Influence of muramyl peptides on the production of chemokines, growth factors, pro-inflammatory and anti-inflammatory cytokines
- Authors: Guryanova S.V.1,2
-
Affiliations:
- M.M. Shemyakin and Yu.A. Ovchinnikov Institute of Bioorganic Chemistry
- RUDN University
- Issue: Vol 28, No 3 (2024): PHYSIOLOGY. EXPERIMENTAL PHYSIOLOGY
- Pages: 365-376
- Section: IMMUNOLOGY
- URL: https://journals.rudn.ru/medicine/article/view/40856
- DOI: https://doi.org/10.22363/2313-0245-2024-28-3-365-376
- EDN: https://elibrary.ru/DJROAN
- ID: 40856
Cite item
Full Text
Abstract
Relevance. The recent increase in inflammatory, allergic and infectious diseases needs to update new ways of raising non-specific resistance of the organism. Innate immunity provides the first line of defense against pathogens through the activation of receptors that detect microorganisms: TLRs, NLRs and CLRs. Muramyl peptides that form the cell wall of all known bacteria are recognized by NLRs and trigger immune responses to eliminate pathogens. The aim of this study was to investigate the effect of muramyl peptides on the production of chemokines, growth factors, pro-inflammatory and anti-inflammatory cytokines by human mononuclear cells. Materials and Methods. Mononuclear cells were isolated from the peripheral blood of healthy volunteers using the Cell Separation Media Lympholyte CL 5015 reagent and cultured for 4 hours in the presence of glucosaminyl muramyl dipeptides GMDP, GMDP-OH, GMDP-Lys, GMDP-LL; an adequate amount of medium was added to the control wells. The levels of chemokines, growth factors, proinflammatory and anti-inflammatory cytokines were measured using magnetic beads with antibodies according to the manufacturer’s instructions Luminex 200, Merck (Millipore) equipment, and software (Burlington, Massachusetts, USA). Results and Discussion. It was found that muramyl peptides GMDP, GMDP-ON and GMDP-Lys enhance the production of cytokines IL-1a, IL-1b, IL-1RA, IL-2, IL-3, IL-4, IL-5, IL-6, IL-9, IL-10, IL-12P40, IL-12P70, IL-15, MDC, sCD40L, IFNα2, IFN-γ, TNF-a, TNF-β, GM-CSF. GMDP-LL does not affect the production of cytokines. At the same time, muramyl peptides with the L-configuration of alanine and the D-configuration of isoglutamine (L-D muramyl peptides) did not change the values of IL-2, IL-3, IL-5, IL-9. Conclusion. The D-configuration of isoglutamine is fundamental for the implementation of the regulatory activity of muramyl peptides. A wide range of bacterial bioregulators, the source of which are microorganisms, regulate the host homeostasis and trigger immune reactions, which, depending on the context, can have opposite effects. L-D muramyl peptides activate mononuclear cells, which begin to produce proinflammatory cytokines and chemokines, as well as growth factors necessary for the destruction of pathogens. In addition, anti-inflammatory cytokines are also triggered, which have a regulatory role in the appearance of memory cells and the weakening of inflammatory reactions. Thus, normally, muramyl peptides participate in maintaining tolerance to microflora and maintaining immune homeostasis.
Full Text
Introduction
Muramyl peptides are key components of the cell wall of gram-positive and gram-negative bacteria [1]. N-acetylmuramic acid is synthesized exclusively in prokaryotic organisms and, together with N-acetylglucosamine and peptides that cross-link these polymer chains, forms the peptide glycan framework of the bacterial cell wall [2, 3]. In gram-positive bacteria, the peptide glycan layer is several times thicker than in gram-negative bacteria [4]. In gram-negative bacteria, an outer membrane with lipopolysaccharides of various chemical structures [5, 6] is located on top of the peptide glycan layer, determining the species and strain specificity of bacteria [7–9]. However, recent studies using advanced imaging techniques have revealed that lipopolysaccharides are embedded in the bacterial outer membrane as discrete regions that form islands in the bacterial outer membrane [10]. During growth, bacteria remodel the peptide glycan framework using their own autolysin enzymes, with a significant portion (up to 50 %) of the resulting muramyl peptides being reused by the bacterium, and some muramyl peptides ending up in the extracellular environment [11–13]. Muramyl peptides and lipopolysaccharides are pathogen-associated molecular patterns that activate innate immune receptors and ensure an adequate response of the macroorganism to pathogenic and commensal microflora [14–16].
The mechanism of action of muramyl peptides is based on recognition by innate immune receptors such as Nucleotide-binding Oligomerization Domain-containing protein 1 and 2 (NOD1, NOD2) of intracellular localization in all cells of the body [17, 18]. Interaction of muramyl peptides with NOD1 or NOD2 triggers a cascade of signaling pathways leading to activation of nuclear factor kappa B (NF-κB) and release of proinflammatory cytokines such as interleukin-1 (IL-1), interleukin-6 (IL-6), interferon gamma (IFNg) and tumor necrosis factor alpha (TNF-α). This process plays an important role in protecting the body from bacterial and viral infections. It is known that mutations in the NOD2 gene are associated with Crohn’s disease, a chronic inflammatory bowel disease, which served as an additional incentive for a detailed study of the signaling pathways triggered by muramyl peptides [19–21]. It was determined that the functioning of NOD2 is a necessary condition for maintaining the functioning of innate and acquired immunity [18]. Maintaining the integrity of the epithelial barrier is the main condition for preventing the penetration of microorganisms by transepithelial transport and the occurrence of inflammation, and as a consequence, the occurrence of various diseases affecting all systems and organs [22–24]. Understanding the features of the interaction of muramyl peptides with epithelial cells, as well as with various immunocompetent cells, can lead to the development of therapies aimed at modulating NOD2 activity and regulating the immune response. In particular, enhancing the immune response with muramyl peptides can be used in primary immunodeficiencies, while activation of neutrophilic granulocytes and the macrophage link of immunocompetent cells can compensate for insufficient production of immunoglobulins [25]. Medicines based on muramyl peptides have proven effective in the prevention of seasonal respiratory infections and in the rehabilitation of patients who have had COVID19 [26, 27]. Studies show that muramyl peptides can be effective adjuvants for vaccines [28–30]. Adjuvants enhance the immune response to an antigen, which is especially important for vaccines against hard-to-detect pathogens. In particular, muramyl peptides stimulate the production of antibodies and increase the activity of macrophages, neutrophilic granulocytes, and natural killer cells, which makes them valuable in the development of vaccines against bacterial and viral infections [31, 32]. Medicines based on muramyl peptides have proven effective in the prevention of acute respiratory diseases [26].
