A familial case of Marfan syndrome: a novel variant in the FBN1 gene
- Authors: Stepanenko V.I.1, Zhalsanova I.Z.1, Fonova E.A.1, Erburova D.N.1, Gosudarkina S.N.1, Ravzhaeva E.G.1, Fadyushina S.V.1, Nikitina A.A.1, Seitova G.N.1, Klimchuk O.I.2, Stepanov V.A.1, Skryabin N.A.1
-
Affiliations:
- Research Institute of Medical Genetics, Tomsk National Research Medical Center of the Russian Academy of Sciences
- LLC Biotech Campus
- Issue: Vol 29, No 4 (2025): MEDICAL GENETICS
- Pages: 470-479
- Section: MEDICAL GENETICS
- URL: https://journals.rudn.ru/medicine/article/view/47648
- DOI: https://doi.org/10.22363/2313-0245-2025-29-4-470-479
- EDN: https://elibrary.ru/AELILG
- ID: 47648
Cite item
Full Text
Abstract
Marfan syndrome is a hereditary connective tissue disorder characterized by marked pleiotropy and clinical variability. The main disease manifestations involve three systems: skeletal, ocular, and cardiovascular. The condition is caused by pathogenic variants in the FBN1 gene, which encodes fibrillin-1, a protein essential for the formation and maintenance of the extracellular matrix. This article describes a familial case (the proband and his father) with clinical manifestations of Marfan syndrome. Whole-genome sequencing of the proband and his father revealed a previously unreported variant, c.5782T>A, p.(Cys1928Ser), in the FBN1 gene. Thus, a molecular genetic diagnosis of Marfan syndrome was established by identifying this novel pathogenic variant. Conclusion. A confirmed diagnosis at both the clinical and molecular genetic levels in both patients determines the further therapeutic strategy and enables timely primary and secondary disease prevention within the family.
Full Text
Введение
Синдром Марфана представляет собой наследственное моногенное заболевание, возникающее вследствие мутаций в гене FBN1, ответственном за синтез белка внеклеточного матрикса фибриллина – 1. Наследование происходит по аутосомно-доминантному механизму, однако значительная часть случаев (25–30 %) является результатом новых мутаций de novo [1]. Распространенность заболевания составляет примерно 1 на 5000–10000 человек [2, 3], без этнических и половых различий [4]. Поскольку фибриллин‑1 играет ключевую роль в формировании и функционировании соединительной ткани и влияет на сигнальный путь трансформирующего фактора роста бета (TGF-β), заболевание носит мультисистемный характер и отличается выраженным плейотропизмом. Клиническая картина полиморфна и включает патологию сердечно-сосудистой системы (прогрессирующая дилатация аорты, расслаивающая аневризма аорты), опорно-двигательной системы (долихостеномелия, деформации грудной клетки, сколиоз) и офтальмологические нарушения (эктопия хрусталика). Потенциально жизнеугрожающие сердечно-сосудистые осложнения данного заболевания диктуют необходимость междисциплинарного ведения пациентов и своевременной диагностики, в том числе с использованием современных молекулярно-генетических методов.
Материалы и методы
В исследовании приняла участие семья по направлению от кардиолога с подозрением на синдром Марфана у сына и его отца. Исследование проводилось с соблюдением этических норм в соответствии с Хельсинской декларацией Всемирной медицинской ассоциации. Было получено информированное согласие всех членов семьи на участие в эксперименте. Исследование было одобрено комитетом по биомедицинской этике НИИ медицинской генетики Томского НИМЦ.
Исследование генома семьи проведено в рамках совместной научно-исследовательской программы c Национальной генетической инициативой «100 000+Я» на базе ООО «Биотек кампус».
