Experimental determination of the limiting flexibility of eucalyptus wood for axially compressed elements
- Authors: Cajamarca-Zuniga D.1,2, Carrasco C.1, Molina B.1
-
Affiliations:
- Catholic University of Cuenca
- Peoples’ Friendship University of Russia (RUDN University)
- Issue: Vol 16, No 3 (2020)
- Pages: 226-232
- Section: Experimental researches
- URL: https://journals.rudn.ru/structural-mechanics/article/view/23962
- DOI: https://doi.org/10.22363/1815-5235-2020-16-3-226-232
- ID: 23962
Cite item
Full Text
Abstract
Relevance. Wood is one of the most widely used building materials throughout history, and because of its physical-mechanical properties it mainly has been used in flexed and compressed elements. Eucalyptus was introduced to Latin America in the mid-19th century and nowadays is one of the most used woods for construction in the Andean region of Ecuador. To designing slender structural elements under axial loading engineers usually use the Euler formula, but it is applicable only if the compression stress does not exceed the proportional limit. One way to determine if the compression stress will be below the proportional limit is by comparing of the slenderness of the element with the limiting flexibility of its material which allows knowing if the buckling will occur in the elastic zone where Euler formula applies. The aim of the work - determine the magnitude of the limiting flexibility of eucalyptus, since this wood has been the subject of some investigations, however, no information about the limiting flexibility magnitude for the calculation of axially compressed elements. Methods. The laboratory tests to determine the magnitudes of the modulus of elasticity, proportional limit, admissible compression stress and limiting flexibility was carried out. Results. This experimental investigation shows that the magnitude of the limiting flexibility or so-called critical slenderness ratio for eucalyptus globulus is 59.
Full Text
Introduction[1]
Eucalyptus is a fast growing diffuse-porous hardwood genus of trees from the Myrtle family [1], there are about 500 species in the world, most of which are originally from Australia. The genus eucalyptus first was described by the French botanist C.L. L'Héritier in 1788 [2]. After the introduction of the eucalyptus to Ecuador, a large variety of forests of this tree appeared in highlands where the spice eucalyptus globulus do-
minates among others [3]. The Eucalyptus is a widely used wood in the construction sector in the Andean region of Ecuador [4], it can reach an height of 20 m and a diameter of 0.25 m at the age of 5 to 10 years, while at an older age it can reach a height of 60 m.
This investigation aims to determine the magnitude of the flexibility of Eucalyptus since this wood has not been the subject of investigations like other woods [5] and the existing investigations about it [5–11] don’t give information about the limiting flexibility (critical slenderness ratio) for the calculation of axially compressed elements.
In this article are presented the results of laboratory tests on the definition of the magnitude of admissible compressive stress parallel to grain, modulus of elasticity and proportional stress with the purpose of the definition of the value of limiting flexibility (λlim) of this material.
For the calculation of axially compressed elements, the magnitude of the critical force usually is determined with the Euler formula, however, it is applicable only when the axial compression stresses do not exceed the stress of proportionality. Therefore, is necessary to determine if the compression stresses will be below the proportional range, by comparing the magnitude of the slenderness λ (geometric characteristic of the element) with the magnitude of the limiting-flexibility λlim (mechanical characteristic of the material), this comparison allows to determine if the element has great or intermediate slenderness, to proceed to the calculation of the element considering the risk of loss of stability (buckling).
If the element has great slenderness, the buckling would occur in the elastic zone and Euler formula can be applied to determine the magnitude of the critical load, but if the element has “intermediate” slenderness the loss of stability would occur in the plastic zone and the Euler formula is no more applicable, here empirical formulas such as F.S. Yasinskiy (1895) [12] could be used, however, the problem is determining if the element has “great” or “intermediate” slenderness, and the answer to this question is in the magnitude of limiting flexibility.