In addition, muramyl peptides are being studied as potential therapeutic agents for autoimmune diseases. At the same time, muramyl peptides can both aggravate the course of an autoimmune disease, for example, in ultra-high concentrations in ankylosing spondylitis, and alleviate it, for example, when taken during remission in psoriasis [33, 34]. Understanding the effect of muramyl peptides in these pathologies can lead to the development of new strategies for the treatment and diagnosis of such diseases.
The triggering of anti-inflammatory reactions along with pro-inflammatory reactions may be one of the possible explanations for the discovered multidirectional effects of muramyl peptides. At the same time, anti-inflammatory reactions manifest themselves with a significant lag in time and intensity compared to pro-inflammatory ones [35].
The main interest in muramyl peptides is explained by their ability to activate innate immunity, which makes them promising agents for the prevention of socially significant diseases, as well as the development of new therapeutic and diagnostic methods. The prospects for the use of muramyl peptides in biomedicine continue to expand [32]. New studies are aimed at modifying the structure of muramyl peptides to increase their effectiveness and specificity [36–39]. The development of synthetic analogs of muramyl peptides that may have improved properties and reduced toxicity, as well as the study of their immunomodulatory properties is an important direction in the development of new preventive and therapeutic agents to increase non-specific resistance.
Materials and methods
Muramyl peptides
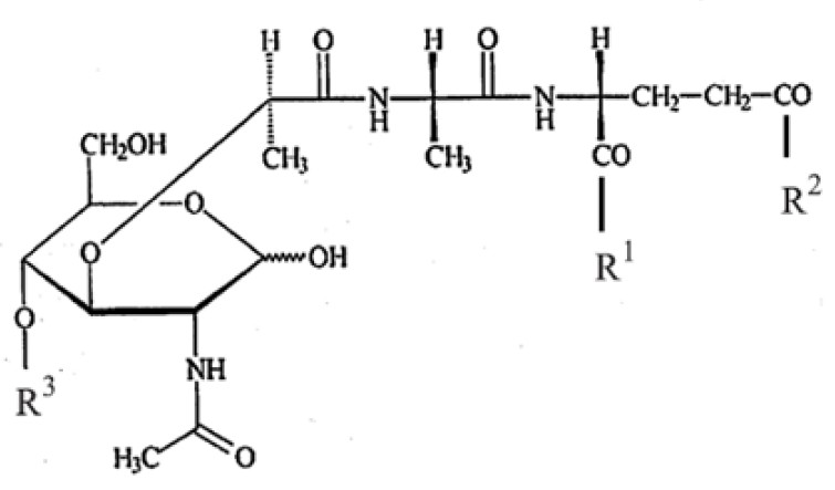
Muramyl peptides were synthesized in the laboratory of peptide chemistry of M.M. Shemyakin and Yu.A. Ovchinnikov Institute of Bioorganic Chemistry (Moscow, Russia) [40]. The chemical structure of muramyl peptides is presented in the figure 1.
М | Muramyl | R1 | R2 | R3 |
695 | GMDP | NH2 | OH | GlcNAcβ1 |
Fig. Chemical structure of muramyl peptides
Isolation of mononuclear cells
Venous blood was collected in the tubes (Vacuette, Greiner Bio-One, Austria) with an anticoagulant (0.1 ml of a 2.7 % K2EDTA salt solution; pH 7.2-7.4 per 1 ml of blood). Whole blood was diluted 1:3 with phosphate-buffered saline PBS (Paneco, Russia), layered on Cell Separation Media Lympholyte CL 5015 (Cedarlane Laboratories Limited, Ontario, Canada) and centrifuged for 40 minutes at 400 G. Mononuclear cells (MNCs) were washed twice in complete RPMI 1640 medium (Merk, Germany) containing 10 % fetal bovine serum (Merk, Germany), 100 U/ml penicillin (Merk, Germany), 100 μg/ml streptomycin (Merk, Germany) and 10 mM Hepes buffer (Merk, Germany). Cell viability was determined by trypan blue staining (Paneco, Russia).
Cultivation of human mononuclear cells in the presence of muramyl peptides
Mononuclear cells were added to the wells of a 96-well plate (Costar, Washington, WA, USA), at 0.2x105 per well, muramyl dipeptides were added at a final concentration of 5 µg/ml and an equal volume of medium to control wells. The cells were incubated for 4 hours at 37 °C in a 5 % CO2 atmosphere, the supernatant was collected, and cytokines were tested.
Multiplex cytokine analysis
Multiplex cytokine analysis was performed using magnetic beads with antibodies for the determination of human cytokines/chemokines using the Luminex 200, Merck (Millipore) equipment, and software (Burlington, Massachusetts, USA). Supernatants of mononuclear cells were analyzed according to the manufacturer’s instructions.