Полногеномное секвенирование проводилось на секвенаторах DNBSEQ-T7 (MGI) с помощью реагентного набора для приготовления библиотек MGIEasy FS PCR-Free Library Prep Set (MGI). Длина прочтений составила 2×150 п. н. Биоинформатический пайплайн содержит шаги очистки данных от адаптерных и низкокачественных последовательностей, с последующим картированием прочтений на референсный геном GRCh38 с помощью программы bwa mem v0.7.17. Разметка дуплицированных прочтений проводилась с помощью программы GATK MarkDuplicates v4.3.0.0. Коллинг точечных вариантов проводился с помощью программы DeepVariant v4.0.0. Для каждого образца число прочтений с качеством не менее Q30 составило не менее 80 % от числа прочтений, полученных в результате секвенирования.
Для аннотирования использовалась программа Annovar. Для оценки клинической релевантности выявленных вариантов использованы базы данных OMIM, ClinVar, gnomAD v4.1.0 exomes, HPO и литературные данные.
Секвенирование по Сэнгеру было проведено в обоих направлениях в области идентифицированного варианта на образцах ДНК пробанда и его отца. Для подтверждения замены chr15:48446712A>T были использованы следующие праймеры для полимеразной цепной реакции (ПЦР): прямой (5’-CTGGTGAACCCTAAAATGCT‑3’); обратный (5’-CTCAGAATGTATCCCTCACG‑3’).
Результаты исследования
В Генетическую клинику НИИ медицинской генетики Томского НИМЦ обратилась семья с отягощённым семейным анамнезом по отцовской линии с подозрением на диагноз «синдром Марфана» у мальчика 6 лет. В первые месяцы жизни была обнаружена асимметричная вентрикуломегалия (по данным нейросонографии и МРТ головного мозга). В возрасте 3–4 лет был отмечен быстрый рост. В возрасте 6 лет при обращении к кардиологу был поставлен диагноз: дилатация корня аорты, восходящего отдела аорты, дилатация ствола легочной артерии, пролапс митрального клапана, регургитация 1 степени, ФК I Ross. При обращении к офтальмологу был выявлен врожденный подвывих хрусталика, гиперметропия слабой степени и астигматизм гиперметропический сложный обратный правого глаза; врожденный подвывих хрусталика левого глаза. В 6 лет по данным рентгенографии грудо-поясничного отдела позвоночника: признаки S-образного сколиоза грудо-поясничного отдела позвоночника 1 степени, признаки кифоза грудного отдела позвоночника 1 степени.
Согласно Гентским критериям диагностики у пробанда диагностирован синдром Марфана (эктопия хрусталика и семейный анамнез заболевания) [5].
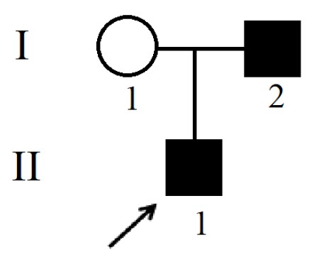
Согласно генеалогическому древу сходные симптомы наблюдались у отца (рисунок 1).
Рис. 1. Родословная пациента
Fig. 1. Patient’s pedigree
Отец пробанда — мужчина, 35 лет, обратился в Генетическую клинику НИИ медицинской генетики Томского НИМЦ с жалобами на снижение силы и чувствительности в левой стопе, нарушение походки. В 29 лет было проведено оперативное лечение глаз: факоэмульсификация с имплантацией интраокулярной линзы по поводу эктопии хрусталика обоих глаз. С возраста 31 года состоит на учете у кардиолога с диагнозом врожденный порок сердца: расслаивающая аневризма грудного и брюшного отдела аорты с распространением расслоения на правую подключичную артерию, по поводу чего в возрасте 31 года неоднократно проводилось оперативное лечение (протезирование восходящей аорты, протезирование дуги, протезирование левой подключичной артерии, стентирование нисходящей аорты, протезирование митрального клапана, протезирование восходящей аорты и аортального клапана) в НИИ Кардиологии г. Томска. В качестве фонового заболевания было установлено: симптоматическая артериальная гипертензия 1 степени. В качестве сопутствующего заболевания было установлено: миелопатия на уровне D9 с явлением отека; нижний смешанный парапарез с плегией стопы слева, гипостезии с L2 слева. Парез голосовых связок. По КТ панаортографии в возрасте 31 года: состояние после протезирования клапана аорты — клапан в аортальной позиции, стентирования нисходящего отдела аорты, протезирования левой подключичной артерии; протезирования митрального клапана; КТ-признаки расслоения брюшного отдела аорты; КТ-признаки расслоения правой подключичной артерии. В возрасте 31 года при консультировании офтальмологом был поставлен диагноз: миопия, артификация обоих глаз, ангиопатия сетчатки. В возрасте 33 лет спонтанный разрыв сосуда левой голени на фоне дисплазии соединительной ткани и гнойный артрит правого голеностопного сустава.