1. Methodology
First, a bending test was performed to verify the obtained results by comparing them with the information available about the bending mechanical properties of eucalyptus, then the compression test was performed on 21 various-sizes samples to analyse their behaviour according to the variation of slenderness. The experimental analysis was based on norms and standards of the “Pan American Standards Commission” (COPANT 461, COPANT 464, COPANT 555), “American Society for Testing and Materials” ASTM D143-94 (2000) and “International Organization for Standardization” ISO 13061-17:2017 [13–17], which describe the materials, equipment and procedures to obtain: the stresses for ultimate bending and compression parallel to the grain, the average modulus of elasticity, the maximum breaking load and the stress-strain graph, that permit determine the mechanical properties of the wood.
Figure 1. Compression test
Figure 2. Flexure test
The compression test (Figure 1) was carried out according to standards in samples with a cross-section of 5×5 cm and 20 cm of length [14], the flexure test (Figure 2) was carried out in samples with a cross section of 5×5 cm and 75 cm between supports, however an alternative cross-section of 2×2×30 cm could be used for samples from trees of small diameter (30 cm or less) and also when long samples cannot be obtained due to a bent tree, tilting of grains, knots or other defects [15].
2. Bending test
The flexural testing was carried out on 20 samples, in accordance with [13; 15–17], the information about deflextions and loads were recorded, and then the corresponding magnitude of bending moment and normal stress under flexure were calculated in order to obatin the stress-strain curve and the modulus of elasticity.
The results of the flexure test are shown in the Figure 3. According to the results of this experiment, the modulus of elasticity in bending for the eucaliptus globulus is E = 104 180.68 kgf/cm2, the ultimate strength is 800.46 kgf/cm2, and the proportional limit is 517.47 kgf/cm2.
Figure 3. Stress-strain curve for bending, kgf/cm2
Table 1
Flexural mechanical properties
Flexural mechanical properties of eucalyptus globulus | ||
| kgf/cm2 | mPa |
Modulus of elasticity | 104 180.68 | 10 220.12 |
Stress of the proportional limit | 517.47 | 50.76 |
Ultimate strength | 800.46 | 78.53 |
The obtained results are according with the existing information about the flexure mechanical properties of eucalyptus, some of which is shown in [1; 6–9; 18–21].
3. Compression parallel to the grain test
The experiments were performed on 21 specimens based on the standards [14; 16; 17], taking into account that the COPANT-464 standard specifies that the cross-section of the specimen for the compression test parallel to the grain is 5×5×20 cm [14]. The standard dimensions, both in height and in the cross-section, were varied to test different slendernesses. The dimensions of the analysed samples have shown in Table 2.
The compression test was performed until the failure of each sample, and both the longitudinal deformation and the corresponding compression load were registered to calculate the compression stresses according to the cross-sections of each sample and to get the stress-strain curves (Figure 4).
Table 2
Dimensions of specimens for compression test
ID.No. | Length, cm | amax, cm | amin, cm | Mass, kg | Area, cm2 | Imin, cm4 | imin, cm | λ | Specific weight, kgf/m3 | |