Statistics
Statistical processing of the data was performed using GraphPad Prism 8.0.2 software (GraphPad Software, Inc., La Jolla, CA, USA). For determining intergroup differences of independent samples and assessing their statistical significance with a normal distribution, an unpaired Student’s t-test was applied. Significance levels of p < 0.05 were considered statistically significant.
Results and discussion
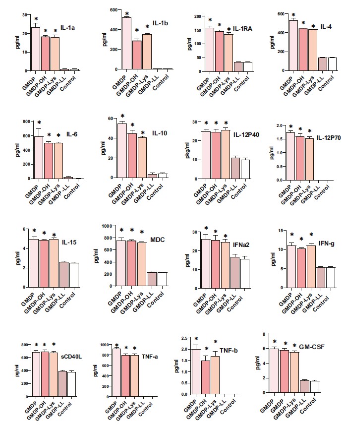
For the first time, the ability of muramyl peptides GMDP, GMDP-ON, GMDP-Lys and GMDP-LL to influence the production of cytokines IL-1a, IL-1b, IL-1RA, IL-2, IL-3, IL-4, IL-5, IL-6, IL-9, IL-10, IL-12P40, IL-12P70, IL-15, MDC, sCD40L, IFNα2, IFN-γ, TNF-a, TNF-β, GM-CSF was studied on mononuclear cells of healthy donors. It was found that GMDP-LL does not affect the production of cytokines, which is consistent with previously obtained data on the induction of nitric oxide expression. At the same time, muramyl peptides with the L-configuration of alanine and the D-configuration of isoglutamine (L-D muramyl peptides) increased IL-1a, IL-1b, IL-1RA, IL-4, IL-6, IL-10, IL-12P40, IL-12P70, IL-15, MDC, sCD40L, IFNα2, IFN-γ, TNF-a, TNF-β, GM-CSF and did not change the values of IL-2, IL-3, IL-5, IL-9 (data not shown).
Studies have found that L-D muramyl peptides (GMDP, GMDP-OH and GMDP-Lys) stimulate the production of proinflammatory cytokines IL-1β, IL-6 and TNF-α, which are involved in acute and systemic inflammation [41, 42]. Moreover, the maximum effect was observed with the induction of IL-1β (up to 520 pg/ml), IL-6 (up to 595 pg/ml) and TNF-α (up to 930 pg/ml). GMDP turned out to be the most active of the muramyl peptides studied (Figure 2).
Fig. 2. Effect of muramyl peptides on the production of chemokines, growth factors, proinflammatory and anti-inflammatory cytokines
Note: * — p < 0.05 — compared to control values.
Interestingly, L-D muramyl peptides stimulate the production of not only pro-inflammatory cytokines IL-1a and IL-1b, but also their antagonist, the interleukin-1 receptor antagonist (IL-1RA). This fact demonstrates the ability of L-D muramyl peptides to control both pro- and anti-inflammatory processes.
A 3-fold increase in IL-4 under the influence of GMDP-OH and GMDP-Lys, and a 4-fold increase under the influence of GMDP may be important when combined with antigens that have allergenic properties, which should also be taken into account when prescribing drugs based on muramyl peptides during an exacerbation of allergy [43].
The cytokine IL-10, which regulates the balance of the immune response, may reduce the expression of Th1 cytokines, MHC class II antigens and costimulatory molecules on macrophages, it can also suppress the activity of macrophages and dendritic cells [44, 45]. IL-10 increased under the influence of GMDP to 56 μg/ml, which indicates the possibility of its use in case of loss of the ability of Th17 to produce IL-10 and prevention of acquisition of the pathogenic phenotype of Th17.
Under the influence of GMDP, GMDP-OH and GMDP-Lys the content of IL-12P40 and IL-12P70, which are subunits of the cytokine IL-12[46], significantly increased. In macrophages, IL-12P40 increases the production of both pro- and anti-inflammatory molecules [47]. IL-12 promotes differentiation of T cells into long-lived Th1-polarized memory cells [48]. The obtained data explain the previously registered ability of muramyl peptides to promote an increase in Th1 cells, observed when using a GMDP-based drug in patients with atopic bronchial asthma [49]. L-D muramyl peptides more than doubled IL-15, which is responsible for the growth and differentiation of T, B, lymphocytes, natural killers and dendritic cells, and also enhances the cytolytic activity of CD8+ T cells [50–52].
Notably, MDC (a chemokine derived from macrophages) increased more than threefold under the influence of L-D muramyl peptides. MDC is involved in the formation and functioning of the thymus, attracting monocytes, dendritic cells and natural killer cells, and also performs the functions of regulating immune responses of the skin [53–55]. L-D muramyl peptides (GMDP, GMDP-OH and GMDP-Lys) increased the production of type I (IFNα2) and type II (IFNγ) interferons by 50 % and 100 %, respectively. IFNα2 has antiviral, antiproliferative and immunomodulatory activity, and is often used in the treatment of certain viral infections and cancer; it stimulates natural killer cells and enhances the expression of MHC proteins [56–61]. IFNγ is a key cytokine of innate and adaptive immunity against viral and intracellular bacterial infections; it has antiviral, antitumor and immunoregulatory functions [62]. sCD40L is a soluble form of CD40 ligand, predominantly expressed on activated T cells, is required for B cell maturation and development of humoral immunity, and is also involved in regulating dendritic cell function [63, 64]. The observed effect of muramyl peptides complements previously obtained data on the effect of GMDP on dendritic cells [26, 65]. A 70 % increase in sCD40L levels under the action of L-D muramyl peptides also demonstrates the potential of muramyl peptides to influence adaptive immunity. Granulocyte-macrophage colony-stimulating factor (GM-CSF), which stimulates the production of granulocytes and macrophages from bone marrow progenitor cells and enhances the functional activity of mature leukocytes [66], increased more than twofold to 6 pg/ml under the action of L-D muramyl peptides. The discovered activity of muramyl peptides to stimulate GM-CSF production may explain the effectiveness of a GMDP-based drug in the treatment and development of new therapies for patients with hepatitis [67, 68].
