New approaches to quality control of drugs from the group of branched polymers on the example of dextran
- Authors: Marchenkova L.A.1, Safdari A.1, Uspenskaya E.V.1
-
Affiliations:
- RUDN University
- Issue: Vol 28, No 4 (2024): ONCOLOGY
- Pages: 537-547
- Section: PHARMACOLOGY
- URL: https://journals.rudn.ru/medicine/article/view/42015
- DOI: https://doi.org/10.22363/2313-0245-2024-28-4-537-547
- EDN: https://elibrary.ru/HFDTYZ
- ID: 42015
Cite item
Full Text
Abstract
Relevance. Colloidal blood substitutes — polyglukins — have been used in infusion therapy for 70 years and are widely represented in modern pharmaceutical regulatory documentation. Glucose polymer with a (1→6) glycosidic linkages (dextran), as the main active pharmaceutical ingredient of polyglukins, has exceptional properties, such as long-term circulation in the bloodstream, inertness, volemic, detoxification, and antithrombotic effects. Quality authentication control of polyglukins usually includes FT-IR spectroscopy, while systems of polymeric micelles require characterization of dispersion and the electrophoretic properties that are in unambiguous correspondence with their biological activity. The aim of the study was to develop new approaches based on laser scattering methods to identify polymer-based blood substitute drugs to complement existing regulatory documentation, and assess their biological activity using the Spirotox method. Materials and Methods. Reopolyglukin (Rpg) — an aqueous solution of dextran with a molecular weight of 30—40 kDa (Dex35) and 0.9% sodium chloride; water with different contents of the heavy isotope , Malvern Zetasizer ZSP equipment for measuring hydrodynamic radius (d, nm), zeta potential of colloids (ξ, mV); Biotesting method with Spiostomum ambigia cell for evaluating survival time in different dilutions of Rpg. Results and Discussion. Determination of submicron dispersity in the initial Rpg and in dilutions of water isotopologues indicates the presence of particles d50(Median) = 10 nm with a volume concentration V = 18% and a low polydispersity index PDI ~ 0.2. It is shown that the size distribution of nanoparticles is influenced by a noticeable effect is the concentration of the isotope. Biopharmaceutical analysis with the usage of Protozoa based on the Arrhenius kinetic model showed a decrease in the toxicity of aqueous solutions of Rpg in an environment with a reduced content of the isotope . New approaches based on the use of laser analysis methods have been developed to characterize the dispersion properties and colloidal stability of polymer-based blood substitutes. Conclusion. The results obtained can be included into the new edition of a pharmacopeial article on Reopolyglukin preparations.
Full Text
Introduction
Dextran (Dxt) — is a polysaccharide composed of glucose monomers linked by α‑1,6‑glycoside bonds in a 1:6. ratio. Additionally, the Dextran molecule may feature α‑1,2, α‑1,3 and α‑1,4‑bonds forming side chains containing approximately 2∙105 units of glucose [1] (Fig. 1).
It is known that the glycoside bond (1→6) is atypical for plants (starch) and animals (glycogen), and there are no body enzymes capable of breaking down such polysaccharides. However, this characteristic gives dextran a significant advantage as a blood substitute — the duration of circulation in the bloodstream and withdrawal almost unchanged, which eliminates its cumulation [2]. The bacteria of the Lactobacillaceae family (Leuconostoc mesenteroides, Leuconostoc paramesenteroides biological species) and Weissella (Weissella cibaria, Weissella confusa) possess probiotic potential and produce dextran from sucrose (dextranase enzyme) which finds application in the pharmaceutical industry [3]. Depending on the environmental conditions (T, C° and pH) it is possible to obtain a low- (Mr 20—50 kDa), medium- (Mr 50—70 kDa) and high-molecular (Mr>100 kDa) dextrans [4]. The most demanded in medicine are dextrans with a molecular mass of 30—40 kDa and 70 kDa, characterized by inertia, volumetric, detoxifying, diuretic, antithrombotic effect [5]. However, in the sugar industry, dextrans are undesirable compounds causing significant production losses due to Leuconostoc bacteria living on the sugar beet [6].