1 | 13-c | 4.10 | 4.10 | 3.90 | 0.070 | 15.990 | 20.267 | 1.13 | 3.64 | 1067.74 |
2 | 13-a | 5.15 | 4.10 | 3.90 | 0.080 | 15.990 | 20.267 | 1.13 | 4.57 | 971.48 |
3 | 13-b | 6.60 | 4.10 | 3.90 | 0.100 | 15.990 | 20.267 | 1.13 | 5.86 | 947.56 |
4 | 8 | 9.59 | 3.95 | 3.95 | 0.160 | 15.603 | 20.287 | 1.14 | 8.41 | 1069.32 |
5 | 20 | 10.07 | 2.95 | 2.92 | 0.090 | 8.614 | 6.121 | 0.84 | 11.95 | 1037.55 |
6 | 19 | 10.16 | 2.93 | 2.93 | 0.090 | 8.585 | 6.142 | 0.85 | 12.01 | 1031.84 |
7 | 9 | 10.20 | 3.99 | 3.96 | 0.170 | 15.800 | 20.648 | 1.14 | 8.92 | 1054.83 |
8 | 18 | 10.20 | 2.14 | 2.06 | 0.060 | 4.408 | 1.559 | 0.59 | 17.15 | 1334.35 |
9 | 7 | 12.30 | 3.91 | 3.89 | 0.220 | 15.210 | 19.180 | 1.12 | 10.95 | 1175.96 |
10 | 5 | 14.57 | 4.00 | 3.93 | 0.230 | 15.720 | 20.233 | 1.13 | 12.84 | 1004.19 |
11 | 4 | 15.10 | 3.93 | 3.52 | 0.240 | 13.834 | 14.284 | 1.02 | 14.86 | 1148.94 |
12 | 1 | 15.14 | 3.97 | 3.97 | 0.240 | 15.761 | 20.700 | 1.15 | 13.21 | 1005.78 |
13 | 2 | 15.26 | 4.00 | 3.91 | 0.240 | 15.640 | 19.925 | 1.13 | 13.52 | 1005.59 |
14 | 3 | 15.30 | 3.90 | 3.77 | 0.230 | 14.703 | 17.414 | 1.09 | 14.06 | 1022.42 |
15 | 17 | 19.45 | 3.99 | 3.95 | 0.340 | 15.761 | 20.492 | 1.14 | 17.06 | 1109.15 |
16 | 10 | 19.75 | 3.97 | 3.96 | 0.430 | 15.721 | 20.544 | 1.14 | 17.28 | 1384.89 |
17 | 12 | 19.90 | 3.98 | 3.96 | 0.390 | 15.761 | 20.596 | 1.14 | 17.41 | 1243.46 |
18 | 14 | 19.90 | 4.04 | 3.93 | 0.380 | 15.877 | 20.435 | 1.13 | 17.54 | 1202.70 |
19 | 16 | 19.98 | 3.90 | 3.45 | 0.320 | 13.455 | 13.346 | 1.00 | 20.06 | 1190.34 |
20 | 21 | 20.05 | 2.95 | 2.90 | 0.180 | 8.555 | 5.996 | 0.84 | 23.95 | 1049.39 |
21 | 15 | 20.10 | 4.04 | 3.92 | 0.350 | 15.837 | 20.280 | 1.13 | 17.76 | 1099.52 |
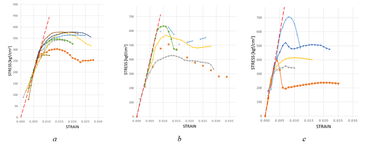
Figure 4. Stress-strain curves for compression parallel to the grain
Compression tests parallel to the grain indicate three characteristic behaviours as a function of the modulus of elasticity. For slenderness less than λ = 20.06, 42.85% of the samples presented a minimum modulus of elasticity MOEmin = 42 210.42 kgf/cm2 (Figure 4, a), 33.33% of the samples an intermediate magnitude of MOEint = 79 811.58 kgf/cm2 (Figure 4, b) and 23.82% a maximum value of MOEmax = 117 781.86 kgf/cm2 (Figure 4, c). The results are summarized in the Table 3 and Figure 5.
Figure 5. Stress-strain curves and MOE of eucalyptus in compression parallel to the grain
Table 3
Grain-parallel compression mechanical properties
Mechanical properties under compression parallel to the grain | ||
Modulus of elasticity, kgf/cm2 | Proportional limit, kgf/cm2 | |
Minimum (Emin) | 42 210.42 | 277.61 |
Intermediate (Eint) | 79 442.47 | 296.30 |
Maximum (Emax) | 117 781.86 | 329.13 |
Mean value (Em) | 79 811.58 | 301.01 |
In this test case, the obtained results are according with the existing information about the compression parallel to the grain mechanical properties of eucalyptus, some of which is shown in [8; 9; 19; 20].
4. Analysis of results
The buckling of a compressed slender-element can lead to a sudden failure of a structure, and as a result, special attention must be given to the design of these elements so they can safely support their intended loadings without buckling. The well-known Euler formula (1) usually is used by engineers to designing slender-structural elements under axial loading, but this formula is applicable only if the compression stress does not exceed the proportional limit.