Согласно Гентским критериям диагностики у отца пробанда диагностирован синдром Марфана (аневризма аорты и эктопия хрусталика) [5].
По результатам проведенного полногеномного секвенирования у пробанда и его отца выявлен ранее не описанный вариант нуклеотидной последовательности c.5782T>A, p.(Cys1928Ser) (chr15:48446712A>T, NM_000138.5) в 47 из 66 экзонов гена FBN1 в гетерозиготном состоянии, с глубиной покрытия 42× и 32× соответственно (рисунок 2 и 3).
Рис. 2. NGS сиквенс пробанда (IGV browser)
Fig. 2. Proband NGS sequencing (IGV browser)
Рис. 3. NGS сиквенс отца пробанда (IGV browser)
Fig. 3. Proband’s father NGS sequencing (IGV browser)
Секвенирование по Сэнгеру подтвердило наличие варианта chr15:48446712A>T у пробанда и у отца (рисунок 4 и 5).
Рис. 4. Секвенирование по Сэнгеру у пробанда
Fig. 4. Proband Sanger sequencing
Рис. 5. Секвенирование по Сэнгеру у отца пробанда
Fig. 5. Proband’s father Sanger sequencing
Обсуждение
Ген FBN1 состоит из 237 т. п. н., содержит 66 экзонов и кодирует белок фибриллин‑1, который является структурным компонентом микрофибрилл диаметром 10–12 нм внеклеточного матрикса, передающим как морфологические, так и регуляторные свойства несущим соединительным тканям [6]. Данные микрофибриллы выступают в качестве каркаса для отложения эластина в тканях легких, кровеносных сосудов и кожи. В том числе фибриллин‑1 играет ключевую роль в гомеостазе тканей посредством специфических взаимодействий с такими факторами роста, как костные морфогенетические белки (the bone morphogenetic proteins — BMPs), факторы роста и дифференцировки (growth and differentiation factors — GDFs) и латентные TGF-β-связывающие белки (latent transforming growth factor-beta-binding proteins — LTBPs), а также с разнообразными интегринами клеточной поверхности и другими компонентами белков внеклеточного матрикса [7]. Также фибриллин‑1 регулирует созревание остеобластов, контролируя биодоступность и уровень TGF-бета, а также влияя на уровень BMP. Отрицательно регулирует остеокластогенез, связывая и секвестрируя фактор дифференцировки и активации остеокластов TNFSF11 [8].
Основной патогенетический механизм развития синдрома Марфана — экспрессирующийся с патогенного аллеля дефектный белок, участвующий в формировании микрофибрилл с нарушенной структурой; либо отсутствие экспрессии белка, которое не компенсируется функционированием второго нормального аллеля.
Было проведено сравнение клинических проявлений у пробанда и его отца согласно Гентским критериям диагностики (таблица 1).