It is noteworthy that L-D muramyl peptides (GMDP, GMDP-OH and GMDP-Lys) increased the production of both proinflammatory and anti-inflammatory cytokines, indicating the possibility of regulating multidirectional processes depending on the context and microenvironment, which is consistent with the previously discovered ability of GMDP to influence the production of proinflammatory cytokines and modulate the transcription of genes responsible for the manifestation of regulatory functions of immunocompetent cells [65].
It should be taken into account that the cell walls of commensal bacteria include not only muramyl peptides, but also lipopolysaccharides, lipid II, which are also bioregulators of intracellular processes. Commensal microorganisms are not the only source of muramyl peptides. During respiration, bacteria enter the upper respiratory tract along with dust and plant pollen [69–71]. In this case, not only muramyl peptides but also lipopolysaccharides of various structures, which are part of the structure of gram-negative bacteria, lipid II, bacteriocins, as well as pollen antigens and pollutants, have an effect.
On the other hand, endogenous regulators of the macroorganism, such as antimicrobial peptides, hormones, lysozyme, etc., can change the activity of muramyl peptides by enhancing or weakening their effect [72, 73].
Thus, when analyzing the effects of muramyl peptides, it is necessary to take into account their potentiating effect of numerous external factors, as well as factors of the internal environment of the body, for example, the activity of enzymes involved in the phosphorylation of muramyl peptides, without which NOD2 activation is impossible [74]. For a comprehensive analysis and visualization of activation pathways, numerous databases are created using systems biology approaches that reveal the activation of numerous signaling pathways in health and disease [75–78].
Conclusion
The D-configuration of isoglutamine is fundamental for the implementation of the regulatory activity of muramyl peptides: in human mononuclear cells, glucosaminyl muramyl dipeptide with the L-configuration of isoglutamine does not affect the production of cytokines IL-1a, IL-1b, IL-1RA, IL-2, IL-3, IL-4, IL-5, IL-6, IL-9, IL-10, IL-12P40, IL-12P70, IL-15, MDC, sCD40L, IFNα2, IFN-γ, TNF-a, TNF-β, GM-CSF.
Systemic relationships between microorganisms and the macroorganism at the level of mucous membranes, organs and tissues, formed in the process of evolution, are of great importance for maintaining immune homeostasis and underlie the development of methods for the prevention and therapy of socially significant immune-dependent diseases. At the same time, a comprehensive study of the microbiome, genome, transcriptome, and metabolome in normal and pathological conditions remains relevant, among which the determination of the mechanisms of the influence of bacterial bioregulators, which are fragments of the cell walls of Gram (+) and Gram (–) bacteria, on immune homeostasis is especially important. Further study of compounds of bacterial origin is of interest due to their ability to pass through the epidermis and mucous membranes and thus exert a local and systemic effect on the macroorganism, helping in the fight against pathogens.
A wide range of bacterial bioregulators, the source of which are microorganisms, regulate the host homeostasis and trigger immune reactions, which, depending on the context, can have opposite effects. L-D muramyl peptides activate mononuclear cells, which begin to produce proinflammatory cytokines and chemokines, as well as growth factors necessary for the destruction of pathogens. In addition, anti-inflammatory cytokines are also triggered, which have a regulatory role in the appearance of memory cells and the weakening of inflammatory reactions. Thus, normally, muramyl peptides participate in maintaining tolerance to microflora and maintaining immune homeostasis.
About the authors
Svetlana V. Guryanova
M.M. Shemyakin and Yu.A. Ovchinnikov Institute of Bioorganic Chemistry; RUDN University
Author for correspondence.
Email: svgur@mail.ru
ORCID iD: 0000-0001-6186-2462
SPIN-code: 6722-8695
Moscow, Russian Federation
References
- Johannsen L. Biological properties of bacterial peptidoglycan. APMIS. 1993;101(5):337-44. doi: 10.1111/j.1699-0463.1993.tb00119.x
- Rohde M. The Gram-Positive Bacterial Cell Wall. Microbiol Spectr. 2019;7:10.1128/microbiolspec.gpp3-0044-2018. https://doi.org/10.1128/microbiolspec.gpp3-0044-2018
- Adam A, Petit JF, Lefrancier P, Lederer E. Muramyl peptides. Chemical structure, biological activity and mechanism of action. Mol Cell Biochem. 1981;41:27-47. doi: 10.1007/BF00225295
- Williams K. Endotoxin definition and standardization. Formulation European Pharmaceutical Review.2019;2:1-9.
- Raetz CR, Whitfield C. Lipopolysaccharide endotoxins. Annu. Rev. Biochem. 2002;71:635-700.
- Matsuura M. Structural modifications of bacterial lipopolysaccharide that facilitate Gram-negative bacteria evasion of host innate immunity. Front. Immunol. 2013;4:109. doi: 10.3389/fimmu.2013.00109
- L’vov VL, Gur’yanova SV, Rodionov A.V., Gorshkova R.P. Structure of the repeating unit of the O-specific polysaccharide of the lipopolysaccharide of Yersinia Kristensenii strain 490 (O:12,25). Carbohydrate Research. 1992;228(2):415-422.
- Gorshkova RP, Isakov VV, Nazarenko EL, Ovodov YS, Guryanova SV, Dmitriev BA. Structure of the O-specific polysaccharide of the lipopolysaccharide from Yersinia kristensenii O:25.35. Carbohydrate Research. 1993;241:201-208. doi: 10.1016/0008-6215(93)80106-o
- L’vov VL, Gur’ianova SV, Rodionov AV, Dmitriev BA, Shashkov AS, Ignatenko AV, Gorshkova RP, Ovodov IS. The structure of a repetitive unit of the glycerolphosphate- containing O-specific polysaccharide chain from Yersinia kristensenii strain 103 (0:12,26) lipopolysaccharide. Bioorganicheskaia khimiia. 1990;16(3):379-389.