The history of the dextran’s application began in 1943 at the Department of Physical Chemistry, University of Uppsala (Sweden), headed by Nobel laureate T. Svedberg. When developing new technologies for sugar factories of Sockerbolaget AB company, dextran was obtained as a ʺby-productʺ [7]. Together with pharmaceutical companies, the technology was brought to the Macrodex commercial product status [8]. Dextran-based drugs (Mr 35—40 kDa and 50—70 kDa) belong to the group of hemodynamic blood substitutes designed to restore hemodynamic disorders (blood microcirculation) and to treat shock of various origins. Quality control of parenteral, sterile dextran-based drugs — polyglukins — includes determination of authenticity by polarimetric, spectrometric (FT-IR) and chemical methods. Purity is determined according to pH, viscosity, average molecular weight, density, biological toxicity tests. However, particle size analysis for ‘Particle size’ and ‘Visible mechanical inclusions’ are not available in the current ʺDEXTRAN 40, 60, 70 FOR INJECTIONʺ Standarts [9]. It is known that particle size correlates with stability, solubility, bioavailability, and rate of redistribution in the body. In addition, the control of invisible mechanical inclusions — foreign insoluble particles (except gas bubbles), that may accidentally be present in medical products, is necessary to prevent their entry into the systemic circulation.
The aim of the study was to develop a new approach based on laser scattering methods for the identification of drugs — polymer blood substitutes to supplement existing standards, as well as to evaluate their biological activity using the Spirostomum ambigua biotesting method.
Figure 1. 2D-Chemical structure of Dextran (Mg ~ 40,000 Da) (inset shows a Dxt dimer with a side substituent)
Materials and Methods
The object of the study was the drug reopolyglukin (batch № 016167/01 of RP ʺBelpharmʺ, Republic of Belarus), which is an aqueous solution of 0.9% sodium chloride and dextran with a molecular mass of 30—40 kDa (Dex35). Composition per 1 ml: dextran (avg. mol. mass 30,000—40,000) — 100 mg (as a 10% solution in water for injection); as an excipient, NaCl — 9 mg. Theoretical osmolarity — 330 mOsm/L. The solution is transparent, colorless, or slightly yellow. The drug was used in its initial concentration or diluted 1:100 with the use of solvents: bidistilled water (ratio /~140 ppm, electrical resistance >18 MΩ × сm–1 at 25 °C, ТОС ≤ 5 ppb, Merck Millipore), deuterium depleted water (~4 ppm, Merck, Darmstadt, Germany), and heavy water (99,9% D2O, ALDRICH, Darmstadt, Germany).
The particle size was analyzed by laser light scattering (Dynamic Light Scattering, DLS) using a laser nanosizer Zetasizer Nano ZSP (Malvern, UK). For measuring the size of submicron (nano-) particles from 0.1 nm to 10 000 nm in the studied samples of Rpg 10% and the 1:100 dilution, DLS technology was used to measure the diffusion of particles due to Brownian motion followed by size conversion to the Stokes-Einstein equation (1) [10]:
\( D=\frac{k_B T}{6 \pi \eta R}, \) (1)
where D is the diffusion coefficient, kB is the Boltzmann constant, T is the absolute temperature, η is the viscosity of the liquid, R is the hydrodynamic radius of the particle.
To characterize the width of the particle size distribution, the polydispersity index (PDI) was used as a measure of the heterogeneity of particle sizes in the sample. PDI values are calculated by fitting the autocorrelation function in the DLS software. Since the polydispersity of a sample is the standard deviation of the distribution divided by the average radius, to calculate the polydispersity index the resulting value is squared:
\( PDI=\frac{\mu_2}{G^2}, \) (2)
where G2 is (G-)2 and G is the average decay rate, which is proportional to the average translational diffusion coefficient D, which is used to calculate the radius.