Таблица 1
Сравнение Гентских критериев и симптоматики, отмеченной у пробанда и его отца
Критерий | Пробанд | Отец |
Аневризма аорты | -* | + |
Эктопия хрусталика | + | + |
Системное вовлечение соединительной ткани (≥7 баллов) (таблица 2) | + | + |
Семейный анамнез | + | + |
Вариант в гене FBN1 | + | + |
* — У пробанда наблюдается дилатация корня аорты, восходящего отдела аорты и дилатация ствола ЛА
Table 1
Comparison of the Ghent criteria and symptoms observed in the proband and his father
Criterion | Proband | Father |
Aortic aneurysm | -* | + |
Ectopia lentis | + | + |
Systemic features (≥7 points) (Table 2) | + | + |
Family history | + | + |
FBN1 gene variant | + | + |
* — The proband has dilation of the aortic root, ascending aorta, and pulmonary artery dilation
Таблица 2
Сравнение системного вовлечения соединительной ткани у пробанда и его отца
Признак (баллы) | Пробанд | Отец |
Признак запястья И признак большого пальца (3) / признак запястья ИЛИ признак большого пальца (1) | 3 | 3 |
Деформация по типу килевой груди (pectus carinatum) (2) / воронкообразная грудь (pectus excavatum) ИЛИ асимметрия грудной клетки (1) | 0 | 1 |
Деформация заднего отдела стопы (2) / простое плоскостопие (1) | 1 | 1 |
Пневмоторакс (2) | 0 | 0 |
Дуральная эктазия (2) | 0 | 0 |
Протрузия вертлужной впадины (2) | 0 | 0 |
Снижение отношения длины верхнего сегмента тела к нижнему (US/LS) И увеличение отношения размаха рук к росту И отсутствие выраженного сколиоза (1) | 1 | 1 |
Сколиоз ИЛИ тораколюмбальный кифоз (1) | 1 | 1 |
Ограничение разгибания в локтевых суставах (1) | 0 | 0 |
Характерные черты лица (наличие 3 из 5 признаков) (1) — долихоцефалия, энофтальм, антимонголоидный разрез глаз, гипоплазия скуловых костей, ретрогнатия | 0 | 0 |
Стрии кожи (1) | 0 | 0 |
Миопия > 3 диоптрий (1) | 0 | 1 |
Пролапс митрального клапана (все типы) (1) | 1 | 0 |
Всего баллов | 7 | 8 |
Table 2
Comparison of systemic connective tissue involvement in the proband and his father
Features (points) | Proband | Father |
Wrist AND thumb sign (3) / wrist OR thumb sign (1) | 3 | 3 |
Pectus carinatum deformity (2) / pectus excavatum OR chest asymmetry (1) | 0 | 1 |
Hindfoot deformity (2) / plain pes planus (1) | 1 | 1 |
Pneumothorax (2) | 0 | 0 |
Dural ectasia (2) | 0 | 0 |
Protrusio acetabuli (2) | 0 | 0 |
Reduced US/LS AND increased arm/height AND no severe scoliosis (1) | 1 | 1 |
Scoliosis OR thoracolumbar kyphosis (1) | 1 | 1 |
Reduced elbow extension (1) | 0 | 0 |
Facial features (3 from 5 features) (1) — dolichocephaly, enophthalmos, downslanting palpebral fissures, malar hypoplasia, retrognathia | 0 | 0 |
Skin striae (1) | 0 | 0 |
Myopia > 3 diopters (1) | 0 | 1 |
Mitral valve prolapse (all types) (1) | 1 | 0 |
Total points | 7 | 8 |
Согласно базе данных OMIM патогенные варианты в гене FBN1 приводят к следующим заболеваниям с аутосомно-доминантным типом наследования: синдром Марфана (Marfan syndrome), акромикрическая дисплазия (Acromicric dysplasia), эктопия хрусталика, семейная (Ectopia lentis, familial), гелеофизическая дисплазия 2 (Geleophysic dysplasia 2), синдром липодистрофии Марфана (Marfan lipodystrophy syndrome), синдром MASS (MASS syndrome), синдром жесткой кожи (Stiff skin syndrome), синдром Вейля-Маркезани 2, доминантный (Weill-Marchesani syndrome 2, dominant) [9].
