamycin | 11 (–31)R | 16 (–38)I | 11 (–8)S | 19 (–24)I | 24 (–17)S | 12 (0)R | 20 (–5)S | 6 (0)R | |
AgNPs | 12 (–25)R | 26 (0)S | 23 (92)S | 22 (–12)S | 27 (–7)S | 11 (–8)R | 15 (–29)I | 6 (0)R | |
E. faecalis | Initial | 17I | 32S | 15I | 22S | 31S | 17I | 23S | 29S |
Unexposed | 13 (–24)R | 27 (–16)S | 15 (0)I | 22 (0)S | 29 (–6)S | 15 (–12)I | 21 (–9)S | 26 (–10)S | |
Ampicillin | 12 (–29)R | 27 (–16)S | 15 (0)I | 24 (9)S | 28 (–10)S | 13 (–24)R | 21 (–9)S | 27 (–7)S | |
Cefazolin | 6 (–65)R | 26 (–19)S | 16 (7)I | 15 (–32)I | 26 (–16)S | 6 (–65)R | 19 (–17)S | 24 (–17)S | |
Kanamycin | 6 (–65)R | 26 (–19)S | 14 (–7)R | 14 (–36)I | 26 (–16)S | 6 (–65)R | 22 (–4)S | 28 (–3)S | |
AgNPs | 12 (–29)R | 25 (–22)S | 16 (7)I | 22 (0)S | 25 (–19)S | 12 (–29)R | 16 (–30)I | 21 (–28)S | |
St. agalactiae | Initial | 20S | 29S | 21S | 28S | 27S | 20S | 21S | 26S |
Unexposed | 23 (15)S | 28 (–3)S | 17 (–19)I | 22 (–21)S | 27 (0)S | 12 (–40)R | 16 (–24)I | 27 (4)S | |
Ampicillin | 11 (–45)R | 25 (–14)S | 14 (–33)R | 20 (–29)I | 26 (–4)S | 10 (–50)R | 20 (–5)S | 28 (8)S | |
Cefazolin | 10 (–50)R | 22 (–24)S | 14 (–33)R | 20 (–29)I | 24 (–11)S | 10 (–50)R | 17 (–19)I | 27 (4)S | |
Kanamycin | 10 (–50)R | 27 (–7)S | 24 (14)S | 24 (–14)S | 26 (–4)S | 10 (–50)R | 17 (–19)I | 26 (0)S | |
AgNPs | 12 (–40)R | 27 (–7)S | 28 (33)S | 24 (–14)S | 30 (11)S | 13 (–35)R | 19 (–10)S | 30 (15)S | |
Note: The results show the mean of 3 trials rounded to the unit. The standard deviation varied between 0,3 and 2,1. In bracket () the variation rate calculated by referring to the initial strain. The global variation in each bacterium was significant for P ≤ 0,05. R = Resistant, I = Intermediate, S = sensible, TE = tetracycline, CAZ = ceftazidime, CTR = ceftriaxone, CAC = ceftazidime/clavulanate, TR = trimethoprim, CIP = ciprofloxacin, NIT = nitrofurantoin and IMP = imipenem.