The study of the biological activity of Rpg dilute aqueous was conducted using the cell culture Spirostomum ambigua (S. ambigua) [11]. The mechanism of ligand-receptor interaction includes the stage of interaction of the xenobiotic with the cell, the disintegration of the intermediate complex, accompanied by a change in the concentration of the cell biosensor due to conformational changes in the receptor, degradation, synthesis of new receptors, and formation of the C×Ln intermediate state (Fig. 2).
Statistical data processing was conducted using the Student’s t-test, as well as the one-way analysis of variance (ANOVA, Analysis Of Variance) developed by Sir Ronald Aylmer Fisher in the Origin Pro program. The differences were considered statistically significant at p < 0.05.
Figure 2. Kinetic scheme of ligand-receptor interaction S. ambigua with toxicant: C-cell, L-ligand, n-stoichiometric coefficient, C×Ln — intermediate state (cell after interaction with the ligand), Ke is the equilibrium constant fast stage, fm is the rate constant of the cell transition to the dead state, DC is a dead cell [12]
Results and Discussion
Estimation of the size, size distribution, and ζ-potential of dextran colloids based on dynamic light scattering data
Particle size and particle size distribution are very important factors for assessing the effectiveness of a medication 13. Functions of light scattering intensity (I,%) were obtained and analyzed for the characterization of dispersed systems and description of the properties of colloidal particles in the liquid dextran pharmaceutical solution, including the hydrodynamic diameter of particles (d, nm); volume concentration (V, %) — hydrodynamic diameter of particles (d, nm); the grain size distribution of the sample (polydispersity index, PDI), as well as ζ-potential (mV) as an indicator of particle surface charge and the measure of electrostatic interaction.
According to the Mie theory and the Rayleigh-Gans-Debye (RGD) approximation, light scattering occurs independently on each particle [14, 15]. The total intensity of the scattered light is proportional to the concentration of particles in the sample. The RGD approximation may be disrupted with increasing concentration due to the interaction that occurs between particles [16, 17]. This is reflected in the relation between the diffusion coefficient D and the particle radius (see eq. 1). In connection with this, we also conducted studies of the effect of dilutions of 1:100 on the dispersion properties of a Rpg solution (Fig. 3).
Figure 3. Size distribution of nanoparticles in the reopolyglukin solution in units of intensity (I, %) and volume concentration (V, %): (a) and (b) in the original 10% solution; (c) and (d) at a dilution of 1:100
The figures show unimodal, narrow peaks of colloidal particle distribution in dextran 10% solution, both in intensity units (I, %) and volume concentration units (V,%): DI, Mean= 7,6 nm и DV, Mean= 5,6 nm.
The monodispersity of the sample is confirmed by the polydispersity index PDl = 0,22, the values of which are sensitive to the presence of aggregates in solutions: the homogeneity of particles in the population leads to a narrow resultant size distribution and small PDI values, which determines the monodispersity of the sample (see. fig. 3 (a, b). The polydispersity index value in the diluted 1:100 sample Rpg decreases (PDI = 0,20), which suggests a greater homogeneity of the colloidal solution (Table 1).
Table 1. Characteristics of dispersibility of colloidal blood substitute samples according to DLS method
Test sample | Size ± SD, nm | Polydispersity index, PDl | Zeta potential, mV | |
Intensity,% | Volume,% | |||
Reopolyglukin 10% | 7,6 ± 2,6 | 5,6 ± 1,9 | 0,22 | -0,7 |
Dilution 1:100 (0,1%) | 10,7 ± 4,0 | 7,4 ± 2,7 | 0,20 | -0,6 |
The reopolyglukin solution contains, according to the pharmaceutical prescription, 0.9% sodium chloride solution. It can be seen that the introduction of electrolyte into the solution causes the dynamic equilibrium between the counterions of the adsorption and diffuse layers to shift towards the adsorption layer. Some fraction of counterions of the diffuse layer passes to the adsorption layer, the diffuse layer shrinks, and the zeta potential value decreases (Table 1).