. (1)
. (2)
. (3)
In the formula (2) the length L, the area moment of inertia Imin and area of cross-section A are geometric characteristics of the element, then the expression (2) can be written like this:
. (4)
In the formula (4) the only geometric characteristics of the element are the radius of gyration imin and the length L, while the effective-length factor is µ. The effective-slenderness ratio of the element as a function of geometric characteristics is shown in the formula (5), in consequence the slenderness can be considered as a geometric characteristic of the element.
(5)
Then, the expression (2) could be been wrote like (6).
. (6)
Here we can see that the critical stress is a function of both a physical-mechanical property of the material E and a geometric characteristic of the element λ, where E represents the constant of proportionality and is applicable under stresses that not exceed the proportional limit, for this reason, Euler formula is applicable only for stresses that do not exceed the proportional limit of the material.
From the expression (6) it is possible to obtain the inequality (7), whose right side represents a physical-mechanical characteristic of the material known as “limiting flexibility” (λlim).
. (7)
Therefore, if we compare the slenderness of the element with the limiting flexibility of its material and when λ is higher than λlim, then the buckling will occur in the elastic region and the Euler formula is applicable, otherwise buckling will have a plastic behaviour [22].
We experimentally have determined the physical-mechanical characteristics of eucalyptus, including the value of the “limiting flexibility”. The results are shown in the Table 4.
Table 4
Experimental results for limiting flexibility of eucalyptus
Mechanical properties of eucalyptus wood | |||
| Modulus of | Proportional | Limiting |
E, kgf/cm2 | , kgf/cm2 | λlim | |
Minimum | 42 210.42 | 277.61 | 39 |
Intermediate | 79 442.47 | 296.30 | 52 |
Maximum | 117 781.86 | 329.13 | 59 |
The Euler formula for “intermediate-slenderness” elements will predict very high values of critical force that do not reflect the failure load seen in practice. To account for this, a correction curve is used for these elements. The J.B. Johnson formula has been shown to correlate well with real buckling failures [23], and is given by the equation (8) [24; 25].
. (8)
Based on the results of the laboratory tests, the stress-slenderness graph (Figure 6) has been prepared, where the Euler and Johnson curves are indicated for the mini-mum, intermediate, maximum and mean value of the MOE. Consequently, from the graph the magnitude of the limiting flexibility of eucalyptus has been determined as λlim = 57.5.
Figure 6. Stress-slenderness graph for eucalyptus wood
Conclusion
According to [10; 11] the mechanical properties (MOE and MOR) of eucalyptus wood under compression parallel to the grain showed a strong correlation with the basic density and the linear and volumetric contractions of the tree.
A total of 41 samples were tested. Based on the tests and the calculations different magnitudes of limiting slenderness have been determined, i.e. from formula (7) we have three values 39, 52 and 59 and 57.5 from the Figure 6 for the average value of the MOE. As we know, the Euler formula for “intermediate-slenderness” elements will predict high-values of critical force. For this reason and safety, we consider that the greater value of limiting slenderness should be assumed. This is 59.
In this experimental investigation, the following mechanical properties of eucalyptus globulus were obtained (Table 5).
Table 5
Mechanical properties of eucalyptus globulus wood
Static bending | |||
Modulus of elasticity | E | 104 180.68 | kgf/cm2 |
Proportional limit |
| 517.47 | kgf/cm2 |
Ultimate strength |
| 800.46 | kgf/cm2 |
Compression parallel to the grain | |||
Modulus of elasticity | E | 79 811.58 | kgf/cm2 |
Proportional limit |
| 301.01 | kgf/cm2 |
Admissible stress |
| 431.90 | kgf/cm2 |
Limiting flexibility | λlim | 59 |
|
Although some research has been performed on relevant eucalyptus species, the mechanical behaviour of Eucalyptus wood is far less known compared to other woods [5], e.g. pine or bamboo [22; 26–32].
In this investigation was determined a novel data about the limiting flexibility or so-called “critical slenderness ratio” for eucalyptus globulus, and it could be considered λlim = 59. However, there are required more researches about the physical-mechanical properties of the eucalyptus.