Согласно литературным данным, при миссенс-мутациях с заменой или вставкой цистеина наблюдается более высокая вероятность эктопии хрусталика [10, 11].
У обоих пациентов вариант нуклеотидной последовательности (chr15:48446712A>T) связан с заменой цистеина на серин в структуре белка фибриллина‑1 (p.Cys1928Ser). Также у пробанда наблюдается подвывих хрусталика обоих глаз в возрасте 6 лет. А у его отца, в свою очередь, в возрасте 29 лет было проведено оперативное лечение (факоэмульсификация с имплантацией интраокулярной линзы) в связи с эктопией хрусталика обоих глаз. Таким образом, клинические особенности обоих пациентов согласуются с литературными данными о повышенной частоте эктопии хрусталика при синдроме Марфана с миссенс-мутациями, связанными с заменой цистеина в структуре белка фибриллина‑1.
В базе данных gnomAD v4.1.0 exomes [12] вариант не встречается. В базе данных популяционных частот генетических вариантов населения Российской Федерации вариант не встречается [13]. В базе данных ClinVar [14] вариант не описан. Согласно оценке Revel данный вариант оценивается как 0,84 балла, что соответствует средней вероятности патогенности [15]. AlphaMissense оценивает данный вариант на 1,0 балл, что соответствует сильному критерию патогенности [16]. Eve оценивает этот вариант на 0,74 балла (где 0 — наиболее доброкачественный, а 1 — наиболее патогенный) [17]. По критериям ACMG вариант следует рассматривать как патогенный (PS1, PM1, PM2, PM5, PP2, PP3) [18, 19].
По совокупности сведений выявленный вариант нуклеотидной последовательности следует расценивать как патогенный вариант.
Выводы
Таким образом, представленный нами семейный случай синдрома Марфана вызван ранее не описанным патогенным вариантом chr15:48446712A>T, NM_000138.5, c.5782T>A, p.Cys1928Ser в гене FBN1. Для обоих пациентов (пробанда и его отца) установлен клинический и молекулярно-генетический диагноз, что поможет спланировать тактику дальнейшей терапии, а также своевременно начать первичную и вторичную профилактику данного наследственного заболевания в этой семье.
About the authors
Vsevolod I. Stepanenko
Research Institute of Medical Genetics, Tomsk National Research Medical Center of the Russian Academy of Sciences
Author for correspondence.
Email: vsevolod.stepanenko@medgenetics.ru
ORCID iD: 0009-0004-3030-4272
Tomsk, Russian Federation
Irina Z.H. Zhalsanova
Research Institute of Medical Genetics, Tomsk National Research Medical Center of the Russian Academy of Sciences
Email: vsevolod.stepanenko@medgenetics.ru
ORCID iD: 0000-0001-6848-7749
SPIN-code: 9882-3730
Tomsk, Russian Federation
Elizaveta A. Fonova
Research Institute of Medical Genetics, Tomsk National Research Medical Center of the Russian Academy of Sciences
Email: vsevolod.stepanenko@medgenetics.ru
ORCID iD: 0000-0002-1338-5451
SPIN-code: 5198-9456
Tomsk, Russian Federation
Daria N. Erburova
Research Institute of Medical Genetics, Tomsk National Research Medical Center of the Russian Academy of Sciences
Email: vsevolod.stepanenko@medgenetics.ru
ORCID iD: 0009-0004-3444-9460
Tomsk, Russian Federation
Sofia N. Gosudarkina