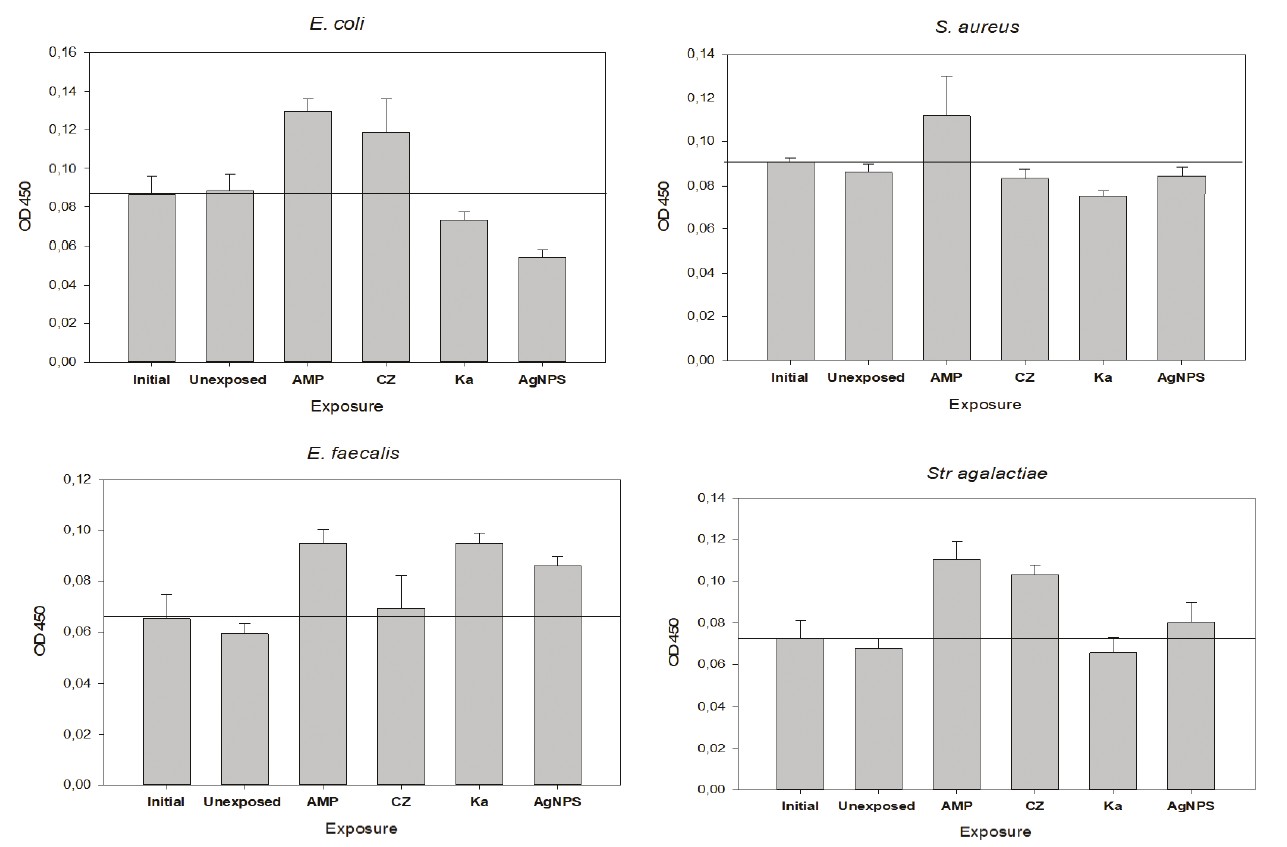
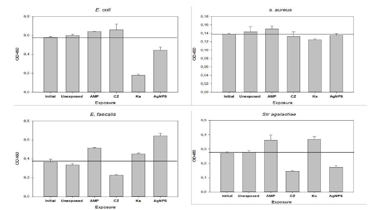
Some bacteria exposed to antibiotics and AgNPs produce more biofilm and planktonic bacteria than control strains.
Biofilms are multicellular communities of microorganisms held together by a self-produced extracellular matrix and are known as a virulence factor and for their involvement in certain pathologies such as catheter infection, cochlear implant infection, wound infection, cochlear implant infection, central nervous system shunt infection, chronic otitis media and pulmonary infection in cystic fibrosis patient [35]. (Gebreyohannes et al., 2019). It is well known that Bacteria that have adapted to the presence of antimicrobials or biocides agents may exhibit several phenotypic alterations such as changes in growth rate and biofilm formation [9]. In the present study, biofilm formation was assessed by crystal violet bacterial attachment assay. Figures 1 and 2 respectively show the measurements of the formation of biofilms and planktonic bacteria in the 4 bacteria used in this investigation as well as their analogs having undergone passages in ampicillin, kanamycin, cefazolin and silver nanoparticles (AgNPs). Compared to the controls, the E. coli and St agalactiae strains exposed to ampicillin and cefazolin produced more biofilms while the E. coli passed in kanamycin and AgNPs produced less biofilms. In S. aureus, except for the strain passed in ampicillin which produced more biofilms, no significant variation was noted in the formation of biofilms of other exposed strains and in their planktonic bacteria. In addition, the E. faecalis strains exposed to AgNPs, Kanamycin and ampicillin produced more biofilms and exhibited a greater quantity of planktonic bacteria. Moreover E. coli passed in kanamycin and E. faecalis and St. agalactiae passed in cefazolin showed relatively low amounts of planktonic bacteria compared to their respective controls. Referring to the results on the susceptibility of strains to antibiotics, contrary to the findings of some authors [1, 9, 36, 37], in this study the increase in biofilm production does not correlate with antibiotic resistance in E. coli and other uropathogens. However, it is important to emphasize that exposure to ampicillin induces a considerable increase in biofilm production in all strains tested and this antibiotic should be carefully monitored for its use to treat associated biofilm diseases.