- Lithgow T, Stubenrauch CJ, Stumpf, MPH. Surveying membrane landscapes: a new look at the bacterial cell surface. Nat Rev Microbiol. 2023;21:502-518. https://doi.org/10.1038/s41579-023-00862-w
- Smith TJ, Blackman SA, Foster SJ. Autolysins of Bacillus subtilis: multiple enzymes with multiple functions. Microbiology. 2000;146:249-262. https://doi.org/10.1099/00221287-146-2-249
- Johnson JW, Fisher JF, Mobashery S. Bacterial cell-wall recycling. Ann N Y Acad Sci. 2013;1277:54-75 https://doi.org/10.1111/j.1749-6632.2012.06813.x
- Park JT, Uehara T. How bacteria consume their own exoskeletons (turnover and recycling of cell wall peptidoglycan). Microbiol Mol Biol Rev. 2008;72:211-227 https://doi.org/10.1128/MMBR.00027-07
- Mitchell JA, Paul-Clark MJ, Clarke GW, McMaster SK, Cartwright N. Critical role of toll-like receptors and nucleotide oligomerisation domain in the regulation of health and disease. J Endocrinol. 2007;193(3):323-30. doi: 10.1677/JOE-07-0067
- Jaén RI, Val-Blasco A, Prieto P, Gil-Fernández M, Smani T, López-Sendón JL, Delgado C, Boscá L, Fernández-Velasco M. Innate Immune Receptors, Key Actors in Cardiovascular Diseases. JACC Basic Transl Sci. 2020;5(7):735-749. doi: 10.1016/j.jacbts.2020.03.015
- Cui J, Chen Y, Wang HY, Wang RF. Mechanisms and pathways of innate immune activation and regulation in health and cancer. Hum Vaccin Immunother. 2014;10(11):3270-85. doi: 10.4161/21645515.2014.979640
- Inohara N, Nuñez G. NODs: intracellular proteins involved in inflammation and apoptosis. Nat Rev Immunol. 2003;3(5):371-82. doi: 10.1038/nri1086
- Kobayashi KS, Chamaillard M, Ogura Y, Henegariu O, Inohara N, Nuñez G, Flavell RA. Nod2-dependent regulation of innate and adaptive immunity in the intestinal tract. Science. 2005;307(5710):731-4. doi: 10.1126/science
- Hugot JP, Chamaillard M, Zouali H, Lesage S, Cézard JP, Belaiche J, Almer S, Tysk C, O’Morain CA, Gassull M, Binder V, Finkel Y, Cortot A, Modigliani R, Laurent-Puig P, Gower-Rousseau C, Macry J, Colombel JF, Sahbatou M, Thomas G. Association of NOD2 leucine-rich repeat variants with susceptibility to Crohn’s disease. Nature. 2001;31;411(6837):599-603. doi: 10.1038/35079107
- Hampe J, Cuthbert A, Croucher PJ, Mirza MM, Mascheretti S, Fisher S, Frenzel H, King K, Hasselmeyer A, MacPherson AJ, Bridger S, van Deventer S, Forbes A, Nikolaus S, Lennard-Jones JE, Foelsch UR, Krawczak M, Lewis C, Schreiber S, Mathew CG. Association between insertion mutation in NOD2 gene and Crohn’s disease in German and British populations. Lancet. 2001;357(9272):1925-8. doi: 10.1016/S0140-6736(00)05063-7
- Bruns T, Peter J, Hagel S, Pfeifer R, Prinz P, Stallmach A. Homozygous carrier of the NOD2 1007fs frame-shift mutation presenting with refractory community-acquired spontaneous bacterial peritonitis and developing fatal pulmonary mucormycosis: A case report. Hepatol Res. 2011;41(10):1009-14. doi: 10.1111/j.1872-034X.2011.00850.x
- Wiest R, Lawson M, Geuking M. Pathological bacterial translocation in liver cirrhosis. J Hepatol. 2014;60(1):197-209. doi: 10.1016/j.jhep.2013.07.044
- Appenrodt B, Grünhage F, Gentemann MG, Thyssen L, Sauerbruch T, Lammert F. Nucleotide-binding oligomerization domain containing 2 (NOD2) variants are genetic risk factors for death and spontaneous bacterial peritonitis in liver cirrhosis. Hepatology. 2010;51(4):1327-33. doi: 10.1002/hep.23440
- Gurunathan S, Thangaraj P, Kim JH. Postbiotics: Functional Food Materials and Therapeutic Agents for Cancer, Diabetes, and Inflammatory Diseases. Foods. 2023;13(1):89. doi: 10.3390/foods13010089
- Sizyakina LP, Andreeva II, Petruchik SV. Optimization of Therapy of Patient with Genetic Defect Antibody Production. RUDN Journal of Medicine. 2019;23(4):405-411. [Сизякина Л.П., Андреева И.И., Петручик С.В. Оптимизация терапии пациента с генетическим дефектом антителопродукции // Вестник Российского университета дружбы народов. Серия: Медицина. 2019. Т. 23. No 4. С. 405-411]. doi: 10.22363/2313-0245-2019-23-4-405-411