It is known that in deuterium—depleted water in the content of heavy isotope of hydrogen — deuterium — the rate of chemical reactions, as well as solvation of ions and their mobility, changes [18]. The so-called kinetic isotope effect is manifested, which gives a control function to the kinetic properties of aqueous media. In connection with the interest to study the relationship between the deuterium content and the disperse properties of the colloidal system of reopolyglukin, we have tested the properties of colloidal systems when diluted with samples of deuterium—depleted water (light water), with natural content (bidistilled) and heavy D2O water (Fig. 4, Table 2).
Figure 4. Size distribution of nanoparticles in reopolyglukin solution in 1:100 dilution with bidistilled water, with reduced deuterium content (“light” water) and heavy water D2O: (a) in intensity units (I, %); (b) volume concentration (V, %)
Table 2. Characteristics of dispersibility of colloidal blood substitute samples according to the DLS method at dilution with the different deuterium content water
Dilute samples (1:100) | Size ± SD, нм | Polydispersity index, PDl | Zeta potential, mV | |
| Intensity, % | Volume, % | ||
Deuterium-depleted water (“light” water) | 7,9 ± 2,2 | 6,4 ± 1,8 | 0,45 | –5,7 |
Bidistilled water | 10,7 ± 4,0 | 7,4 ± 2,7 | 0,20 | –0,6 |
D2O (heavy water) | 10,2 ± 2,9 | 8,0 ± 2,4 | 0,21 | –8,65 |
It can be seen that the smallest size of colloidal particles is characterized by a 1:100 dilution of Rpg in water depleted in deuterium content (red distribution curve). Despite the presence of an additional peak at 190 nm, which is reflected in the PDI value, the volume occupied by nanoparticles in the ddw dilution is the smallest. The smallest fraction of scattered light is the least in heavy water dilution medium (black distribution curve) with an extra peak of the submicron size group at 300 µm. The table data also demonstrates differences in the zeta potential in colloidal blood substitute media with different concentrations of the heavy hydrogen isotope: D2O and “light” water show greater diffuse layer blurring (Table 2). The impact of the NaCl electrolyte (0.9% solution) on the thickness of the diffuse layer of ions of the double electric layer is most pronounced when in the presence of colloidal blood substitute containing a natural deuterium content of approximately 145 ppm: = –0,6 mV (Table 2).
Arrhenius kinetics model-based biopharmaceutical analysis with Sp. ambigua protozoa
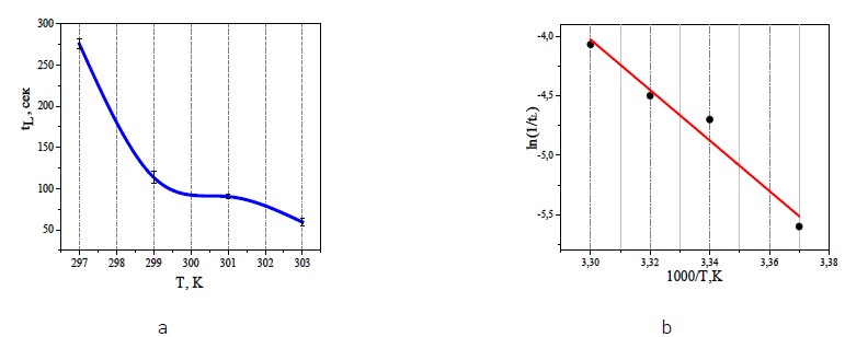
The rate of mortality of the test item was examined using the Arrhenius hypothesis to evaluate the biological activity of samples that were diluted Rpg with a solvent that contained varying amounts of isotopologues: based on graphical dependencies in the “lifetime — T, K” coordinates, the activation energy of the cell transition process to the DC state could be found (Fig. 2):
\( ln k =ln A - \frac{E_a}{R} \cdot \frac{1}{T}, \)
where k is the rate constant, Ea is the activation energy (kJ/mol), R is the gas constant (8.314 J/(mol K)), A is the pre-exponential factor, T is temperature (K).