Several bacteria are found in a cluster different from that of the parent strain after an ascending hierarchical classification taking into account all the parameters studied in this investigation.
Fig. 3 shows the ascending hierarchical classification (AHC) of all strains having undergone exposure to antibiotics or nanoparticles. This HCA was obtained following a principal component analysis including all the parameters evaluated in this study, namely the inhibition diameter and their variation compared to the parent strain, the biofilms formation, and planktonic bacteria as well as their respective variations. As shown in Figure 3, two large clusters were formed. The first cluster (in blue) does not divide into several sub-clusters and groups together bacteria that do not show very significant variations. Thus, in the E. coli strain, except those having been exposed to AgNPs, significant variations were not identified. For most of the other bacteria, some were found in the sub-clusters of bacteria from a completely different species and far from their control strains, proof of the significant variations induced by this long exposure to the antimicrobials used.
Fig.1. Biofilm formation in Uropathogenic bacteria exposed or not to antibiotics and silver nanoparticles. The data show the mean absorbance (A450) of 12 trials, representative of biofilm formation evaluated by Crystal violet assay for each bacterium after exposure or not to ampicillin (AMP), Cefazolin (CZ), Kanamycin (Ka) and Silver nanoparticles (AgNPs)
Fig. 2. Planktonic bacteria in Uropathogenic strains before and after successive exposure to antibiotics and silver nanoparticles. The data show the mean absorbance (A450) of 12 trials, representative of planktonic bacteria evaluated simultaneously with biofilm assay for each bacterium after exposure or not to ampicillin (AMP), Cefazolin (CZ), Kanamycin (Ka) and Silver nanoparticles (AgNPs)
Fig. 3. Dissimilarity of uropathogens long exposed or not to antibiotics and nanoparticles. The dendrogram was obtained after a principal component analysis including the Spearman correlation test and considering the susceptibility to antibiotics, the biofilm formation, the planktonic bacteria and the variations of the 3 above-mentioned parameters compared to the initial strains
Conclusion
The growth of antibiotic resistance is a real danger worldwide. It mainly occurs due to the overuse and misuse of antibiotics. In this study we were able to highlight the possibility of the acquisition of antibiotic resistance in clinical isolates of uropathogens following prolonged exposure to other antibiotics and silver nanoparticles. In addition to the permanent monitoring of the growth of antimicrobial resistance in each zone in order to follow its evolution, permanent efforts must be made to search for new antimicrobials, to reposition the already existing molecules to exploit their antimicrobial properties and to study and better understand specific resistance mechanisms. Finally, to prevent this phenomenon from worsening, it is necessary that any antibiotic prescription be preceded by an antibiogram and that the antibiotics be used only when necessary.