- Guryanova SV, Kudryashova NA, Kataeva AA, Orozbekova BT, Kolesnikova NV, Chuchalin AG. Novel approaches to increase resistance to acute respiratory infections. RUDN Journal of Medicine.2021;25(3):181-195. doi: 10.22363/2313-0245-2021-25-3-181-195
- Sizyakina LP, Zakurskaya VYa, Guryanova SV. Glucosaminylmuramyl dipeptide efficacy in post-COVID-19 patient rehabilitation treatment. Infectious Diseases: News, Opinions, Training. 2023;12 (1):17-25. (in Russian) [Сизякина Л.П., Закурская В.Я., Гурьянова С.В. Эффективность глюкозаминилмурамилдипептида в реабилитации пациентов, перенесших COVID-19 // Инфекционные болезни: новости, мнения, обучение. 2023. Т. 12, № 1. С. 17-25]. doi: https://doi.org/10.33029/2305-3496-2023-12-1-17-25
- Ellouz F, Adam A, Ciorbaru R, Lederer E. Minimal structural requirements for adjuvant activity of bacterial peptidoglycan derivatives. Biochem Biophys Res Commun. 1974;59(4):1317-25. doi: 10.1016/0006-291x(74)90458-6
- Chedid L, Parant M, Parant F, Lefrancher P, Choay J, Lederer E. Enhancement of nonspecific immunity to Klebsiella pneumoniae infection by a synthetic immunoadjuvant (N-acetylmuramyl-L-alanyl-D-isoglutamine) and several analogs. Proc Natl Acad Sci USA. 1977;74(5):2089-93. doi: 10.1073/pnas.74.5.2089
- Khan FA, Khanam R, Qasim MW, Wang Y, Jiang ZH. Improved Synthesis of D-Isoglutamine: Rapid Access to Desmuramyl Analogues of Muramyl Dipeptide for the Activation of Intracellular NOD2 Receptor and Vaccine Adjuvant Applications. Eur JOC. 2021;48:6688-6699. https://doi.org/10.1002/ejoc.202101170
- Johnson AG. Molecular adjuvants and immunomodulators: new approaches to immunization. Clin Microbiol Rev. 1994;7(3):277-89. doi: 10.1128/CMR.7.3.277
- Kamboj A, Patil MT, Petrovsky N, Salunke DB. Structure-activity relationship in NOD2 agonistic muramyl dipeptides. Eur J Med Chem. 2024;271:116439. doi: 10.1016/j.ejmech.2024.116439
- Britanova OV, Staroverov DB, Chkalina AV, Kotlobay AA, Zvezdova ES, Bochkova AG, Chudakov DM. Single high-dose treatment with glucosaminyl-muramyl dipeptide is ineffective in treating ankylosing spondylitis. Rheumatol Int. 2011;31(8):1101-3. doi: 10.1007/s00296-010-1663-3
- Williamson D, Chawla M, R Marks. GMDP for psoriasis. The Lancet.1998;352(9127):545. doi: https://doi.org/10.1016/S0140-6736(05)79253-9
- Guryanova SV, Kataeva A. Inflammation Regulation by Bacterial Molecular Patterns. Biomedicines. 2023;11(1):183. https://doi.org/10.3390/biomedicines11010183
- Cheng WC, You TY, Teo ZZ, Sayyad AA, Maharana J, Guo CW, Liang PH, Lin CS, Meng FC. Further Insights on Structural Modifications of Muramyl Dipeptides to Study the Human NOD2 Stimulating Activity. Chem Asian J. 2020;15(22):3836-3844. doi: 10.1002/asia.202001003
- Mhamane TB, Sambyal S, Vemireddy S, Paturu RSR, Katragadda SB, Syed S, Khan A, Halmuthur M SK. Design, synthesis and biological evaluation of novel lipophilic 2, 5-disubstituted tetrazole analogues of muramyl dipeptide as NOD2 agonists. Bioorg Med Chem. 2023;88-89:117296. doi: 10.1016/j.bmc.2023.117296
- Reddy PRS, Sambyal S, Mhamane TB, Sravanthi V, Shafi S, Khan IA, Sampath Kumar HM. Synthesis and biological evaluation of novel 2-azido muramyl dipeptide as NOD2 agonistic adjuvants. Bioorg Med Chem. 2022;66:116781. doi: 10.1016/j.bmc.2022.116781
- Chen K, Huang D, Chiu C, Lin WW. Synthesis of Diverse N-Substituted Muramyl Dipeptide Derivatives and Their Use in a Study of Human NOD2 Stimulation Activity. Chemistry. A European journal. 2015;21(34):11984-11988. https://doi.org/10.1002/chem.201501557
- Rostovtseva LI, Andronova TM, Malkova VP. Synthesis and antitumor action of glycopeptides containing N-acetylglucosaminyl-(β1-4)-N-acetylmuramyl-disaccharide unit. Bioorganic Chemistry. 1981;7(12):1843-1858. (in Russian) [Ростовцева Л.И., Андронова Т.М., Малькова В.П. Синтез и противоопухолевое действие гликопептидов, содержащих N-ацетилглюкозаминил-(β1-4)-N-ацетилмурамил-дисахаридное звено. // Биоорганическая химия. 1981. Т. 7. № 12. С. 1843-1858].