According to the proposed dependency, a cellular biosensor that is similar to an enzyme-substrate complex forms in an intermediate state during the ligand-induced death process. The apparent activation energy (Ea) of 176 kJ/mol was determined using the tangent of the straight line’s angle of inclination to the abscissa axis in semilogarithmic coordinates: Ea=176 kJ/mol (Fig. 5).
Figure 5. Dependence of Sp. ambigua cell biosensor lifetime (“dose-response”) in reopolyglukin dilution with bidistilled water (1:100): (a) direct coordinates; (b) semi-logarithmic coordinates (n=3)
Conclusion
The research, which included the use of aqueous isotopologues for the preparation of dilutions, examined the dispersed submicron, nanosized, and biopharmaceutical properties of the colloidal blood substitute reopolyglukin, which contains dextran with a molecular weight of 30—40 kDa (Dex35). The results are presented for the first time in this work. The lack of directions for dispersion phase particle characterization was revealed by a review of current dextran regulation papers. Then, the polydispersity index, the size of colloids, and the electrokinetic potential can be used as standards for medication quality control.
It was feasible to assess the apparent activation energy of death and the average life span of ciliates in different reopolyglukin media by describing their behavioral characteristics using the cellular biosensor Spirostomum ambigua.
The outcomes of a comprehensive investigation into the characteristics of a reopolyglukin solution 10% can function as the primary or essential supplementary examinations required to ascertain the legitimacy and biological efficacy/toxicity of colloidal blood substitutes, which are extensively employed in the management of shock states.
Table 3. Results of the Spirotox method in the study of biological activity of dilutions (1:100) of reopolyglukin by aqueous isotopologues*
Test parameters | Reopolyglukin sample diluted 1:100 | ||
Light water (ddw) D/H=4 ppm | Bidistilled water (bd) D/H=140 ppm | Heavy water 99,9% D2O | |
Behavioral character of ciliates in a cultivated environment | Free, active movement in volume throughout the entire cultivation period | In the first 2 minutes: loss of orientation in space, slow movement. After 2 minutes: free, active movement in volume | At the time of planting in the medium and throughout the entire cultivation period, there is a loss of orientation in space and slow movement within the volume |
Lifetime, (Т=297 К) | 276±8,7 | 235±6,2 | 143±12,6 |
Note: *insets are images of Spirostomum ambigua cells in cultured medium.
About the authors
Lianna A. Marchenkova
RUDN University
Email: uspenskaya_ev@pfur.ru
ORCID iD: 0009-0006-9170-1313
Moscow, Russian Federation
Ainaz Safdari
RUDN University
Email: uspenskaya_ev@pfur.ru
ORCID iD: 0009-0004-5238-5042
Moscow, Russian Federation
Elena V. Uspenskaya
RUDN University
Author for correspondence.
Email: uspenskaya_ev@pfur.ru
ORCID iD: 0000-0003-2147-8348
Moscow, Russian Federation
References
- Thomas H, Tim L, Brigitte H, Stephanie H. Functional Polymers Based on Dextran. Advances in Polymer Science. 2006; 205:199—291. doi: 10.1007/12_100. ISBN 978-3-540-37102-1
- Wang M, Xian Y, Lu Z, Wu P, Zhang G. Engineering polysaccharide hydrolases in the product-releasing cleft to alter their product profiles. International Journal of Biological Macromolecules. 2024;256 (2):128416. doi: 10.1016/j.ijbiomac
- Ernst L, Offermann H, Werner A, Wefers D. Comprehensive structural characterization of water-soluble and water-insoluble homoexopolysaccharides from seven lactic acid bacteria. Carbohydrate Polymers. 2024;1(323):121417. doi: 10.1016/j.carbpol.2023.121417.