Research Institute of Medical Genetics, Tomsk National Research Medical Center of the Russian Academy of Sciences
Email: vsevolod.stepanenko@medgenetics.ru
ORCID iD: 0009-0009-6823-9441
SPIN-code: 5985-1705
Tomsk, Russian Federation
Ekaterina G. Ravzhaeva
Research Institute of Medical Genetics, Tomsk National Research Medical Center of the Russian Academy of Sciences
Email: vsevolod.stepanenko@medgenetics.ru
SPIN-code: 1806-8157
Tomsk, Russian Federation
Svetlana V. Fadyushina
Research Institute of Medical Genetics, Tomsk National Research Medical Center of the Russian Academy of Sciences
Email: vsevolod.stepanenko@medgenetics.ru
Tomsk, Russian Federation
Anastasiya A. Nikitina
Research Institute of Medical Genetics, Tomsk National Research Medical Center of the Russian Academy of Sciences
Email: vsevolod.stepanenko@medgenetics.ru
Tomsk, Russian Federation
Gulnara N. Seitova
Research Institute of Medical Genetics, Tomsk National Research Medical Center of the Russian Academy of Sciences
Email: vsevolod.stepanenko@medgenetics.ru
ORCID iD: 0000-0002-8421-1416
SPIN-code: 7393-7228
Tomsk, Russian Federation
Olesya I. Klimchuk
LLC Biotech Campus
Email: vsevolod.stepanenko@medgenetics.ru
Moscow, Russian Federation
Vadim A. Stepanov
Research Institute of Medical Genetics, Tomsk National Research Medical Center of the Russian Academy of Sciences
Email: vsevolod.stepanenko@medgenetics.ru
ORCID iD: 0000-0002-5166-331X
SPIN-code: 1893-5292
Tomsk, Russian Federation
Nikolay A. Skryabin
Research Institute of Medical Genetics, Tomsk National Research Medical Center of the Russian Academy of Sciences
Email: vsevolod.stepanenko@medgenetics.ru
ORCID iD: 0000-0002-2491-3141
SPIN-code: 3416-4105
Tomsk, Russian Federation
References
- Chiu HH, Wu MH, Chen HC, Kao FY, Huang SK. Epidemiological profile of Marfan syndrome in a general population: a national database study. Mayo Clin Proc. 2014;89(1):34–42. doi: 10.1016/j.mayocp.2013.08.022
- Faivre L, Masurel-Paulet A, Collod-Béroud G, Callewaert BL, Child AH, Stheneur C, Binquet C, Gautier E, Chevallier B, Huet F, Loeys BL, Arbustini E, Mayer K, Arslan-Kirchner M, Kiotsekoglou A, Comeglio P, Grasso M, Halliday DJ, Béroud C, Bonithon-Kopp C, Claustres M, Robinson PN, Adès L, De Backer J, Coucke P, Francke U, De Paepe A, Boileau C, Jondeau G. Clinical and molecular study of 320 children with Marfan syndrome and related type I fibrillinopathies in a series of 1009 probands with pathogenic FBN1 mutations. Pediatrics. 2009;123(1):391–398. doi: 10.1542/peds.2008-0703
- Ramirez F, Dietz HC. Marfan syndrome: from molecular pathogenesis to clinical treatment. Curr Opin Genet Dev. 2007;17(3):252–258. doi: 10.1016/j.gde.2007.04.006
- Gonzales EA. Marfan syndrome. J Am Acad Nurse Pract. 2009;21(12):663–670. doi: 10.1111/j.1745-7599.2009.00461.x
- Loeys BL, Dietz HC, Braverman AC, Callewaert BL, De Backer J, Devereux RB, Hilhorst-Hofstee Y, Jondeau G, Faivre L, Milewicz DM, Pyeritz RE, Sponseller PD, Wordsworth P, De Paepe AM. The revised Ghent nosology for the Marfan syndrome. J Med Genet. 2010;47(7):476–485. doi: 10.1136/jmg.2009.072785