- Aasen AO, Wang JE. Mediator responses in surgical infections. Surg Infect. 2006;7(Suppl 2): S3-4. doi: 10.1089/sur.2006.7.s2
- Jin H, Li M, Jeong E. A body-brain circuit that regulates body inflammatory responses. Nature. 2024;630:695-703. https://doi.org/10.1038/s41586-024-07469-y
- Guryanova SV, Gigani OB, Gudima GO, Kataeva AM Kolesnikova NV. Dual Effect of Low- Molecular- Weight Bioregulators of Bacterial Origin in Experimental Model of Asthma. Life. 2022;12:192. https://doi.org/10.3390/life12020192
- York AG, Skadow MH, Oh J, Qu R, Zhou QD, Hsieh WY, Mowel WK, Brewer JR, Kaffe E, Williams KJ, Kluger Y, Smale ST, Crawford JM, Bensinger SJ, Flavell RA. IL-10 constrains sphingolipid metabolism to limit inflammation. Nature. 2024;627(8004):628-635. doi: 10.1038/s41586-024-07098-5
- Carlini V, Noonan DM, Abdalalem E, Goletti D, Sansone C, Calabrone L, Albini A. The multifaceted nature of IL-10: regulation, role in immunological homeostasis and its relevance to cancer, COVID-19 and post-COVID conditions. Front Immunol. 2023;14:1161067. doi: 10.3389/fimmu.2023.1161067
- Ethuin F, Delarche C, Gougerot-Pocidalo MA. Regulation of Interleukin 12 p40 and p70 Production by Blood and Alveolar Phagocytes During Severe Sepsis. Lab Invest. 2003;83:1353-1360. https://doi.org/10.1097/01.LAB.0000087589.37269.FC
- Jeong B, Pahan K. IL-12p40 Monomer: A Potential Player in Macrophage Regulation. Immuno. 2024;4(1):77-90. https://doi.org/10.3390/immuno4010005
- Landoni E, Woodcock MG, Barragan G, Casirati G, Cinella V, Stucchi S, Flick LM, Withers TA, Hudson H, Casorati G, Dellabona P, Genovese P, Savoldo B, Metelitsa LS, Dotti G. IL-12 reprograms CAR-expressing natural killer T cells to long-lived Th1-polarized cells with potent antitumor activity. Nat Commun. 2024;15(1):89. doi: 10.1038/s41467-023-44310-y
- Guryanova SV, Kozlov IG, Meshcheryakova EA, Alekseeva LG, Andronova TM. Investigation into the influence of glucosaminylmuramyl dipeptide on the normalization of Th1/Th2 balance in patients with atopic bronchial asthma. Immunol. 2009;30:305-309. (In Russian) [Гурьянова С.В., Козлов И.Г., Мещерякова Е.А., Алексеева Л.Г., Андронова Т.М. Глюкозаминилмурамилдипептид нормализует баланс Тh1/Th2 при атопической бронхиальной астме. Иммунология. 2009. № 5. С. 305-308].
- Carson WE, Giri JG, Lindemann MJ, Linett ML, Ahdieh M, Paxton R, Anderson D, Eisenmann J, Grabstein K, Caligiuri MA. Interleukin (IL) 15 is a novel cytokine that activates human natural killer cells via components of the IL-2 receptor. J Exp Med. 1994;180(4):1395-403. doi: 10.1084/jem.180.4.1395
- Skariah N, James OJ, Swamy M. Signalling mechanisms driving homeostatic and inflammatory effects of interleukin-15 on tissue lymphocytes. Discov Immunol. 2024;3(1): kyae002. doi: 10.1093/discim/kyae002.
- Hartana CA, Lancien M, Gao C, Rassadkina Y, Lichterfeld M, Yu XG. IL-15-dependent immune crosstalk between natural killer cells and dendritic cells in HIV-1 elite controllers. Cell Rep. 2023;42(12):113530. doi: 10.1016/j.celrep.2023.113530
- Mantovani A, Gray PA, Van Damme J, Sozzani S. Macrophage-derived chemokine (MDC). J Leukoc Biol. 2000;68(3):400-4.
- Godiska R, Chantry D, Raport CJ, Sozzani S, Allavena P, Leviten D, Mantovani A, Gray PW. Human macrophage-derived chemokine (MDC), a novel chemoattractant for monocytes, monocyte-derived dendritic cells, and natural killer cells. J Exp Med. 1997;185(9):1595-604. doi: 10.1084/jem.185.9.1595
- Chantry D, Romagnani P, Raport CJ, Wood CL, Epp A, Romagnani S, Gray PW. Macrophage-derived chemokine is localized to thymic medullary epithelial cells and is a chemoattractant for CD3(+), CD4(+), CD8(low) thymocytes. Blood. 1999;94(6):1890-1898.
- Paul F, Pellegrini S, Uzé G. IFNA2: The prototypic human alpha interferon. Gene. 2015;567(2):132-7. doi: 10.1016/j.gene.2015.04.087
- Tomasello E, Pollet E, Vu Manh TP, Uzé G, Dalod M. Harnessing Mechanistic Knowledge on Beneficial Versus Deleterious IFN-I Effects to Design Innovative Immunotherapies Targeting Cytokine Activity to Specific Cell Types. Front Immunol. 2014;5:526. doi: 10.3389/fimmu.2014.00526
- Rizza P, Moretti F, Capone I, Belardelli F. Role of type I interferon in inducing a protective immune response: perspectives for clinical applications. Cytokine Growth Factor Rev. 2015;26(2):195-201. doi: 10.1016/j.cytogfr.2014.10.002
- Antonelli G, Scagnolari C, Moschella F, Proietti E. Twenty-five years of type I interferon-based treatment: a critical analysis of its therapeutic use. Cytokine Growth Factor Rev. 2015;26(2):121-31. doi: 10.1016/j.cytogfr.2014.12.006
- van Boxel-Dezaire AH, Rani MR, Stark GR. Complex modulation of cell type-specific signaling in response to type I interferons. Immunity. 2006;25(3):361-72. doi: 10.1016/j.immuni.2006.08.014