About the authors
David Cajamarca-Zuniga
Catholic University of Cuenca; Peoples’ Friendship University of Russia (RUDN University)
Author for correspondence.
Email: cajamarca.zuniga@gmail.com
Master of Science, PhD postgraduate student, Department of Civil Engineering, Engineering Academy of RUDN University; Docent of the Department of Civil Engineering at CUC
Av. De las Americas & Humboldt, Cuenca, 010101, Republic of Ecuador; 6 Miklukho-Maklaya St, Moscow, 117198, Russian FederationCristhian Carrasco
Catholic University of Cuenca
Email: cajamarca.zuniga@gmail.com
Civil Engineer graduate, Department of Civil Engineering
Av. De las Americas & Humboldt, Cuenca, 010101, Republic of EcuadorBelen Molina
Catholic University of Cuenca
Email: cajamarca.zuniga@gmail.com
Civil Engineer graduate, Department of Civil Engineering
Av. De las Americas & Humboldt, Cuenca, 010101, Republic of EcuadorReferences
- Warren E., Smith R.G.B., Apiolaza L.A., Walker J.C.F. Effect of stocking on juvenile wood stiffness for three Eucalyptus species. New For. 2009;37(3):241-250. DOI: 10.1007/ s11056-008-9120-9.
- Food and Agriculture Organization of the United Nations (FAO). El eucalipto en la repoblación forestal. Rome, Italy; 1981. (In Spanish.)
- Acosta Solis M. El eucalipto en el Ecuador. Instituto Ecuatoriano de Ciencias Forestales, Quito, Ecuadtor; 1949. (In Spanish.)
- Aguirre Z., Loja A., Solano C., Aguirre N. Especies forestales mas aprovechadas en la region sur del Ecuador. Loja, Ecuador: Universidad Nacional de Loja; 2015 (In Spanish.)
- Pagel C.L., Lenner R., Wessels C.B. Investigation into material resistance factors and properties of young, engineered Eucalyptus grandis timber. Constr. Build. Mater. 2020;230:117059. doi: 10.1016/j.conbuildmat.2019.117059.
- Vinueza M. Ficha Técnica No. 15 Eucalyptus Globulus Labill. Ecuador Forestal. Quito, 2013 (In Spanish.)
- Acosta S., Zakowicz M. et al. Propiedades físico mecánicas de la madera de Eucalyptus grandis de las procedencias genéticas : Kendall (Australia), huerto semillero de Sudáfrica y semilla local Concordia, plantadas comercialmente en Argentina. Argentina; 2004 (In Spanish.)
- Crafford P.L., Wessels C.B. The potential of young, green finger-jointed Eucalyptus grandis lumber for roof truss manufacturing. South. For. 2016;78(1):61-71. DOI: 10.2989/ 20702620.2015.1108618.
- Piter J.C., Zerbino R.L., Blaß H.J. Visual strength grading of Argentinean Eucalyptus grandis : Strength, stiffness and density profiles and corresponding limits for the main grading parameters. Holz als Roh - und Werkst. 2004; 62(1):1-8. doi: 10.1007/s00107-003-0433-2.
- Gonc̈alves F.G. et al. Parâmetros dendrométricos e correlações com propriedades tecnológicas em um híbrido clonal de Eucalyptus urophylla x Eucalyptus grandisl. Rev. Arvore. 2010;34(5):947-959. doi: 10.1590/s0100-67622010000500020.
- Da Cruz C.R., Lima J.T., De Muniz G.I.B. Varia- ções dentro das árvores e entre clones das propriedades físicas e mecânicas da madeira de híbridos de Eucalyptus. Sci. For. Sci. 2003;64: 33-47.
- Johnston B.G., Hon M. Column buckling theory: Historic highlights. J. Struct. Eng. (United States). 1983;10(9):2086-2096. doi: 10.1061/(ASCE)0733-9445(1984)110:8(1930).
- The Pan American Standards Commission. COPANT-461. Timber. Method for determining apparent specific weight. 1972.
- The Pan American Standards Commission. COPANT-464. Timber. Method of determining the compression parallet to grain. 1972.