About the authors
Manga J.A. Mbarga
RUDN University
Email: josepharsenembarga@yahoo.fr
ORCID iD: 0000-0001-9626-9247
Moscow, Russian Federation
Razan Marouf
RUDN University
Email: josepharsenembarga@yahoo.fr
ORCID iD: 0000-0001-9581-5381
SPIN-code: 5385-0884
Moscow, Russian Federation
Irina V. Podoprigora
RUDN University
Email: josepharsenembarga@yahoo.fr
ORCID iD: 0000-0003-4099-2967
SPIN-code: 7255-4454
Moscow, Russian Federation
Kitio L.D. Anyutoulou
RUDN University
Email: josepharsenembarga@yahoo.fr
ORCID iD: 0000-0001-6219-0004
Moscow, Russian Federation
Yuri V. Chapurin
RUDN University
Email: josepharsenembarga@yahoo.fr
ORCID iD: 0000-0002-3871-9200
Moscow, Russian Federation
Irina N. Sharova
RUDN University
Author for correspondence.
Email: josepharsenembarga@yahoo.fr
ORCID iD: 0000-0002-0932-5376
Moscow, Russian Federation
References
- Penesyan A, Paulsen IT, Gillings MR, Kjelleberg S, Manefield MJ. Secondary Effects of Antibiotics on Microbial Biofilms. Frontiers in Microbiology. 2020;11:2109. doi: 10.3389/fmicb.2020.02109.
- Joseph AMM, Jorelle AB, Sarra S, Podoprigora IV, Davares AK, Ingrid NK, Carime BZ. Short review on the potential alternatives to antibiotics in the era of antibiotic resistance. Journal of Applied Pharmaceutical Science. 2021;12(1):029-040. doi: 10.7324/JAPS.2021.120102.
- Mbarga MJA. Podoprigora IV, Davares AKL, Esther N, Senyagin AN. Urinary tract infections: Virulence factors, resistance to antibiotics, and management of uropathogenic bacteria with medicinal plants - A review. Journal of Applied Pharmaceutical Science. 2021;11(7):001-012. doi: 10.7324/JAPS.2021.110701.
- Abraham SN, Miao Y. The nature of immune responses to urinary tract infections. Nature Reviews Immunology. 2015; 15(10): 655. doi: 10.1038/nri3887.
- Gupta K, Hooton TM, Naber KG, Wullt B, Colgan R, Miller LG. Soper DE. International clinical practice guidelines for the treatment of acute uncomplicated cystitis and pyelonephritis in women: a 2010 update by the Infectious Diseases Society of America and the European Society for Microbiology and Infectious Diseases. Clinical infectious diseases. 2011;52(5): e103-e120. doi: 10.1093/cid/ciq257.
- Bader MS, Loeb M, Leto D, Brooks AA. Treatment of urinary tract infections in the era of antimicrobial resistance and new antimicrobial agents. Postgraduate Medicine. 2020;132(3):234-250. doi: 10.1080/00325481.2019.1680052.
- Karam MRA, Habibi M, Bouzari S. Urinary tract infection: Pathogenicity, antibiotic resistance and development of effective vaccines against Uropathogenic Escherichia coli. Molecular immunology. 2019;108:56-67. doi: 10.1016/j.molimm.2019.02.007.
- Lee DS, Lee SJ, Choe HS. Community-acquired urinary tract infection by Escherichia coli in the era of antibiotic resistance. BioMed research international. 2018;7656752. doi: 10.1155/2018/7656752.
- Henly EL, Dowling JAR, Maingay JB, Lacey MM, Smith TJ, Forbes S. Biocide exposure induces changes in susceptibility, pathogenicity, and biofilm formation in uropathogenic Escherichia coli. Antimicrobial agents and chemotherapy. 2019;63(3): e01892-18. doi: 10.1128/AAC.01892-18.
- Blanco P, Hjort K, Martínez JL, Andersson DI. Antimicrobial Peptide Exposure Selects for Resistant and Fit Stenotrophomonas maltophilia Mutants That Show Cross-Resistance to Antibiotics. Msphere. 2020;5(5): e00717-20. doi: 10.1128/mSphere.00717-20.
- Allen MJ, White GF, Morby AP. The response of Escherichia coli to exposure to the biocide polyhexamethylene biguanide. Microbiology. 2006;152((Pt 4):989-1000. doi: 10.1099/mic.0.28643-0.