- Burnette BC, Liang H, Lee Y, Chlewicki L, Khodarev NN, Weichselbaum RR, Fu YX, Auh SL. The efficacy of radiotherapy relies upon induction of type I interferon-dependent innate and adaptive immunity. Cancer Res. 2011;71(7):2488-96. doi: 10.1158/0008-5472.CAN-10-2820
- Ivashkiv LB. IFNγ: signalling, epigenetics and roles in immunity, metabolism, disease and cancer immunotherapy. Nat Rev Immunol. 2018;18(9):545-558. doi: 10.1038/s41577-018-0029-z
- Prasad KS, Andre P, He M, Bao M, Manganello J, Phillips DR. Soluble CD40 ligand induces beta3 integrin tyrosine phosphorylation and triggers platelet activation by outside-in signaling. Proc Natl Acad Sci USA. 2003;100(21):12367-71. doi: 10.1073/pnas.2032886100
- Xu, Y., Song, G. The role of CD40-CD154 interaction in cell immunoregulation. J Biomed Sci. 2004;11:426-438. https://doi.org/10.1007/BF02256091
- Guryanova SV, Sigmatulin IA, Gigani OO, Lipkina SA. Mechanisms of regulation allergic and autoimmune reactions by bacterial origin bioregulators. RUDN Journal of Medicine. 2023;27(4):470-482. doi: 10.22363/2313-0245-2023-27-4-470-48
- Wicks I, Roberts A. Targeting GM-CSF in inflammatory diseases. Nat Rev Rheumatol. 2016;12:37-48. https://doi.org/10.1038/nrrheum.2015.161
- Manapova ER, Fazylov VKh, Guryanova SV. Cytopenia and their correction in antiviral therapy of chronic hepatitis C in patients with genotype 1. Problems of Virology. 2017;62(4):174-8. (In Russian). [Манапова Э.Р., Фазылов В.Х., Гурьянова С.В. Цитопении и их коррекция при противовирусной терапии хронического гепатита С у пациентов с генотипом 1. Вопросы вирусологии. 2017; 62 (4): 174-8] doi: 10.18821/0507-4088-2017-62-4-174-178
- Rechkina EA, Denisova GF, Masalova OV, Lideman LF, Denisov DA, Lesnova EI, Ataullakhanov RI, Gur’ianova SV, Kushch AA. Epitope mapping of antigenic determinants of hepatitis C virus proteins by phage display. Mol Biol (Mosk). 2006;40(2):357-68.
- Idrose NS, Lodge CJ, Erbas B, Douglass JA, Bui DS, Dharmage SC. A Review of the Respiratory Health Burden Attributable to Short-Term Exposure to Pollen. Int J Environ Res Public Health. 2022;19(12):7541. doi: 10.3390/ijerph19127541
- Fussell JC, Kelly FJ. Mechanisms underlying the health effects of desert sand dust. Environ Int. 2021;157:106790. doi: 10.1016/j.envint.2021.106790
- Guryanova SV, Finkina EI, Melnikova DN, Bogdanov IV, Bohle B and Ovchinnikova TV. How Do Pollen Allergens Sensitize? Front. Mol. Biosci. 2022;9:900533. doi: 10.3389/fmolb.2022.900533
- Ragland SA, Criss AK. From bacterial killing to immune modulation: Recent insights into the functions of lysozyme. PLoS Pathog. 2017;13(9): e1006512. doi: 10.1371/journal.ppat.1006512
- Guryanova SV, Ferberg AS, Sigmatulin I.A. Inflammatory response modulation by epinephrine and norepinephrine. RUDN Journal of Medicine. 2023;27(3):329-341. doi: 10.22363/2313-0245-2023-27-2-329-341
- Stafford CA, Gassauer AM, de Oliveira Mann CC, Tanzer MC, Fessler E, Wefers B, Nagl D, Kuut G, Sulek K, Vasilopoulou C, Schwojer SJ, Wiest A, Pfautsch MK, Wurst W, Yabal M, Fröhlich T, Mann M, Gisch N, Jae LT, Hornung V. Phosphorylation of muramyl peptides by NAGK is required for NOD2 activation. Nature. 2022;609(7927):590-596. doi: 10.1038/s41586-022-05125-x
- Guryanova S, Guryanova A. sbv IMPROVER: Modern approach to systems biology. Methods Mol. Biol. 2017;1613:21-29. doi: 10.1007/978-1-4939-7027-8_270 10цит
- Hoeng J, Boue S, Fields B, Park J, Peitsch MC, Schlage WK, Talikka M, Performers, TCB, Binenbaum I, Bondarenko V, Bulgakov OV, Cherkasova V, Diaz- Diaz N, Fedorova L, Guryanova S, Guzova J, Igorevna Koroleva G, Kozhemyakina E, Kumar R, Lavid N, Lu Q, Menon S, Ouliel Y, Peterson SC, Prokhorov A, Sanders E, Schrier S, Schwaitzer Neta G, Shvydchenko I, Tallam A, Villa-Fombuena G, Wu J, Yudkevich I, Zelikman M. Enhancement of COPD biological networks using a web-based collaboration interface. F1000Research. 2015;4. https://doi.org/10.12688/f1000research.5984.2
- Namasivayam AA, Morales AF, Lacave ÁM, Tallam A, Simovic B, Alfaro DG, Bobbili DR, Martin F, Androsova G, Shvydchenko I, Park J, Calvo JV, Hoeng J, Peitsch MC, Racero MG, Biryukov M, Talikka M, Pérez MB, Rohatgi N, Díaz-Díaz N, Mandarapu R, Ruiz RA, Davidyan S, Narayanasamy S, Boué S, Guryanova S, Arbas SM, Menon S, Xiang Y. Community-Reviewed Biological Network Models for Toxicology and Drug Discovery Applications. Gene Regul Syst Bio. 2016;10:51-66. doi: 10.4137/GRSB.S39076.
- Yi M, Li T, Niu M, Zhang H, Wu Y, Wu K, Dai Z. Targeting cytokine and chemokine signaling pathways for cancer therapy. Signal Transduct Target Ther. 2024;9(1):176. doi: 10.1038/s41392-024-01868-3
Supplementary files