- Lee SS, Knott V, Jovanović J, Harlos K, Grimes JM, Choulier L, Mardon HJ, Stuart DI, Handford PA. Structure of the integrin binding fragment from fibrillin‑1 gives new insights into microfibril organization. Structure. 2004;12(4):717–729. doi: 10.1016/j.str.2004.02.023
- Jensen SA, Handford PA. New insights into the structure, assembly and biological roles of 10–12 nm connective tissue microfibrils from fibrillin‑1 studies. Biochem J. 2016;473(7):827–838. doi: 10.1042/BJ20151108
- Tiedemann K, Boraschi-Diaz I, Rajakumar I, Kaur J, Roughley P, Reinhardt DP, Komarova SV. Fibrillin‑1 directly regulates osteoclast formation and function by a dual mechanism. J Cell Sci. 2013;126(Pt 18):4187–4194. doi: 10.1242/jcs.127571
- OMIM (An Online Catalog of Human Genes and Genetic Disorders). URL: http://www.omim.org/ (Accessed 12.10.2025, Дата доступа 12.10.2025)
- Faivre L, Collod-Beroud G, Loeys BL, Child A, Binquet C, Gautier E, Callewaert B, Arbustini E, Mayer K, Arslan-Kirchner M, Kiotsekoglou A, Comeglio P, Marziliano N, Dietz HC, Halliday D, Beroud C, Bonithon-Kopp C, Claustres M, Muti C, Plauchu H, Robinson PN, Adès LC, Biggin A, Benetts B, Brett M, Holman KJ, De Backer J, Coucke P, Francke U, De Paepe A, Jondeau G, Boileau C. Effect of mutation type and location on clinical outcome in 1,013 probands with Marfan syndrome or related phenotypes and FBN1 mutations: an international study. Am J Hum Genet. 2007;81(3):454–466. doi: 10.1086/520125
- Hernándiz A, Zúñiga A, Valera F, Domingo D, Ontoria-Oviedo I, Marí JF, Román JA, Calvo I, Insa B, Gómez R, Cervera JV, Miralles M, Montero JA, Martínez-Dolz L, Sepúlveda P. Genotype FBN1/phenotype relationship in a cohort of patients with Marfan syndrome. Clin Genet. 2021;99(2):269–280. doi: 10.1111/cge.13879
- gnomAD (Genome Aggregation Database). URL: https://gnomad.broadinstitute.org/ (Accessed 12.10.2025, Дата доступа 12.10.2025)
- ClinVar. URL: https://www.ncbi.nlm.nih.gov/clinvar/ (Accessed 12.10.2025)
- REVEL (Rare Exome Variant Ensemble Learner). URL: https://sites.google.com/site/revelgenomics/ (Accessed 12.10.2025)
- The AlphaMissense Database. URL: https://alphamissense.hegelab.org/ (Accessed 12.10.2025)
- EVE (Evolutionary model of Variant Effect). URL: https://evemodel.org/ (Accessed 12.10.2025)
- Richards S, Aziz N, Bale S, Bick D, Das S, Gastier-Foster J, Grody WW, Hegde M, Lyon E, Spector E, Voelkerding K, Rehm HL; ACMG Laboratory Quality Assurance Committee. Standards and guidelines for the interpretation of sequence variants: a joint consensus recommendation of the American College of Medical Genetics and Genomics and the Association for Molecular Pathology. Genet Med. 2015;17(5):405–424. doi: 10.1038/gim.2015.30
- Ryzhkova OP, Kardymon OL, Prokhorchuk EB, Konovalov FA, Maslennikov AB, Stepanov VA, Afanasiev AA, Zaklyazminskaya EV, Rebrikov DV, Savostyanov KV, Glotov AS, Kostareva AA, Pavlov AE, Golubenko MV, Polyakov AV, Kutsev SI. Guidelines for the interpretation of human DNA sequencing data obtained by massively parallel sequencing (MPS) (2018 revision, version 2). Medical Genetics. 2019;18(2):3–23. doi: 10.25557/2073-7998.2019.02.3-23. (In Russian)
Supplementary files