- Mbarga MJA, Smolyakova LA, Podoprigora IV, Evaluation of Apparent Microflora and Study of Antibiotic Resistance of Coliforms Isolated from the Shells of Poultry Eggs in Moscow-Russia. Journal of Advances in Microbiology. 2020;20(4):70-77. doi: 10.9734/jamb/2020/v20i430242.
- NCCLs: Clinical & Laboratory Standards Institute. Control methods. Biological and micro-biological factors: Determination of the sensitivity of microorganisms to antibacterial drugs. Federal Center for Sanitary and Epidemiological Surveillance of Ministry of Health of Russia. 2019.
- Veiga A, Maria da Graça TT, Rossa LS, Mengarda M., Stofella NC, Oliveira LJ, … Murakami FS. Colorimetric microdilution assay: validation of a standard method for determination of MIC, IC50 %, and IC90 % of antimicrobial compounds. Journal of microbiological methods. 2019;162: 50-61. doi: 10.1016/j.mimet.2019.05.003.
- Manga MJA, Podoprigora IV, Volina EG, Ermolaev AV, Smolyakova LA. Evaluation of changes induced in the probiotic Escherichia coli M17 following recurrent exposure to antimicrobials. Journal of Pharmaceutical Research International. 2021;33(29B):158-167. doi: 10.9734/jpri/2021/v33i29B3160.
- Arsene MM, Podoprigora IV, Grigorievna VE, Davares AK, Sergeevna DM, Nikolaevna SI. Prolonged exposure to antimicrobials induces changes in susceptibility to antibiotics, biofilm formation and pathogenicity in staphylococcus aureus. J. Pharm. Res. Int. 2022;33(34B):140-151. doi: 10.9734/JPRI/2021/v33i34B31856.
- Joshi S. Hospital antibiogram: a necessity. Indian journal of medical microbiology. 2010;28(4):277. doi: 10.4103/0255-0857.71802.
- Arsene, M. M., Viktorovna, P. I., Alla, M.V., Mariya, M.A., Sergei, G.V., Cesar, E., … & Olga, P.V. Optimization of Ethanolic Extraction of Enantia chloranta Bark, Phytochemical Composition, Green Synthesis of Silver Nanoparticles, and Antimicrobial Activity. Fermentation. 2022; 8(10): 530. doi: 10.3390/fermentation8100530.
- Arsene, M. M., Viktorovna, P. I., Sergei, G.V., Hajjar, F., Vyacheslavovna, Y. N., Vladimirovna, Z.A., … & Sachivkina, N. Phytochemical Analysis, Antibacterial and Antibiofilm Activities of Aloe vera Aqueous Extract against Selected Resistant Gram-Negative Bacteria Involved in Urinary Tract Infections. Fermentation. 2022;8(11): 626. doi: 10.3390/fermentation8110626.
- Windels EM, Van den Bergh B, Michiels J. Bacteria under antibiotic attack: Different strategies for evolutionary adaptation. PLoS pathogens. 2020;16(5): e1008431. doi: 10.1371/journal.ppat.1008431.
- Leonard A, Möhlis K, Schlüter R, Taylor E, Lalk M, Methling K. Exploring metabolic adaptation of Streptococcus pneumoniae to antibiotics. The Journal of antibiotics. 2020;73(7):441-454. doi: 10.1038/s41429-020-0296-3.
- Akhova AV, Tkachenko AG. Multifaceted role of polyamines in bacterial adaptation to antibiotic-mediated oxidative stress. The Microbiological Society of Korea. 2020;56(2):103-110. doi: 10.7845/kjm.2020.0013.
- Paun VI, Lavin P, Chifiriuc MC, Purcarea C. First report on antibiotic resistance and antimicrobial activity of bacterial isolates from 13,000-year old cave ice core. Scientific reports. 2021;11(1):1-15. doi: 10.1038/s41598-020-79754-5.
- Devanesan S, Ponmurugan K, AlSalhi MS, Al-Dhabi NA. Cytotoxic and antimicrobial efficacy of silver nanoparticles synthesized using a traditional phytoproduct, asafoetida gum. International Journal of Nanomedicine. 2020;15:4351. doi: 10.2147/IJN.S258319.