- Dahiya D, Nigam PS. Dextran of Diverse Molecular-Configurations Used as a Blood-Plasma Substitute, Drug-Delivery Vehicle and Food Additive Biosynthesized by Leuconostoc, Lactobacillus and Weissella. Applied Sciences. 2023;13:12526. doi: 10.3390/app132212526
- Soeiro VC, Melo KRT, Alves MGCF, Medeiros MJC, Grilo MLPM, Almeida-Lima J et al. Dextran: Influence of Molecular Weight in Antioxidant Properties and Immunomodulatory Potential. International Journal of Molecular Sciences. 2016;17:1340. doi: 10.3390/ijms17081340
- Li M, Li J, Qin X, Cai J, Peng R, Zhang M. The effects of dextran in residual impurity on trehalose crystallization and formula in food preservation. Food Chemistry. 2024;1(442):138326. doi: 10.1016/j.foodchem.2023.138326
- Grönwall A, Ingelman B. Dextran as a Substitute for Plasma. Nature. 1945;155: 45. doi: 10.1038/155045a0
- Rostenberg I, Hernández-Téllez A, Romero-Villaseñor G, Mora G, Guizar-Vázquez J, Cantú JM. Effects of dextran 70 (Macrodex) in a type 3 mucopolysaccharidosis. Annales Genetique. 1973;16(2):121—2.
- European Pharmacopoeia (Ph. Eur.) 10th Edition, [Electronic resource]. — access: Available online: https://www.edqm.eu/en/european-pharmacopoeia-ph-eur‑10th-edition (Accessed 3 June 2024).
- Zhdanov VP. How the partial-slip boundary condition can influence the interpretation of the DLS and NTA data. Journal of biological physics. 2020;46:169—176.
- Shimada M, Hayakawa MM, Suzaki T, Ishida H. Morphological reconstruction during cell regeneration in the ciliate Spirostomum ambiguum. European Journal of Protistology 2024;28(94):126079. doi: 10.1016/j.ejop.2024.126079.
- Uspenskaya EV, Pleteneva TV, Hanh MH, Kazimova IV. Assessment of biology activity of the peeling substances by the physicochemical approaches on the Spirostomum ambiguum cell model. International Journal of Pharmacy and Pharmaceutical Sciences. 2021;13(7):82—86. doi: 10.22159/ijpps.2021v13i7.41927
- Beran K, Hermans E, Holm R, Sepassi K, Dressman J. Projection of Target Drug Particle Size in Oral Formulations Using the Refined Developability Classification System (rDCS). Pharmaceutics. 2023;15,1909. doi: 10.3390/pharmaceutics15071909
- Shapovalov K. Light scattering of cylindrical particles in Rayleigh- Gans-Debye approximation. 1. Rigorously oriented particles. Atmospheric and Oceanic Optics. 2004;17:350—353.
- Lapuerta M, González-Correa S, Cereceda-Bali F, Moosmüller H. Comparison of Equations Used to Estimate Soot Agglomerate Absorption Efficiency with the Rayleigh-Debye-Gans Approximation. Journal Quantitative Spectroscopy Radiative Transfer. 2021; 262:107522, 10.1016/j.jqsrt.2021.107522.
- Jiamin W, Yongman K, Martin J, Mulvihill TK. Dilution destabilizes engineered ligand-coated nanoparticles in aqueous suspensions Tokunaga. Environmental Toxicology and Chemistry. 2018;37(5) doi: 10.1002/etc.4103
- Kirichenko MN, Masalov AV, Chaikov LL, Zaritsky AR. Relationship of sizes and concentrations of particles in undiluted and diluted blood plasma according to light scattering data // Short messages on physics FIAN. 2015. № 2. URL: https://cyberleninka.ru/article/n/sootnoshenie-razmerov-i-kontsentratsiy-chastits-v-nerazbavlennoy-i-razbavlennoy-plazme-krovi-po-dannym-svetorasseyaniya Accessed 03 May 2024). (In Russian)
- Uspenskaya EV, Pleteneva TV, Kazimova IV, Syroeshkin AV. Evaluation of Poorly Soluble Drugs’ Dissolution Rate by Laser Scattering in Different Water Isotopologues. Molecules. 2021; 26:601. doi: 10.3390/ molecules26030601
Supplementary files


