- The Pan American Standards Commission. COPANT-555. Timber. Static bendig test method. 1973.
- American Society for Testing and Materials. ASTM D143-94. Standard Test Methods for Small Clear Specimens of Timber. Pennsylvania; 2000.
- International Organization for Standardization. ISO 13061-17:2017. Physical and mechanical properties of wood - Test methods for small clear wood specimens - Part 17: Determination of ultimate stress in compression parallel to grain. Geneva; 2017.
- Vinueza M. Ficha Técnica No. 10. Eucalipto. Ecuador Forestal. Quito; 2012. (In Spanish.)
- Cueto G. et al. Influencia del raleo sobre el módulo de elasticidad y ruptura en Eucalyptus grandis. Agrociencia Uruguay. 2013;17(1):91-97. doi: 10.2477/vol17iss1pp91-97. (In Spanish.)
- Kimmich D. Propiedades físicas, mecánicas, usos y aplicaciones de la madera de Ecualyptus grandis. Available from: https://www.monografias.com/trabajos66/usos-eucaliptus-grandis/usos-eucaliptus-grandis.shtml (Accessed 18th April 2020). (In Spanish.)
- Nocetti M., Pröller M. et al. Investigating the potential of strength grading green Eucalyptus grandis lumber using multi-sensor technology. BioResources. 2017;12(4): 9273-9286. doi: 10.15376/biores.12.4.9273-9286.
- Huang D., Bian Y., Huang D., Zhou A., Sheng B. An ultimate-state-based-model for inelastic analysis of intermediate slenderness PSB columns under eccentrically compressive load. Constr. Build. Mater. 2015;94:306-314. doi: 10.1016/j.conbuildmat.2015.06.059.
- MechaniCalc. Column Buckling. Available from: https://mechanicalc.com/reference/column-buckling (Accessed 14th March 2020).
- Dornfeld W. Columns. Machine Design Lecture Notes (p. 8). Fairfield University; 2019.
- Mohamed H., Aziz H. An Appraisal of Euler and Johnson Buckling theories under dynamic compression buckling loading. Iraqi J. Mech. Mater. 2007;9(2):173-181.
- Wang X., Zhou A., Zhao L., Chui Y.H. Mechanical properties of wood columns with rectangular hollow cross section. Constr. Build. Mater. 2019;214:133-142. doi: 10.1016/j.conbuildmat.2019.04.119.
- Li X., Ashraf M. et al. Experimental and numerical study on bending properties of heterogeneous lamella layups in cross laminated timber using Australian Radiata Pine. Constr. Build. Mater. 2020;247:118525. DOI: 10.1016/ j.conbuildmat.2020.118525.
- Burdzik W. Grade verification of sa pine - bending, modulus of rupture, modulus of elasticity, tension and compression. South. African For. J. 2004;202(1):21-27. doi: 10.1080/20702620.2004.10431786.
- Roth B.E., Li X., Huber D.A., Peter G.F. Effects of management intensity, genetics and planting density on wood stiffness in a plantation of juvenile loblolly pine in the southeastern USA. For. Ecol. Manage. 2007;246(2-3): 155-162. doi: 10.1016/j.foreco.2007.03.028.
- Wessels C.B., Dowse G.P., Smit H.C. The flexural properties of young Pinus elliottii × Pinus caribaea var. hondurensis timber from the Southern Cape and their prediction from acoustic measurements. South. For. 2011; 73(3-4): 137-147. doi: 10.2989/20702620.2011.640427.
- Sharma B., Gatóo A., Bock M., Ramage M. Engineered bamboo for structural applications. Constr. Build. Mater. 2015;81:66-73. doi: 10.1016/j.conbuildmat.2015.01.077.
- Sun X., He M., Li Z. Novel engineered wood and bamboo composites for structural applications: State-of-art of manufacturing technology and mechanical performance evaluation. Constr. Build. Mater. 2020;249(1239):118751. doi: 10.1016/j.conbuildmat.2020.118751.
Supplementary files
