- Loo YY, Rukayadi Y, Nor-Khaizura MAR, Kuan CH, Chieng BW, Nishibuchi M, Radu S. In vitro antimicrobial activity of green synthesized silver nanoparticles against selected gram-negative foodborne pathogens. Frontiers in microbiology. 2018;9:1555. doi: 10.3389/fmicb.2018.01555.
- Adamus-Białek W, Wawszczak M, Arabski M, Majchrzak M, Gulba M, Jarych D, Głuszek S. Ciprofloxacin, amoxicillin, and aminoglycosides stimulate genetic and phenotypic changes in uropathogenic Escherichia coli strains. Virulence. 2019;10(1):260-276. doi: 10.1080/21505594.2019.1596507.
- Garcia Rivera MA. Antibiotic uptake in Pseudomonas aeruginosa and its consequences on the metabolome (Doctoral dissertation, Hannover: Institutionelles Repositorium der Leibniz Universität Hannover); 2021. doi: 10.15488/10509.
- Naveed M. Chaudhry Z, Bukhari SA, Meer B, Ashraf H. Antibiotics resistance mechanism. In: Antibiotics and Antimicrobial Resistance Genes in the Environment. Elsevier. 2020. p.292-312. doi: 10.1016/j.crmicr.2021.100027.
- Papkou A, Hedge J, Kapel N, Young B, MacLean RC. Efflux pump activity potentiates the evolution of antibiotic resistance across S. aureus isolates. Nature communications. 2020;11(1):1-15. doi: 10.1038/s41467-020-17735-y.
- Green AT, Moniruzzaman M, Cooper CJ, Walker JK, Smith JC, Parks JM, Zgurskaya HI. Discovery of multidrug efflux pump inhibitors with a novel chemical scaffold. Biochimica et Biophysica Acta (BBA)-General Subjects. 2020;1864(6):129546. doi: 10.1016/j.bbagen.2020.129546.
- Pokludová L, Prátová H. Wider Context of Antimicrobial Resistance, Including Molecular Biology Perspective and Implications for Clinical Practice. In: Pokludová L., editor. Antimicrobials in Livestock 1: Regulation, Science, Practice. Cham: Springer; 2020. p. 233-279. doi: 10.1007/978-3-030-46721-0_9.
- WHO. New report calls for urgent action to avert antimicrobial resistance crisis. https://www.who.int/news/item/29-04-2019-new-report-calls-for-urgent-action-to-avert-antimicrobial-resistance-crisis. 2019. Accessed 2021 January 28.
- Banin E, Hughes D, Kuipers OP. Bacterial pathogens, antibiotics and antibiotic resistance. FEMS microbiology reviews. 2017;41(3):450-452. doi: 10.1093/femsre/fux016.
- Saracino IM., Fiorini G, Zullo A, Pavoni M, Saccomanno L, Vaira D. Trends in primary antibiotic resistance in H. pylori strains isolated in Italy between 2009 and 2019. Antibiotics. 2020;9(1):26. doi: 10.3390/antibiotics9010026.
- Gebreyohannes G, Nyerere A, Bii C, Sbhatu DB. Challenges of intervention, treatment, and antibiotic resistance of biofilm-forming microorganisms. Heliyon. 2019;5(8): e02192. doi: 10.1016/j.heliyon.2019.e02192.
- Behzadi P, Urbán E, Gajdács M. Association between biofilm-production and antibiotic resistance in uropathogenic Escherichia coli (UPEC): an in vitro study. Diseases. 2020;8(2):17. doi: 10.3390/diseases8020017.
- Katongole P, Nalubega F, Florence NC, Asiimwe B, Andia I. Biofilm formation, antimicrobial susceptibility and virulence genes of Uropathogenic Escherichia coli isolated from clinical isolates in Uganda. BMC Infectious Diseases. 2020;20(1):1-6. doi: 10.1186/s13756-016-0109-4.
Supplementary files













